收稿日期:2025-07-16
修回日期:2025-08-21
接受日期:2025-10-09
出版日期:2025-10-28
发布日期:2025-10-24
通讯作者:
叶东
E-mail:yed@hit.edu.cn
基金资助:
Dawei WANG1, Dong YE1(
), Yan XIAO1, Haiyang LI2
Received:2025-07-16
Revised:2025-08-21
Accepted:2025-10-09
Online:2025-10-28
Published:2025-10-24
Contact:
Dong YE
E-mail:yed@hit.edu.cn
Supported by:摘要:
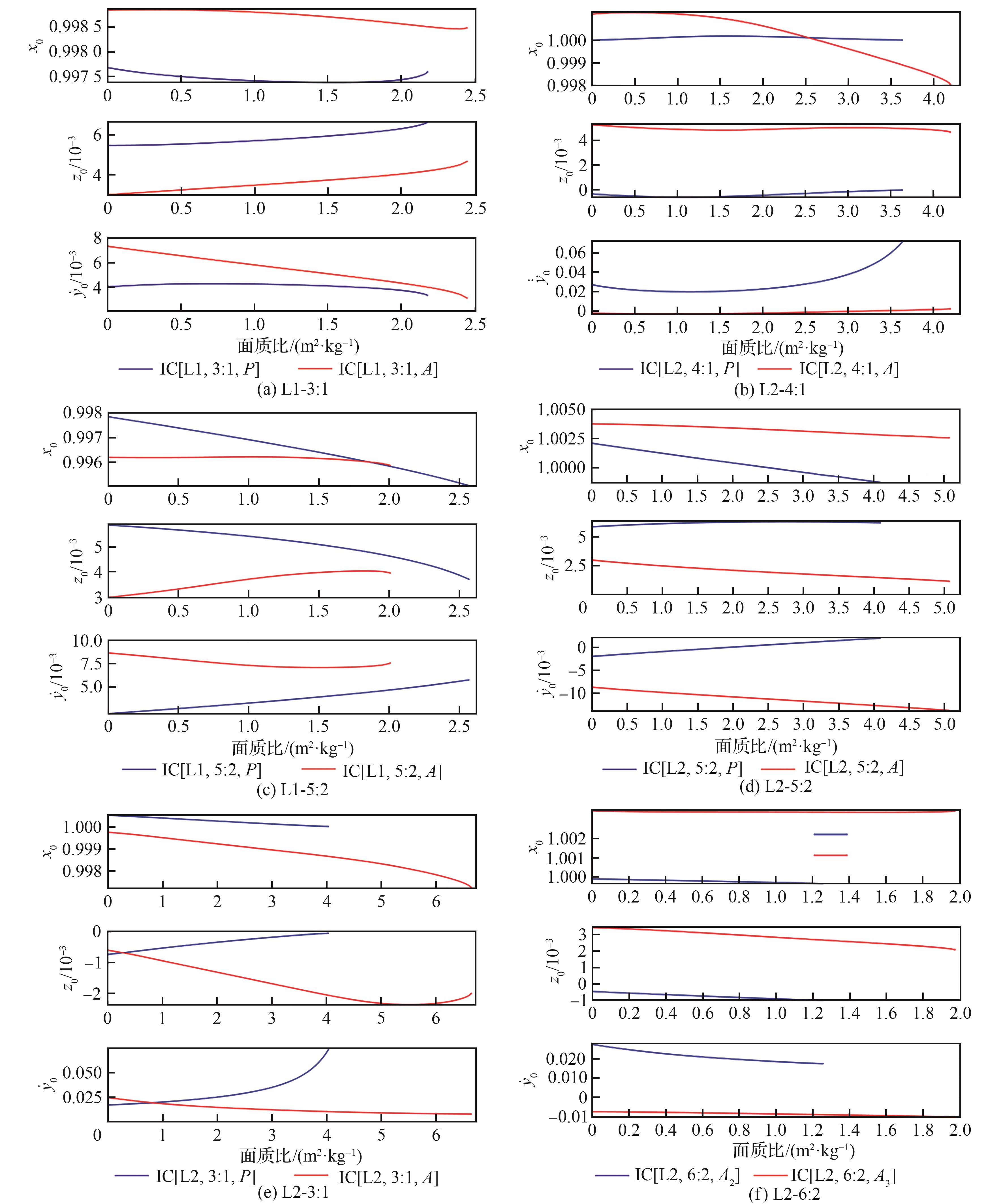
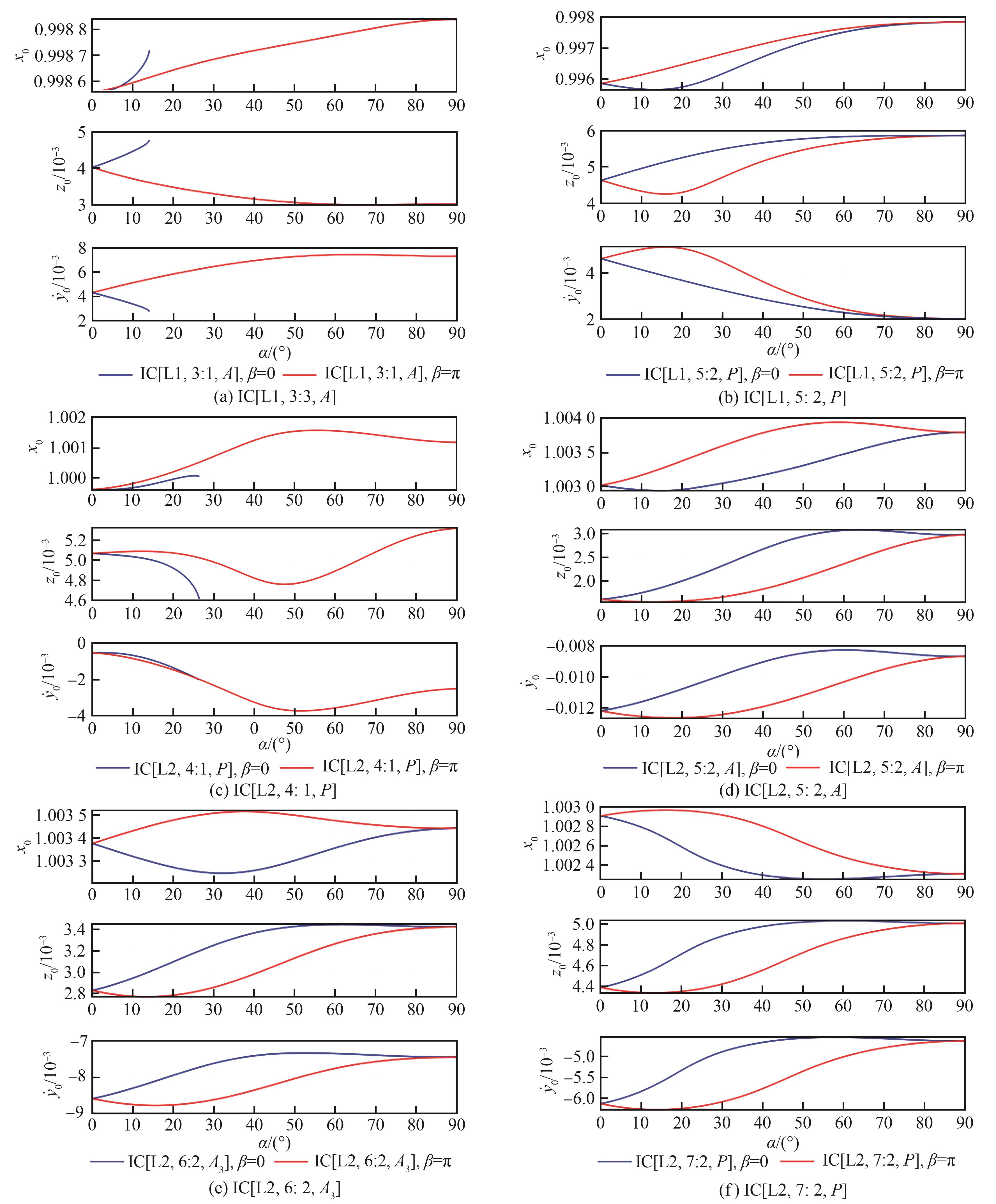
