收稿日期:2025-06-03
修回日期:2025-06-20
接受日期:2025-06-25
出版日期:2025-07-04
发布日期:2025-07-03
通讯作者:
张鑫
E-mail:lookzx@mail.ustc.edu.cn
基金资助:Received:2025-06-03
Revised:2025-06-20
Accepted:2025-06-25
Online:2025-07-04
Published:2025-07-03
Contact:
Xin ZHANG
E-mail:lookzx@mail.ustc.edu.cn
Supported by:摘要:
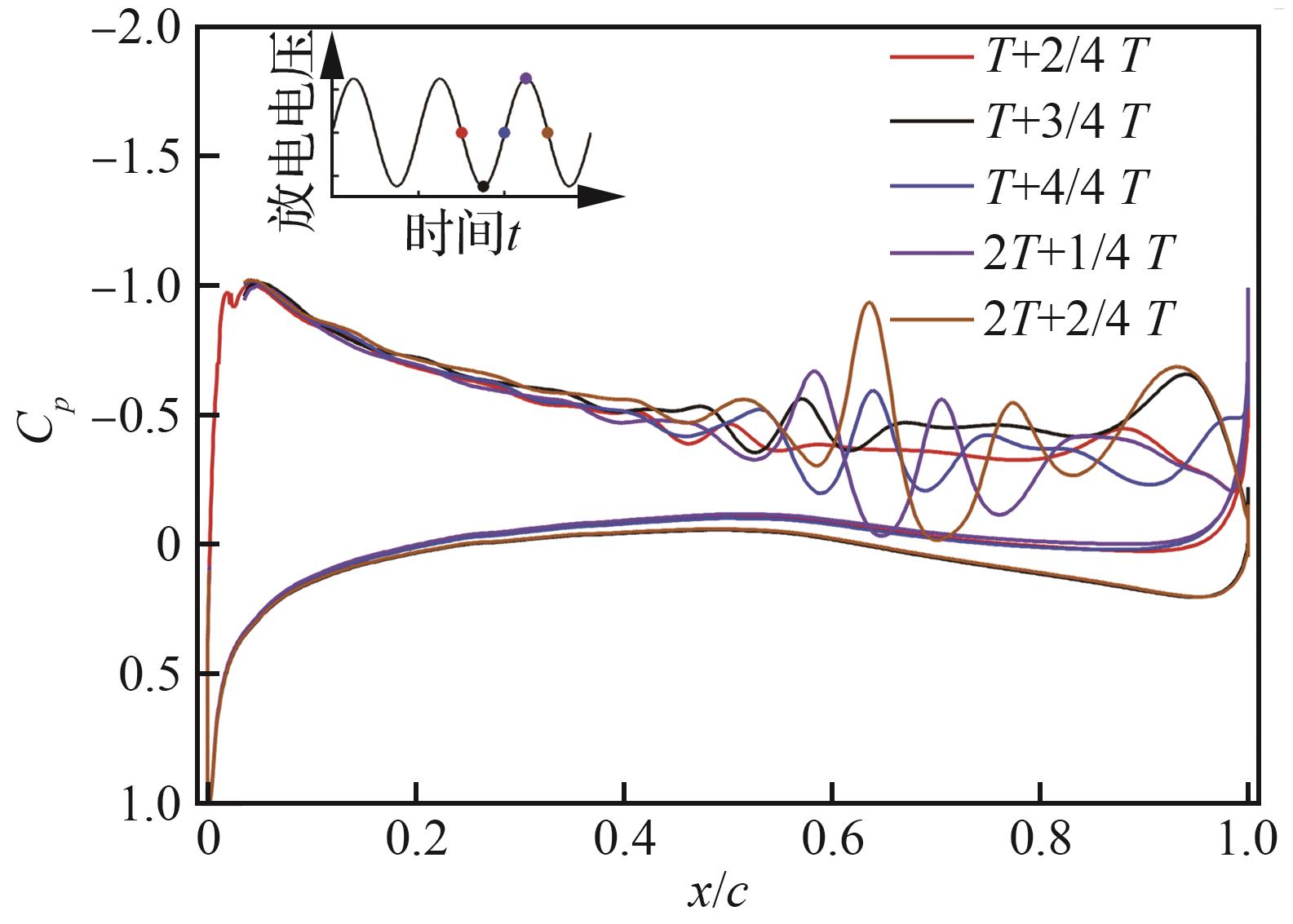
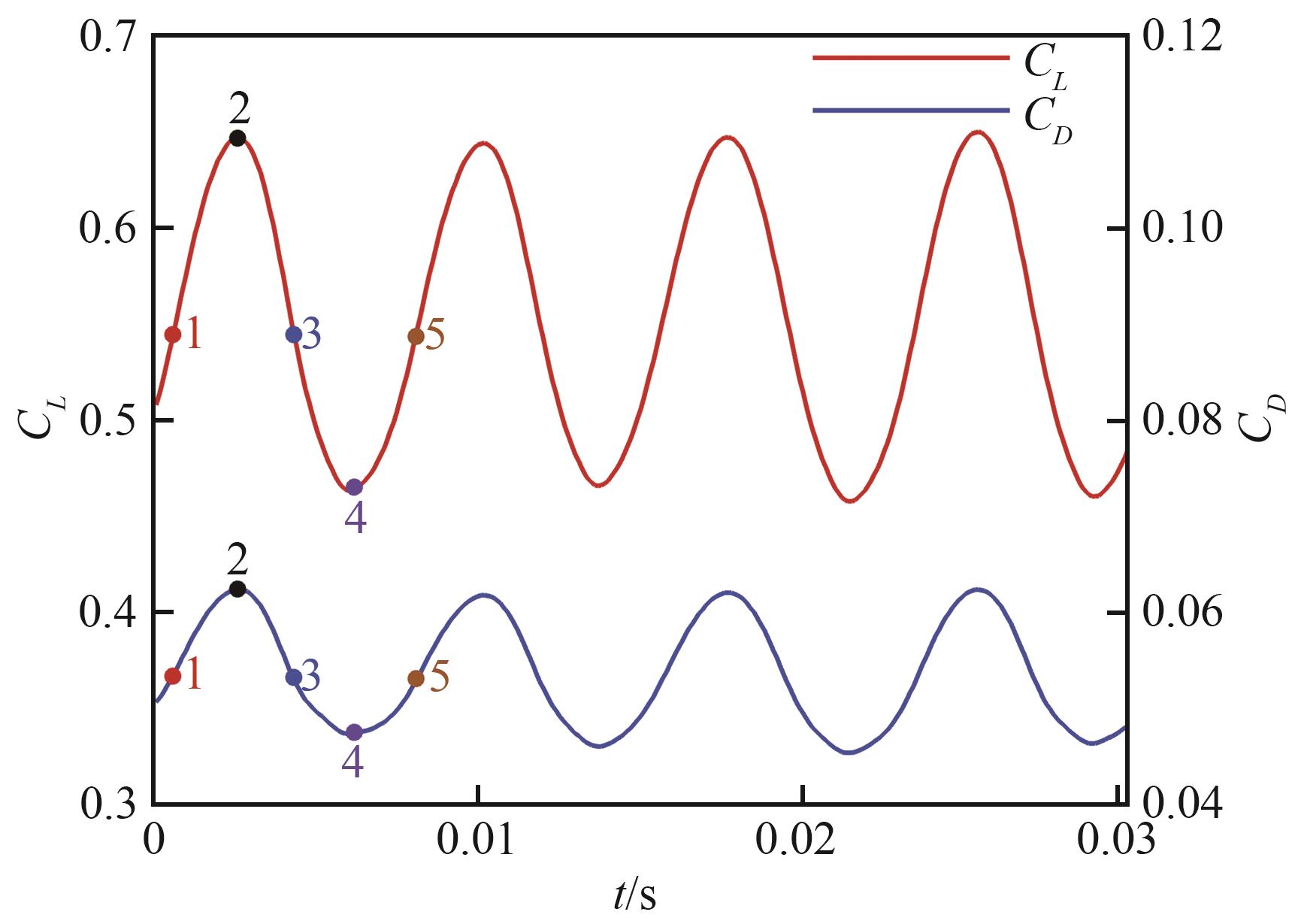
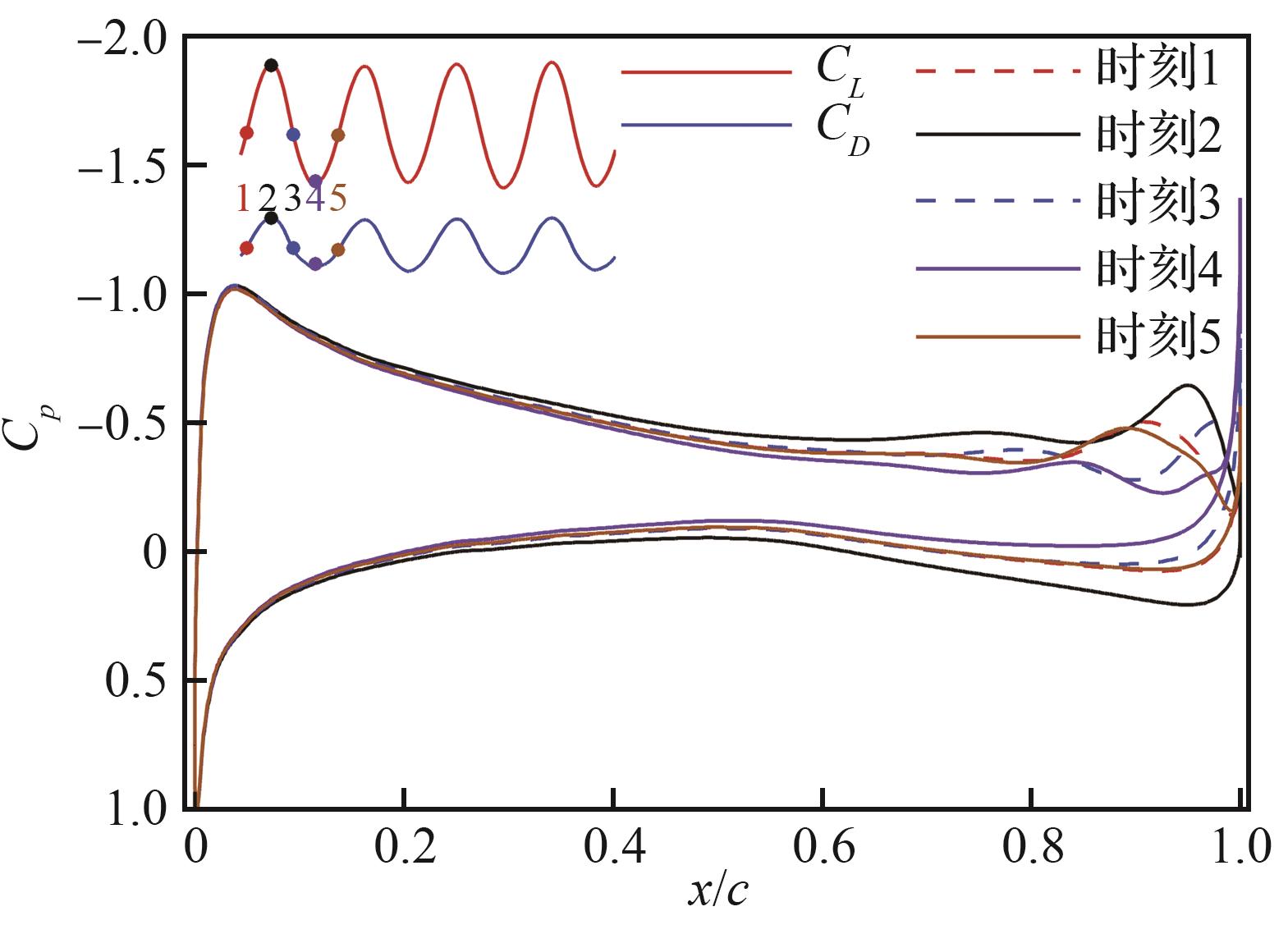
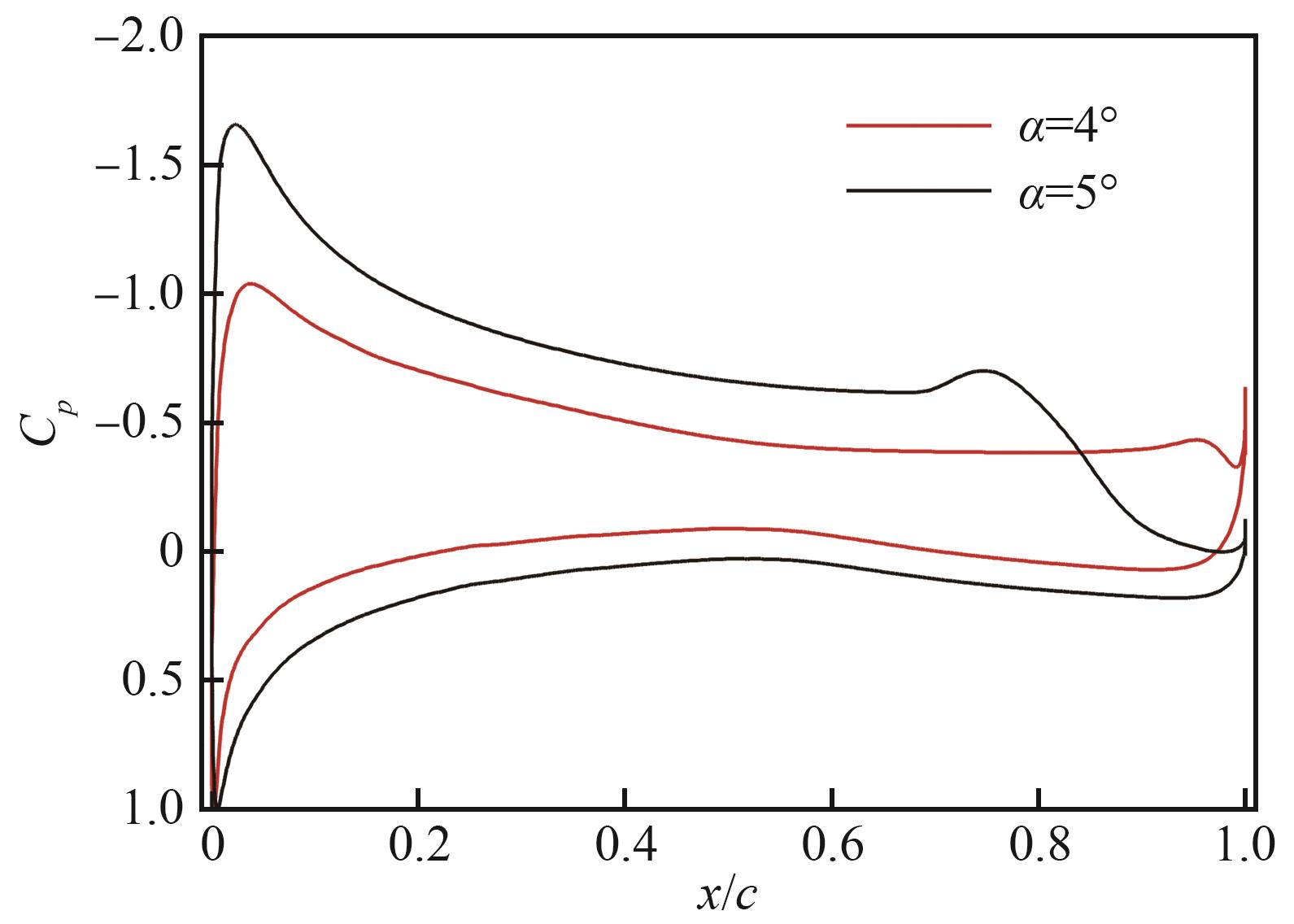
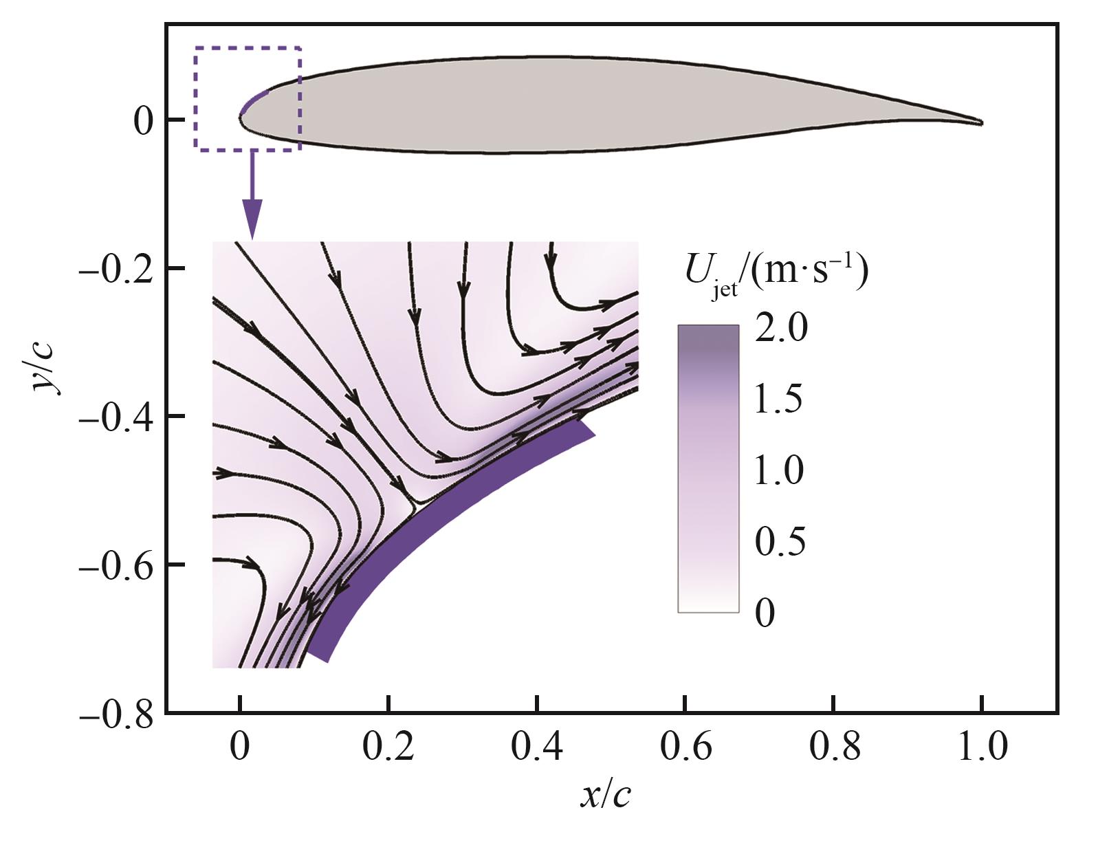
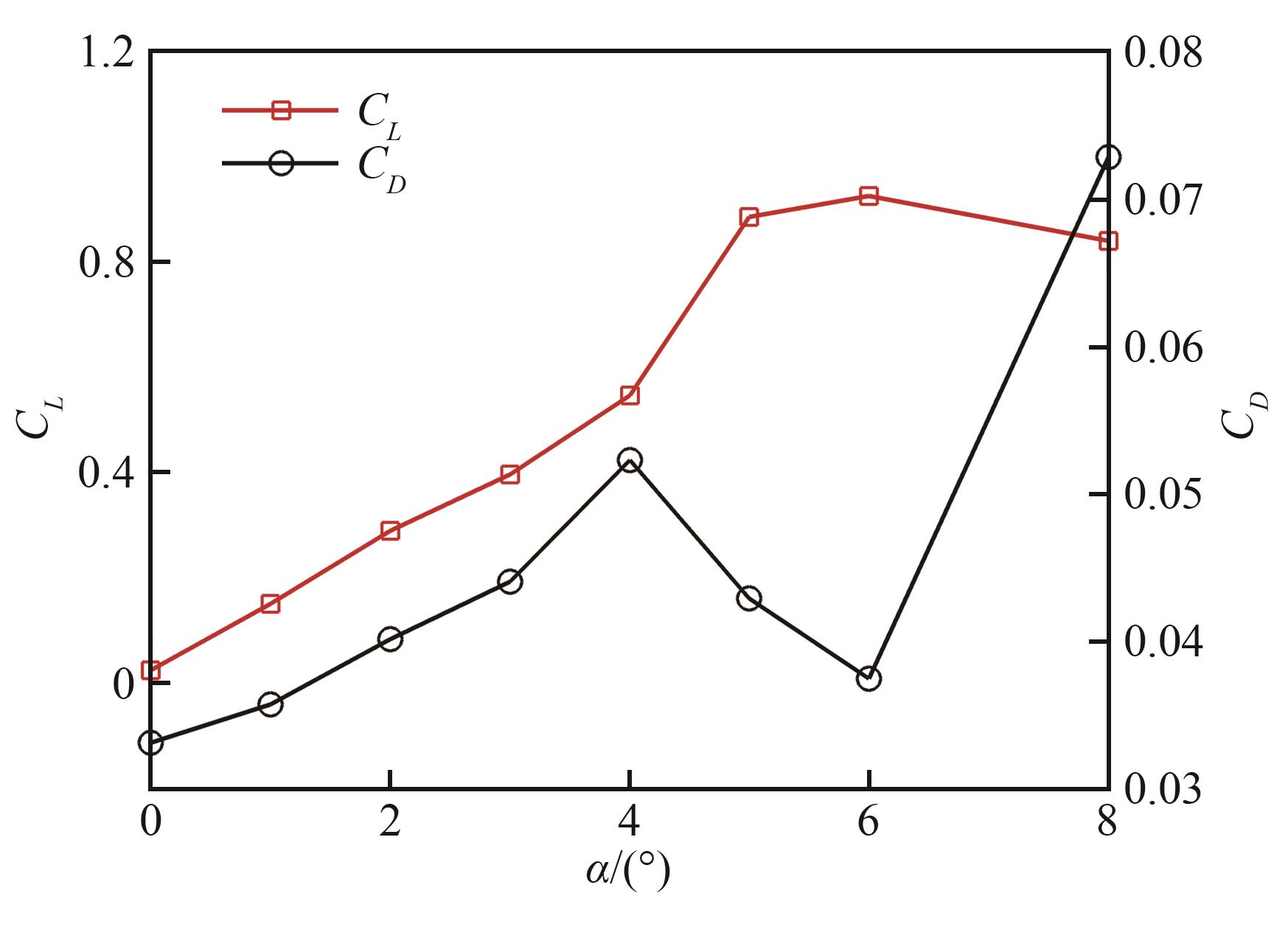
以提升高原无人机起飞性能为背景,以大展弦比无人机机翼模型为研究对象,以单个对称布局介质阻挡放电等