太阳帆作为一种利用太阳辐射压力产生持续小推力的航天推进系统,因其无需消耗推进剂的特点,在深空探测等长期航天任务中展现出独特优势。基于太阳-水星椭圆限制性三体问题这一动力学模型,提出3种递进式的太阳帆指向律,使太阳帆平面由最初正对太阳,过渡到在引力平面内偏离太阳方向,再到最终偏离引力平面。利用多段打靶法进行轨道延拓计算,获得了具有不同共振比的太阳帆共振晕轨道。在3种指向策略下,分别对太阳帆的面质比、锥角与方位角进行参数延拓。结果表明,前2种策略下得到的共振晕轨道在旋转坐标系中关于XZ平面呈对称结构,而第3种策略下获得的轨道,不关于任意平面或直线对称,表现出复杂的空间三维结构,同时保持良好的周期性。最后在高精度星历模型下对轨道稳定性进行分析,结果显示所构建的太阳帆共振晕轨道在无需轨道保持的情况下,可在约4~6个水星轨道周期内(约352~528 d)维持轨道形状且不发散,具备一定的自然稳定性。
中图分类号:
王大维, 叶东, 肖岩, 李海洋. 太阳帆航天器非对称共振晕轨道设计与分析[J]. 航空学报, 2026, 47(6): 332576.
Dawei WANG, Dong YE, Yan XIAO, Haiyang LI. Design and analysis of asymmetric resonant Halo orbits for solar sail spacecraft[J]. Acta Aeronautica et Astronautica Sinica, 2026, 47(6): 332576.
表2
正对太阳指向律下的延拓结果
| 轨道类型 | 最大面质比/(m2·kg-1) | 延拓终止原因 |
|---|---|---|
| IC[L1,3∶1,P] | 2.160 | 不收敛 |
| IC[L1,3∶1,A] | 2.450 | 不收敛 |
| IC[L1,4∶1,P] | 0.245 | 不收敛 |
| IC[L1,4∶1,A] | 0.240 | 不收敛 |
| IC[L1,5∶2,P] | 2.570 | 碰撞水星 |
| IC[L1,5∶2,A] | 2.000 | 不收敛 |
| IC[L1,6∶2,A2] | 0.460 | 不收敛 |
| IC[L1,6∶2,A3] | 0.485 | 不收敛 |
| IC[L1,7∶2,P] | 0.910 | 不收敛 |
| IC[L1,7∶2,A] | 0.900 | 不收敛 |
| IC[L2,3∶1,P] | 4.020 | 碰撞水星 |
| IC[L2,3∶1,A] | 6.650 | 碰撞水星 |
| IC[L2,4∶1,P] | 3.640 | 碰撞水星 |
| IC[L2,4∶1,A] | 4.200 | 不收敛 |
| IC[L2,5∶2,P] | 4.100 | 碰撞水星 |
| IC[L2,5∶2,A] | 5.080 | 不收敛 |
| IC[L2,6∶2,A2] | 1.260 | 不收敛 |
| IC[L2,6∶2,A3] | 1.980 | 不收敛 |
| IC[L2,7∶2,P] | 0.435 | 碰撞水星 |
| IC[L2,7∶2,A] | 0.230 | 碰撞水星 |
表4
变方位角指向律下的延拓结果(σ=1 m2/kg)
| 轨道类型 | 锥角/(°) | 方位角范围/(°) |
|---|---|---|
| IC[L1,5∶2,P] | 1 | [-180,180] |
| 8 | [-180,180] | |
| 9 | {[-180,-103],[-69.8,69.8],[103,180]} | |
| 50 | {[-180,-154.4],[-27.4,27.4],[154.4,180]} | |
| 62 | {[-180,-104.8],[-74.4,74.4],[104.8,180]} | |
| 63 | [-180,180] | |
| 80 | [-180,180] | |
| IC[L2,5∶2,P] | 1 | [-180,180] |
| 8 | [-180,180] | |
| 9 | {[-180,-103],[-75.9,75.9],[103,180]} | |
| 50 | {[-180,-146],[-32.4,32.4],[146,180]} | |
| 63 | {[-180,-103.6],[-75.6,75.6],[103.6,180]} | |
| 64 | [-180,180] | |
| 80 | [-180,180] |
| [1] | ZHAO P Y, WU C C, LI Y M. Design and application of solar sailing: A review on key technologies[J]. Chinese Journal of Aeronautics, 2023, 36(5): 125-144. |
| [2] | GARWIN RL. Solar sailing—a practical method of propulsion within the solar system[J]. Jet Propulsion, 1958, 28(3): 188-190. |
| [3] | TSUDA Y, MORI O, FUNASE R, et al. Achievement of IKAROS: Japanese deep space solar sail demonstration mission[J]. Acta Astronautica, 2013, 82(2): 183-188. |
| [4] | JOHNSON L, WHORTON M, HEATON A, et al. NanoSail-D: A solar sail demonstration mission[J]. Acta Astronautica, 2011, 68(5-6): 571-575. |
| [5] | LOCKETT T R, CASTILLO-ROGEZ J, JOHNSON L, et al. Near-earth asteroid scout flight mission[J]. IEEE Aerospace and Electronic Systems Magazine, 2020, 35(3): 20-29. |
| [6] | RIDENOURE R W, MUNAKATA R, WONG S D, et al. Testing the LightSail program: Advancing solar sailing technology using a CubeSat platform[J]. Journal of Small Satellites, 2016, 5(3): 531-550. |
| [7] | SPENCER D A, BETTS B, BELLARDO J M, et al. The LightSail 2 solar sailing technology demonstration[J]. Advances in Space Research, 2021, 67(9): 2878-2889. |