离子体激励器为控制手段,采用风洞试验和数值计算相结合的方法开展了低雷诺数下机翼绕流流场控制研究,评估了流动控制效果,揭示了流动控制机理,通过单个对称布局激励器同时实现了小迎角层流分离泡控制和大迎角失速控制。结果表明,在施加激励前的气动特性方面,当雷诺数为7.47×104时,机翼气动力随迎角的变化规律符合低雷诺数气动力变化特征:升力系数非线性增加,阻力系数先增加后减小再增加;后缘层流分离泡是导致气动力出现非线性现象的主要原因。在等离子体气动力控制效果方面,单个对称布局等离子体激励器能够在较大迎角范围内提升机翼气动性能。在小迎角下,等离子体激励能够基本消除气动力非线性现象,最大升阻比提高15%;在大迎角下,等离子体能够抑制机翼失速分离,施加激励后,失速角推迟2°。在等离子体流动控制机理方面,对称布局等离子体激励器诱导涡是在较大迎角范围内实现流动控制的关键。当针对后缘层流分离泡进行控制时,等离子体诱导涡将诱导动量从翼型前缘传递到后缘,通过“排挤”层流分离泡的方式,实现流动控制;当针对大迎角分离流进行控制时,等离子体诱导涡增强了高能量主流与低能量边界层气流之间的掺混,通过“融入”大尺度分离涡的方式,抑制失速分离。
中图分类号:
马志明, 张鑫. 低雷诺数下基于等离子体激励的大展弦比机翼绕流流场控制[J]. 航空学报, 2026, 47(5): 132359.
Zhiming MA, Xin ZHANG. Flow field control over a high-aspect-ratio wing using a plasma actuator at low Reynolds number[J]. Acta Aeronautica et Astronautica Sinica, 2026, 47(5): 132359.
| [1] | 安学广. 大展弦比轻质机翼的失速颤振控制[D]. 长沙: 湖南大学, 2015: 5-11. |
| AN X G. Stall flutter control of high-aspect ratio light-weight wing[D]. Changsha: Hunan University, 2015: 5-11 (in Chinese). | |
| [2] | 向锦武, 阚梓, 邵浩原, 等. 长航时无人机关键技术研究进展[J]. 哈尔滨工业大学学报, 2020, 52(6): 57-77. |
| XIANG J W, KAN Z, SHAO H Y, et al. A review of key technologies for long-endurance unmanned aerial vehicle[J]. Journal of Harbin Institute of Technology, 2020, 52(6): 57-77 (in Chinese). | |
| [3] | 段卓毅, 王伟, 耿建中, 等. 高空长航时太阳能无人机高效气动力设计新挑战[J]. 空气动力学学报, 2017, 35(2): 156-171. |
| DUAN Z Y, WANG W, GENG J Z, et al. Challenges of high efficiency aerodynamics design for HALE solar powered UAV[J]. Acta Aerodynamica Sinica, 2017, 35(2): 156-171 (in Chinese). | |
| [4] | 刘东伟. 大展弦比复合材料机翼结构优化设计[D]. 南京: 南京航空航天大学, 2019: 13-15. |
| LIU D W. Structural optimization design of composite wing with large aspect ratio[D]. Nanjing: Nanjing University of Aeronautics and Astronautics, 2019: 13-15 (in Chinese). | |
| [5] | 马东立, 张良, 杨穆清, 等. 超长航时太阳能无人机关键技术综述[J]. 航空学报, 2020, 41(3): 623418. |
| MA D L, ZHANG L, YANG M Q, et al. Review of key technologies of ultra-long-endurance solar powered unmanned aerial vehicle[J]. Acta Aeronautica et Astronautica Sinica, 2020, 41(3): 623418 (in Chinese). | |
| [6] | 白鹏, 崔尔杰, 周伟江, 等. 翼型低雷诺数层流分离泡数值研究[J]. 空气动力学学报, 2006, 24(4): 416-424. |
| BAI P, CUI E J, ZHOU W J, et al. Numerical simulation of laminar separation bubble over 2D airfoil at low Reynolds number[J]. Acta Aerodynamica Sinica, 2006, 24(4): 416-424 (in Chinese). | |
| [7] | GASTER M. The structure and behavior of laminar separation bubbles: R. & M. No. 3595[R]. London: Aeronautical Research Council, 1969, 813-854. |
| [8] | HORTON H P. Laminar separation bubbles in two and three-dimensional incompressible flow[D]. London: University of London, 1968: 5-13. |
| [9] | MUELLER T J, BATILL S M. Experimental studies of separation on a two-dimensional airfoil at low Reynolds numbers[J]. AIAA Journal, 1982, 20(4): 457-463. |
| [10] | SELIG M, GUGLIELMO J, BROERN A, et al. Experiments on airfoils at low Reynolds numbers[C]∥ 34th Aerospace Sciences Meeting and Exhibit. Reston: AIAA, 1996. |
| [11] | 左伟, 顾蕴松, 王奇特, 等. 低雷诺数下机翼气动特性研究及控制[J]. 航空学报, 2016, 37(4): 1139-1147. |
| ZUO W, GU Y S, WANG Q T, et al. Aerodynamic characteristics and flow control on a rectangular wing at low Reynolds number[J]. Acta Aeronautica et Astronautica Sinica, 2016, 37(4): 1139-1147 (in Chinese). | |
| [12] | 黄广靖, 戴玉婷, 杨超. 低雷诺数俯仰振荡翼型等离子体流动控制[J]. 力学学报, 2021, 53(1): 136-155. |
| HUANG G J, DAI Y T, YANG C. Plasma-based flow control on pitching airfoil at low Reynolds number[J]. Chinese Journal of Theoretical and Applied Mechanics, 2021, 53(1): 136-155 (in Chinese). | |
| [13] | ZHENG B R, XUE M, KE X Z, et al. Unsteady vortex structure induced by a trielectrode sliding discharge plasma actuator[J]. AIAA Journal, 2018, 57(1): 467-471. |
| [14] | 梁华, 李应红, 程邦勤, 等. 等离子体气动激励抑制翼型失速分离的仿真研究[J]. 航空动力学报, 2008, 23(5): 777-783. |
| LIANG H, LI Y H, CHENG B Q, et al. Numerical simulation on airfoil stall separation suppression by plasma aerodynamic actuation[J]. Journal of Aerospace Power, 2008, 23(5): 777-783 (in Chinese). | |
| [15] | 聂万胜, 周思引, 车学科. 纳秒脉冲放电等离子体助燃技术研究进展[J]. 高电压技术, 2017, 43(6): 1749-1758. |
| NIE W S, ZHOU S Y, CHE X K. Review of plasma assisted combustion technology by nanosecond pulsed discharge[J]. High Voltage Engineering, 2017, 43(6): 1749-1758 (in Chinese). | |
| [16] | 杜海, 史志伟, 程克明, 等. 纳秒脉冲等离子体分离流控制频率优化及涡运动过程分析[J]. 航空学报, 2016, 37(7): 2102-2111. |
| DU H, SHI Z W, CHENG K M, et al. Frequency optimization and vortex dynamic process analysis of separated flow control by nanosecond pulsed plasma discharge[J]. Acta Aeronautica et Astronautica Sinica, 2016, 37(7): 2102-2111 (in Chinese). | |
| [17] | ZHENG J G, CUI Y D, ZHAO Z J, et al. Flow separation control over a NACA 0015 airfoil using nanosecond-pulsed plasma actuator[J]. AIAA Journal, 2018, 56(6): 2220-2234. |