| [8] | TAKAO Y, MORI O, MATSUMOTO J, et al. Sample return system of OKEANOS: The solar power sail for Jupiter Trojan exploration[J]. Acta Astronautica, 2023, 213: 121-137. |
| [9] | SALEEM Y, RAM K. Families of periodic orbits about Lagrangian points L1, L2 and L3 with continuation method[J]. Planetary and Space Science, 2022, 217: 105491. |
| [10] | 张晨, 张皓. 基于月球借力的低能DRO入轨策略[J]. 航空学报, 2023, 44(2): 326507. |
| ZHANG C, ZHANG H. Lunar-gravity-assisted low-energy transfer from earth into distant retrograde orbit(DRO)[J]. Acta Aeronautica et Astronautica Sinica, 2023, 44(2): 326507 (in Chinese). | |
| [11] | 张晨. 基于数值延拓的日月综合借力DRO入轨策略[J]. 北京航空航天大学学报, 2024, 50(4): 1176-1186. |
| ZHANG C. Low-energy transfer from Earth into DRO with hybrid gravity assist and numerical continuation[J]. Journal of Beijing University of Aeronautics and Astronautics, 2024, 50(4): 1176-1186 (in Chinese). | |
| [12] | HOU X Y, LIU L. On motions around the collinear libration points in the elliptic restricted three-body problem[J]. Monthly Notices of the Royal Astronomical Society, 2011, 415(4): 3552-3560. |
| [13] | PENG H, XU S J. Stability of two groups of multi-revolution elliptic halo orbits in the elliptic restricted three-body problem[J]. Celestial Mechanics and Dynamical Astronomy, 2015, 123(3): 279-303. |
| [14] | PENG H, BAI X L, XU S J. Continuation of periodic orbits in the Sun-Mercury elliptic restricted three-body problem[J]. Communications in Nonlinear Science and Numerical Simulation, 2017, 47: 1-15. |
| [15] | MCINNES C R. Solar sailing: Orbital mechanics and mission applications[J]. Advances in Space Research, 2003, 31(8): 1971-1980. |
| [16] | BOOKLESS J, MCINNES C. Control of Lagrange point orbits using solar sail propulsion[J]. Acta Astronautica, 2008, 62(2/3): 159-176. |
| [17] | HEILIGERS J, HIDDINK S, NOOMEN R, et al. Solar sail Lyapunov and Halo orbits in the Earth-Moon three-body problem[J]. Acta Astronautica, 2015, 116(11/12): 25-35. |
| [18] | HEILIGERS J, MACDONALD M, PARKER J S. Extension of Earth-Moon libration point orbits with solar sail propulsion[J]. Astrophysics and Space Science, 2016, 361(7): 241. |
| [19] | 安诗宇, 刘明, 李化义, 等. 地月三体系统新型太阳帆周期轨道设计与分析[J]. 航空学报, 2025, 46(4): 230828. |
| AN S Y, LIU M, LI H Y, et al. Design and applications of novel periodic orbits with solar sail in Earth-Moon system[J]. Acta Aeronautica et Astronautica Sinica, 2025, 46(4): 230828 (in Chinese). | |