| [18] | NAKAI S, MISHIDA H, OSHIO Y. Investigation on performance characteristics of dielectric discharge plasma actuator using pulsed-dc waveform[J]. Journal of Fluid Science and Technology, 2018, 13(3): JFST0018. |
| [19] | YANG P Y, ZHANG X, PAN C. The spatial-temporal evolution process of flow field generated by a pulsed-DC plasma actuator in quiescent air[J]. Aerospace Science and Technology, 2021, 118: 107071. |
| [20] | 李应红, 吴云, 梁华, 等. 等离子体激励气动力学探索与展望[J]. 力学进展, 2022, 52(1): 1-32. |
| LI Y H, WU Y, LIANG H, et al. Exploration and outlook of plasma-actuated gas dynamics[J]. Advances in Mechanics, 2022, 52(1): 1-32 (in Chinese). | |
| [21] | 周岩, 罗振兵, 王林, 等. 等离子体合成射流激励器及其流动控制技术研究进展[J]. 航空学报, 2022, 43(3): 025027. |
| ZHOU Y, LUO Z B, WANG L, et al. Plasma synthetic jet actuator for flow control: Review[J]. Acta Aeronautica et Astronautica Sinica, 2022, 43(3): 025027 (in Chinese). | |
| [22] | 苏志, 宗豪华, 梁华, 等. 等离子体湍流摩擦减阻研究进展与展望[J]. 空气动力学学报, 2023, 41(9): 1-19. |
| SU Z, ZONG H H, LIANG H, et al. Progress and outlook of plasma-based turbulent skin-friction drag reduction[J]. Acta Aerodynamica Sinica, 2023, 41(9): 1-19 (in Chinese). | |
| [23] | 高世琦, 丁博, 解旭祯, 等. 等离子体激励在高速流动中的减阻机制[J]. 航空学报, 2023, 44(): 729373. |
| GAO S Q, DING B, XIE X Z, et al. Drag reduction mechanism using plasma synthetic jet in high⁃speed flow [J]. Acta Aeronautica et Astronautica Sinica, 2023, 44(S2): 729373 (in Chinese). | |
| [24] | 王浩宇, 孙志坤, 耿玺, 等. AC-DBD等离子体激励对低速平板湍流边界层的减阻试验研究[J]. 气动研究与试验, 2023(3): 48-55. |
| WANG H Y, SUN Z K, GENG X, et al. Experimental study of AC-DBD plasma actuator on the drag reduction of low-speed turbulent boundary layer[J]. Aerodynamic Research & Experiment, 2023(3): 48-55 (in Chinese). | |
| [25] | 朱家健, 罗天罡, 田轶夫, 等. 多通道滑动弧等离子体与燃料喷注协同强化超燃冲压发动机点火方法[J]. 航空学报, 2025, 46(7): 131037. |
| ZHU J J, LUO T G, TIAN Y F, et al. Enhanced ignition method with synergy of multi-channel gliding arc plasma and fuel injection in a scramjet [J]. Acta Aeronautica et Astronautica Sinica, 2025, 46(7): 131037 (in Chinese). | |
| [26] | 吴云, 张志波, 朱益飞, 等. 等离子体燃烧调控研究进展与展望[J]. 航空学报, 2025, 46(5): 73-111. |
| WU Y, ZHANG Z B, ZHU Y F, et al. Research progress and outlook of plasma combustion control[J]. Acta Aeronautica et Astronautica Sinica, 2025, 46(5): 73-111 (in Chinese). | |
| [27] | 屈美娇, 王宇, 陈一, 等. 滑动弧等离子体点火助燃头部激励对燃烧室点熄火特性的影响[J]. 航空动力学报, 2023, 38(9): 2062-2072. |
| QU M J, WANG Y, CHEN Y, et al. Effect of gliding arc plasma ignition and assisted combustion dome actuation on ignition and blowout characteristics of combustor chamber[J]. Journal of Aerospace Power, 2023, 38(9): 2062-2072 (in Chinese). | |
| [28] | 刘雪城, 梁华, 宗豪华, 等. NACA0012翼型等离子体冰形调控试验[J]. 航空学报, 2022, 43(9): 126283. |
| LIU X C, LIANG H, ZONG H H, et al. Experiment on plasma ice shape modulation based on NACA0012airfoil[J]. Acta Aeronautica et Astronautica Sinica, 2022, 43(9): 126283 (in Chinese). | |
| [29] | 景向嵘, 程盼, 罗振兵, 等. 电弧放电激励器破除冰特性及裂纹扩展规律[J]. 航空学报, 2022, 43(): 727765. |
| JING X R, CHENG P, LUO Z B, et al. Ice breaking characteristics and crack propagation law of arc discharge plasma actuator[J]. Acta Aeronautica et Astronautica Sinica, 2022, 43(S2): 727765 (in Chinese). | |
| [30] | 程盼, 景向嵘, 罗振兵, 等. 等离子体合成射流激励器阵列破除翼前缘三维冰特性[J]. 航空学报, 2024, 45(12): 129137. |
| CHENG P, JING X R, LUO Z B, et al. Characteristics of 3D ice breaking on leading edge of wing by plasma synthetic jet actuator array[J]. Acta Aeronautica et Astronautica Sinica, 2024, 45(12): 129137 (in Chinese). | |
| [31] | 罗振兵, 王浩, 赵志杰. 合成双射流理论及其赋能航空技术进展[J]. 航空学报, 2025, 46(5): 134-163. |
| LUO Z B, WANG H, ZHAO Z J. Theory of dual synthetic jets and its empowerment of advancements in aeronautical technology[J]. Acta Aeronautica et Astronautica Sinica, 2025, 46(5): 134-163 (in Chinese). | |
| [32] | 侯雁翔, 冯立好. 飞翼布局主动流动控制风洞虚拟飞行试验[J]. 航空学报, 2024, 45(24): 128-140. |
| HOU Y X, FENG L H. Wind tunnel virtual flight test of flying wing configuration with active flow control[J]. Acta Aeronautica et Astronautica Sinica, 2024, 45(24): 128-140 (in Chinese). | |