| [20] | CHUJO T, TAKAO Y. Synodic resonant halo orbits of solar sails in restricted four-body problem[J]. Journal of Spacecraft and Rockets, 2022, 59(6): 2129-2147. |
| [21] | GONG S P, LI J F. Solar sail periodic orbits in the elliptic restricted three-body problem[J]. Celestial Mechanics and Dynamical Astronomy, 2015, 121(2): 121-137. |
| [22] | HUANG J, BIGGS J D, CUI N G. Families of halo orbits in the elliptic restricted three-body problem for a solar sail with reflectivity control devices[J]. Advances in Space Research, 2020, 65(3): 1070-1082. |
| [23] | GÁMEZ LOSADA F, HEILIGERS J. New solar-sail orbits for polar observation of the Earth and Moon[J]. Journal of Guidance, Control, and Dynamics, 2021, 44(12): 2155-2171. |
| [24] | RIOS-REYES L, SCHEERES D J. Generalized model for solar sails[J]. Journal of Spacecraft and Rockets, 2005, 42(1): 182-184. |
| [25] | SPREEN E M Z. Trajectory design and targeting for applications to the exploration program in cislunar space[D]. West Lafayette, Indiana: Purdue University, 2021. |
| [26] | ACTON C H. Ancillary data services of NASA’s navigation and ancillary information facility[J]. Planetary and Space Science, 1996, 44(1): 65-70. |
| [1] | 王昌涛, 代洪华, 董一超, 石琳, 杨文传, 岳晓奎. 积分修正类轨道计算方法综述[J]. 航空学报, 2026, 47(5): 332528-332528. |
| [2] | 罗文, 张进, 李海阳, 訾心怡, 李胜西. 考虑链路干扰的低轨通信星座优化设计[J]. 航空学报, 2026, 47(4): 332196-332196. |
| [3] | 岳杨 王嘉轶 杨盛庆 杜耀珂 王文妍. 基于凸优化的严格回归轨道自主轨迹捕获控制[J]. 航空学报, 0, (): 1-0. |
| [4] | 闫循良, 王培臣, 郭杨. 再入滑翔机动突防轨迹规划与制导方法综述[J]. 航空学报, 2025, 46(17): 331810-331810. |
| [5] | 谢聪, 杨震, 梁彦刚. 基于A*算法的摄动Lambert同伦迭代方法[J]. 航空学报, 2025, 46(4): 330780-330780. |
| [6] | 安诗宇, 刘明, 李化义, 吴凡. 地月三体系统新型太阳帆周期轨道设计与分析[J]. 航空学报, 2025, 46(4): 230828-230828. |
| [7] | 李兆航, 温昶煊, 乔栋, 庞博. 基于可达集的航天器多对一轨道博弈几何求解[J]. 航空学报, 2024, 45(S1): 730803-730803. |
| [8] | 王培臣, 闫循良, 李新国, 王子安. 考虑时间约束的解析再入滑翔制导[J]. 航空学报, 2024, 45(23): 329844-329844. |
| [9] | 孟占峰. 月球大椭圆太阳同步测控回归冻结轨道设计[J]. 航空学报, 2024, 45(18): 229926-229926. |
| [10] | 曹芊, 李化义. 基于几何力学的类平板式卫星全耦合动力学[J]. 航空学报, 2024, 45(16): 229786-229786. |
| [11] | 肖广瀚, 胡泽岩, 刘军虎, 王亮, 毛青堂. 空间目标偶数重连续覆盖星座设计方法[J]. 航空学报, 2024, 45(14): 229637-229637. |
| [12] | 孟占峰. 月球大椭圆太阳同步测控回归冻结轨道设计[J]. 航空学报, 0, (): 0-0. |
| [13] | 刘哲, 张羲格, 韦常柱, 崔乃刚. 亚轨道飞行器再入轨迹高精度自适应凸规划[J]. 航空学报, 2023, 44(S2): 729430-729430. |
| [14] | 李泽越, 李海阳, 杨震, 彭祺擘. 探月自由返回轨道设计的自适应初值Newton-Raphson方法[J]. 航空学报, 2023, 44(15): 528753-528753. |
| [15] | 杨路易, 张海联, 彭祺擘, 李海阳, 武新峰. 不同升降轨返回方式下定点返回轨道窗口解析分析方法[J]. 航空学报, 2023, 44(15): 528748-528748. |
| 阅读次数 | ||||||
|
全文 |
|
|||||
|
摘要 |
|
|||||
版权所有 © 航空学报编辑部
版权所有 © 2011航空学报杂志社
主管单位:中国科学技术协会 主办单位:中国航空学会 北京航空航天大学