| [33] | 李广佳, 王红波, 张凯, 等. 临近空间太阳能无人机增升减阻技术综述[J]. 航空学报, 2024, 45(5): 529644. |
| LI G J, WANG H B, ZHANG K, et al. Lift enhancement and drag reduction technologies of solar powered unmanned aerial vehicles in near space: Review[J]. Acta Aeronautica et Astronautica Sinica, 2024, 45(5): 529644 (in Chinese). | |
| [34] | 王将升, 王晋军. 多段翼低雷诺数绕流涡-边界层相互干扰[J]. 航空学报, 2023, 44(12): 127652. |
| WANG J S, WANG J J. Vortex/boundary-layer interactions over multi-element airfoil at low Reynolds number[J]. Acta Aeronautica et Astronautica Sinica, 2023, 44(12): 127652 (in Chinese). | |
| [35] | KELLEY C L, BOWLES P O, COONEY J, et al. Leading-edge separation control using alternating-current and nanosecond-pulse plasma actuators[J]. AIAA Journal, 2014, 52(9): 1871-1884. |
| [36] | 张鑫, 黄勇, 王勋年, 等. 超临界机翼介质阻挡放电等离子体流动控制[J]. 航空学报, 2016, 37(6): 1733-1742. |
| ZHANG X, HUANG Y, WANG X N, et al. Flow control on a supercritical wing using dielectric barrier discharge plasma actuator[J]. Acta Aeronautica et Astronautica Sinica, 2016, 37(6): 1733-1742 (in Chinese). | |
| [37] | 李国强, 常智强, 张鑫, 等. 翼型动态失速等离子体流动控制试验[J]. 航空学报, 2018, 39(8): 122111. |
| LI G Q, CHANG Z Q, ZHANG X, et al. Experiment on flow control of airfoil dynamic stall using plasma actuator[J]. Acta Aeronautica et Astronautica Sinica, 2018, 39(8): 122111 (in Chinese). | |
| [38] | 李应红, 梁华, 马清源, 等. 脉冲等离子体气动激励抑制翼型吸力面流动分离的实验[J]. 航空学报, 2008, 29(6): 1429-1435. |
| LI Y H, LIANG H, MA Q Y, et al. Experimental investigation on airfoil suction side flow separation by pulse plasma aerodynamic actuation[J]. Acta Aeronautica et Astronautica Sinica, 2008, 29(6): 1429-1435 (in Chinese). | |
| [39] | YU J Y, YU J N, CHEN F, et al. Numerical study of tip leakage flow control in turbine cascades using the DBD plasma model improved by the parameter identification method[J]. Aerospace Science and Technology, 2019, 84: 856-864. |
| [40] | 化为卓, 李应红, 牛中国, 等. 低速三角翼纳秒脉冲等离子体激励实验[J]. 航空动力学报, 2014, 29(10): 2331-2339. |
| HUA W Z, LI Y H, NIU Z G, et al. Experiment on low-speed delta wing using nanosecond pulse plasma actuation[J]. Journal of Aerospace Power, 2014, 29(10): 2331-2339 (in Chinese). | |
| [41] | 孟宣市, 杨泽人, 陈琦, 等. 低雷诺数下层流分离的等离子体控制[J]. 航空学报, 2016, 37(7): 2112-2122. |
| MENG X S, YANG Z R, CHEN Q, et al. Laminar separation control at low Reynolds numbers using plasma actuation[J]. Acta Aeronautica et Astronautica Sinica, 2016, 37(7): 2112-2122 (in Chinese). | |
| [42] | MENG X S, HU H Y, YAN X, et al. Lift improvements using duty-cycled plasma actuation at low Reynolds numbers[J]. Aerospace Science and Technology, 2018, 72: 123-133. |
| [43] | 冯立好, 王晋军, CHOI KWINGSO. 等离子体环量控制翼型增升的实验研究[J]. 力学学报, 2013, 45(6): 815-821. |
| FENG L H, WANG J J, CHOI KWINGSO. Experimental investigation on lift increment of a plasma circulation control airfoil[J]. Chinese Journal of Theoretical and Applied Mechanics, 2013, 45(6): 815-821 (in Chinese). | |
| [44] | NONOMURA T, AONO H, SATO M, et al. Control mechanism of plasma actuator for separated flow around NACA0015 at Reynolds number 63, 000-separation bubble related mechanisms-[C]∥ 51st AIAA Aerospace Sciences Meeting Including the New Horizons Forum and Aerospace Exposition. Reston: AIAA, 2013. |
| [45] | VOROBIEV A, RENNIE R M, JUMPER E J. Lift enhancement by plasma actuators at low Reynolds numbers[J]. Journal of Aircraft, 2012, 50(1): 12-19. |
| [46] | AHOLT J, FINAISH F. Active flow control strategy of laminar separation bubbles developed over subsonic airfoils at low Reynolds numbers[C]∥ 49th AIAA Aerospace Sciences Meeting Including the New Horizons Forum and Aerospace Exposition. Reston: AIAA, 2011. |
| [47] | 喻世杰, 周兴华, 黄锐. 变弯度机翼参数化气动弹性建模与颤振特性分析[J]. 航空学报, 2023, 44(8): 227346. |
| YU S J, ZHOU X H, HUANG R. Parametric aeroelastic modeling and flutter characteristic analysis of variable camber wing[J]. Acta Aeronautica et Astronautica Sinica, 2023, 44(8): 227346 (in Chinese). | |
| [48] | 王科雷, 周洲, 甘文彪, 等. 太阳能无人机低雷诺数翼型气动特性研究[J]. 西北工业大学学报, 2014, 32(2): 163-168. |
| WANG K L, ZHOU Z, GAN W B, et al. Studying aerodynamic performances of the low-Reynolds-number airfoil of solar energy UAV[J]. Journal of Northwestern Polytechnical University, 2014, 32(2): 163-168 (in Chinese). | |
| [49] | 刘沛清, 马利川, 屈秋林, 等. 低雷诺数下翼型层流分离泡及吹吸气控制数值研究[J]. 空气动力学学报, 2013, 31(4): 518-524, 540. |
| LIU P Q, MA L C, QU Q L, et al. Numerical investigation of the laminar separation bubble control by blowing/suction on an airfoil at low Re number[J]. Acta Aerodynamica Sinica, 2013, 31(4): 518-524, 540 (in Chinese). | |
| [50] | 孔繁美, 华俊, 向锦武, 等. 高升力与失速特性缓和的翼型设计研究[J]. 北京航空航天大学学报, 2002, 28(2): 235-237. |
| KONG F M, HUA J, XIANG J W, et al. Design and research of high-lift mild-stall airfoils[J]. Journal of Beijing University of Aeronautics and Astronautics, 2002, 28(2): 235-237 (in Chinese). | |
| [51] | 韩忠华, 高正红, 宋文萍, 等. 翼型研究的历史、现状与未来发展[J]. 空气动力学学报, 2021, 39(6): 1-36. |
| HAN Z H, GAO Z H, SONG W P, et al. On airfoil research and development: History, current status, and future directions[J]. Acta Aerodynamica Sinica, 2021, 39(6): 1-36 (in Chinese). | |
| [52] | YANG Z F, IGARASHI H, MARTIN M, et al. An experimental investigation on aerodynamic hysteresis of a low-Reynolds number airfoil[C]∥ 46th AIAA Aerospace Sciences Meeting and Exhibit. Reston: AIAA, 2008. |
| [53] | 李灿民, 黄河峡, 梁钢, 等. 基于后掠唇罩的入射激波/边界层干扰流动控制方法[J]. 航空学报, 2023, 44(16): 128091. |
| LI C M, HUANG H X, LIANG G, et al. Flow control method for impinging shock/boundary-layer interaction based on swept-back cowl configuration[J]. Acta Aeronautica et Astronautica Sinica, 2023, 44(16): 128091 (in Chinese). | |
| [54] | SUZEN Y, HUANG G, JACOB J, et al. Numerical simulations of plasma based flow control applications[C]∥ 35th AIAA Fluid Dynamics Conference and Exhibit. Reston: AIAA, 2005. |
| [55] | 张鑫, 黄勇, 王万波, 等. 对称式布局介质阻挡放电等离子体激励器诱导启动涡[J]. 物理学报, 2016, 65(17): 297-306. |
| ZHANG X, HUANG Y, WANG W B, et al. Experimental investigation on the starting vortex induced by symmetrical dielectric barrier discharge plasma actuator[J]. Acta Physica Sinica, 2016, 65(17): 297-306 (in Chinese). | |
| [56] | 白鹏, 崔尔杰, 李锋, 等. 对称翼型低雷诺数小攻角升力系数非线性现象研究[J]. 力学学报, 2006, 38(1): 1-8. |
| BAI P, CUI E J, LI F, et al. Study of the nonlinear lift coefficient of the symmetrical airfoil at low Reynolds number near the 0° angle of attack[J]. Chinese Journal of Theoretical and Applied Mechanics, 2006, 38(1): 1-8 (in Chinese). | |
| [57] | 刘强, 刘强, 白鹏, 等. 不同雷诺数下翼型气动特性及层流分离现象演化[J]. 航空学报, 2017, 38(4): 120338. |
| LIU Q, LIU Q, BAI P, et al. Aerodynamic characteristics of airfoil and evolution of laminar separation at different Reynolds numbers[J]. Acta Aeronautica et Astronautica Sinica, 2017, 38(4): 120338 (in Chinese). |
| [1] | 刘延芳, 王洪悦, 鄂羽佳, 齐乃明. 迈向智能驱动的高超声速飞行器边界层主动质量引射减阻降热研究新范式[J]. 航空学报, 2026, 47(2): 132171-132171. |
| [2] | 李辰, 孙东, 刘朋欣, 郭启龙, 袁先旭. 等离子体激励超声速湍流边界层直接数值模拟[J]. 航空学报, 2025, 46(S1): 732187-732187. |
| [3] | 徐惊雷, 黄帅, 潘睿丰, 张玉琪. 气动推力矢量喷管研究近况和发展趋势[J]. 航空学报, 2025, 46(8): 631216-631216. |
| [4] | 朱家健, 罗天罡, 田轶夫, 万明罡, 孙明波. 多通道滑动弧等离子体与燃料喷注协同强化超燃冲压发动机点火方法[J]. 航空学报, 2025, 46(7): 131037-131037. |
| [5] | 罗振兵, 王浩, 赵志杰. 合成双射流理论及其赋能航空技术进展[J]. 航空学报, 2025, 46(5): 531821-531821. |
| [6] | 吴云, 张志波, 朱益飞, 贾敏, 李应红. 等离子体燃烧调控研究进展与展望[J]. 航空学报, 2025, 46(5): 531879-531879. |
| [7] | 宋亚航, 张鑫, 马志明, 左峥瑜. 翼型阵风减缓等离子体流动控制低速风洞试验[J]. 航空学报, 2025, 46(22): 131975-131975. |
| [8] | 胡仕林, 陈柄宙, 康伟. 基于动力学模态分解的柔性膜翼增升机制[J]. 航空学报, 2025, 46(2): 130618-130618. |
| [9] | 关山月, 田正雨, 谢文佳, 付黔粤, 褚雨航, 朱家俊. 高超声速再入钝头体飞行走廊等离子体化学反应分析[J]. 航空学报, 2025, 46(18): 131735-131735. |
| [10] | 王宏宇, 王刚, 李涛, 超珍厚, 高峰. 基于脉冲放电能量沉积控制的横向射流掺混[J]. 航空学报, 2025, 46(14): 131520-131520. |
| [11] | 郭翔鹰, 许杰, 黄永畅. 较大尺度波长结节翼在临界角附近的特性分析[J]. 航空学报, 2024, 45(S1): 730557-730557. |
| [12] | 王畅, 何龙, 徐栋霞, 唐敏, 马率, 吴希明. 共轴刚性旋翼桨毂流动控制减阻研究[J]. 航空学报, 2024, 45(9): 529084-529084. |
| [13] | 杨雄, 李小康, 郭大伟, 程谋森, 张帆, 车碧轩, 雷清雲. 高功率波加热磁等离子体推力器研究现状与展望[J]. 航空学报, 2024, 45(7): 28761-028761. |
| [14] | 谢玮, 罗振兵, 周岩, 刘强, 吴建军, 董昊. 高超声速双楔激波干扰定常射流控制试验研究[J]. 航空学报, 2024, 45(7): 128813-128813. |
| [15] | 李广佳, 王红波, 张凯, 仪志胜. 临近空间太阳能无人机增升减阻技术综述[J]. 航空学报, 2024, 45(5): 529644-529644. |
| 阅读次数 | ||||||
|
全文 |
|
|||||
|
摘要 |
|
|||||
版权所有 © 航空学报编辑部
版权所有 © 2011航空学报杂志社
主管单位:中国科学技术协会 主办单位:中国航空学会 北京航空航天大学


