航空学报 > 2026, Vol. 47 Issue (5): 132462-132462   doi: 10.7527/S1000-6893.2026.32462

高速飞行器质量引射条件下气动热数值计算

刘庆宗, 丁明松, 董维中(), 孔文慧, 江涛   

  1. 中国空气动力研究与发展中心 计算空气动力研究所,绵阳 621000
  • 收稿日期:2025-06-24 修回日期:2025-08-01 接受日期:2025-08-21 出版日期:2025-09-08 发布日期:2025-09-08
  • 通讯作者: 董维中 E-mail:dongwz1966@163.com
  • 基金资助:
    国家数值风洞工程

Numerical computation on aerothermal environment with mass injection for high-speed aircraft

Qingzong LIU, Mingsong DING, Weizhong DONG(), Wenhui KONG, Tao JIANG   

  1. Computational Aerodynamics Institute,China Aerodynamics Research and Development Center,Mianyang 621000,China
  • Received:2025-06-24 Revised:2025-08-01 Accepted:2025-08-21 Online:2025-09-08 Published:2025-09-08
  • Contact: Weizhong DONG E-mail:dongwz1966@163.com
  • Supported by:
    National Numerical Windtunnel Project

摘要:

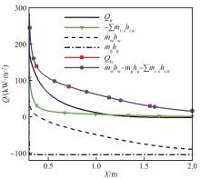
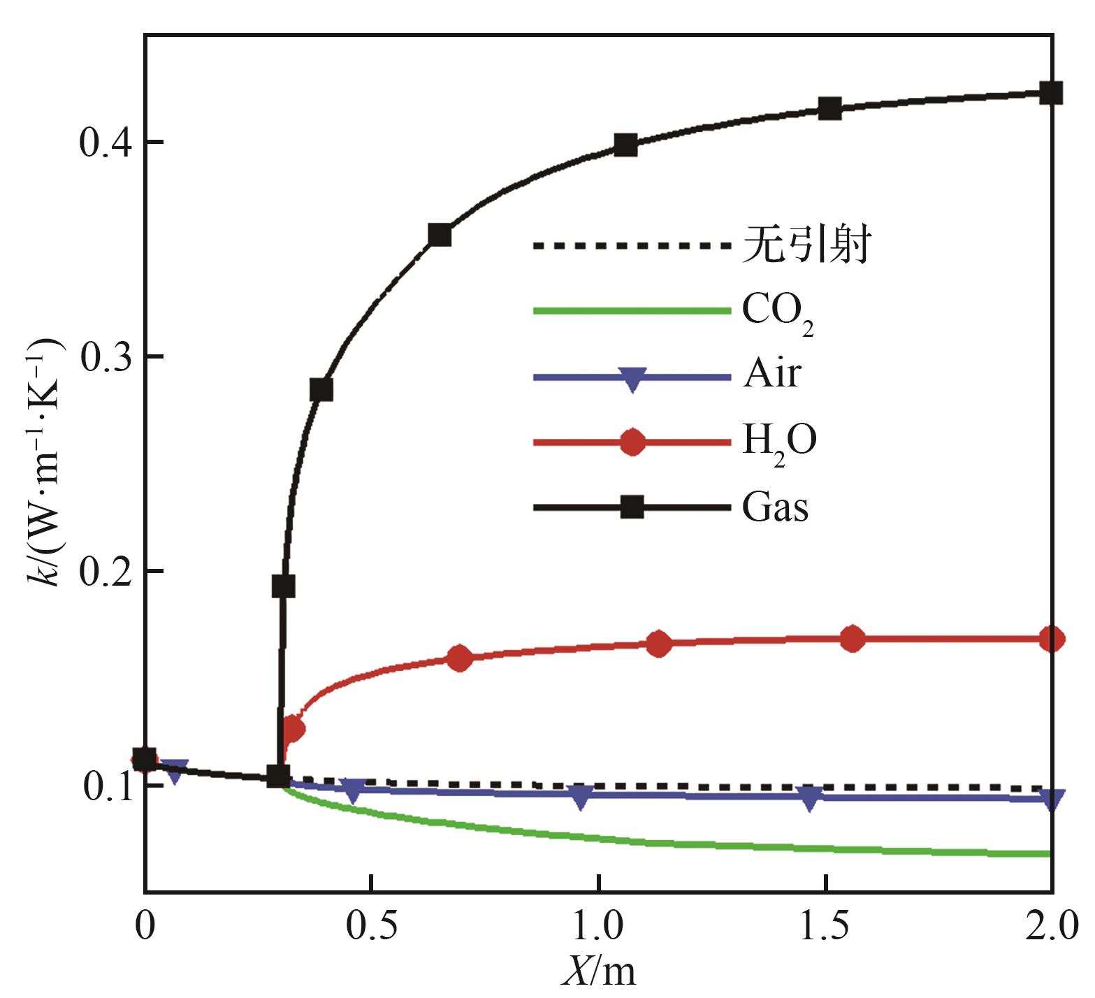
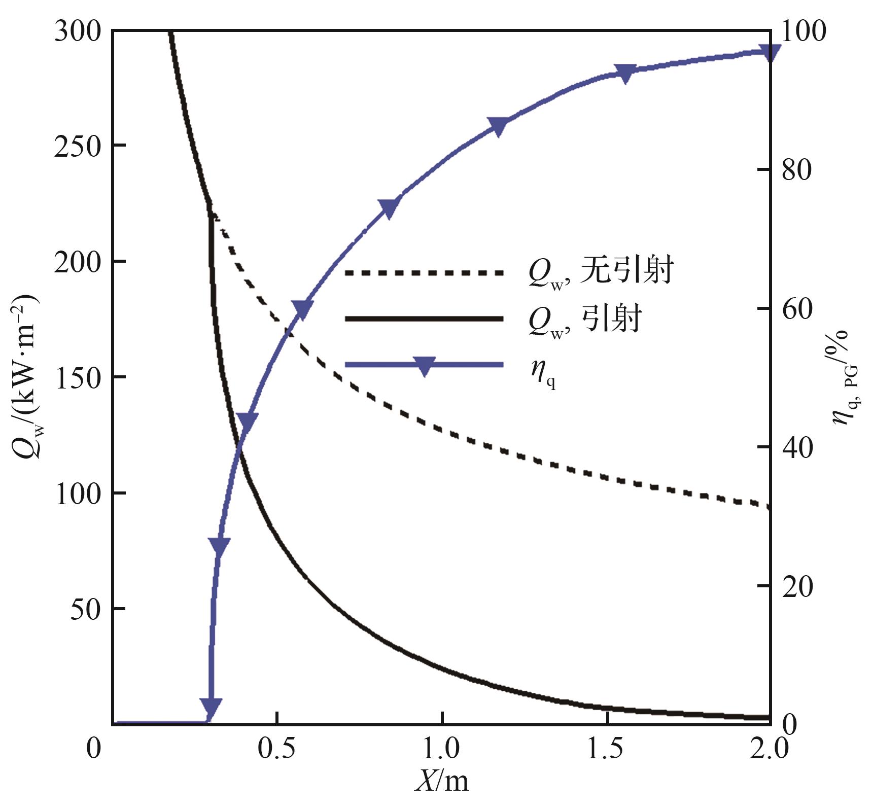
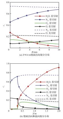
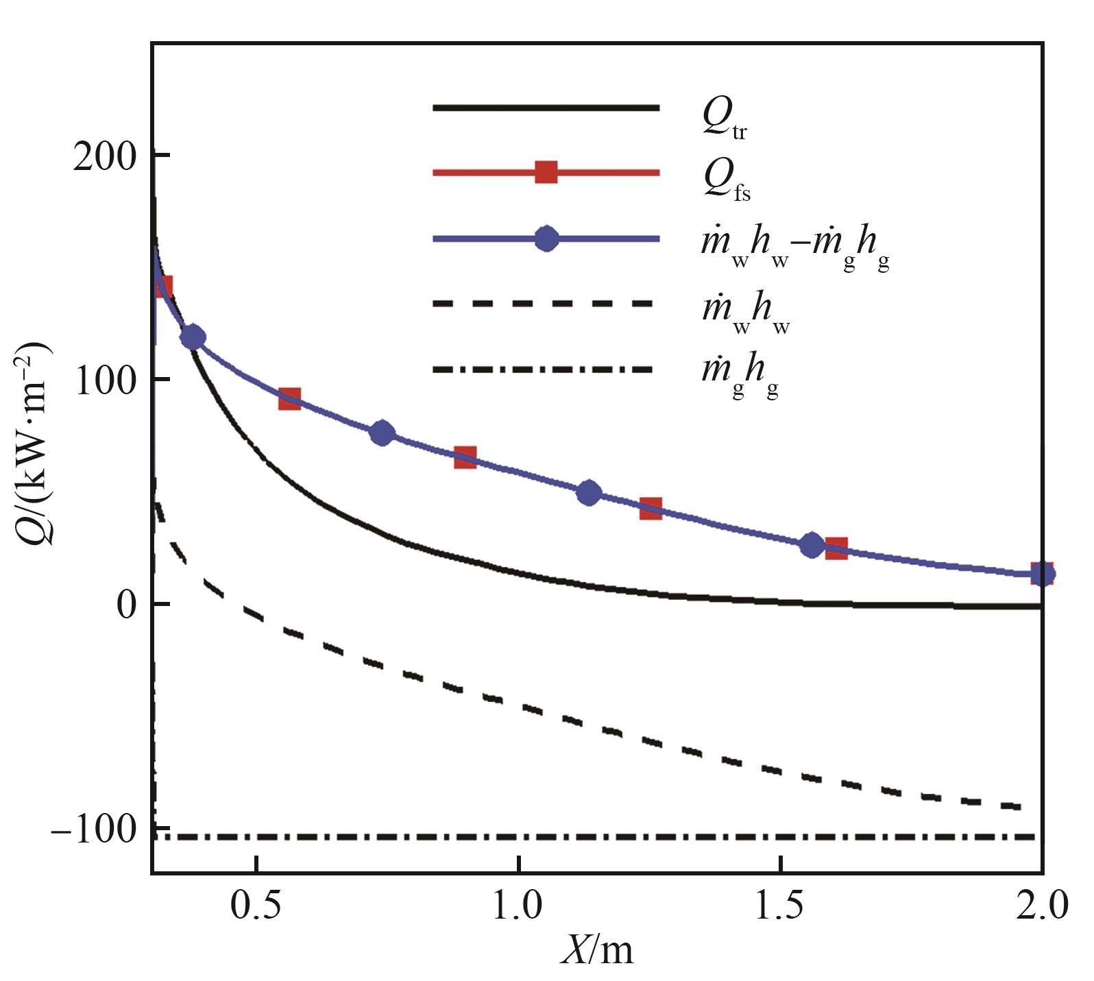
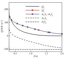
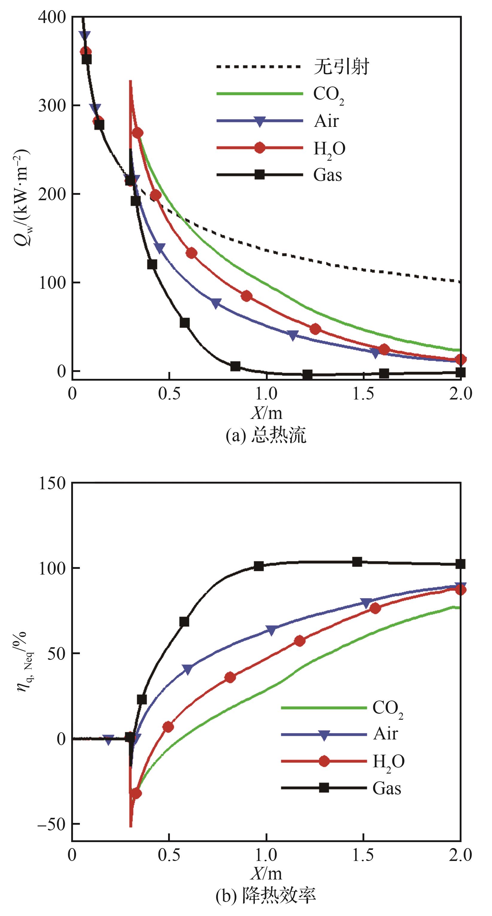
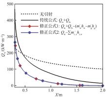
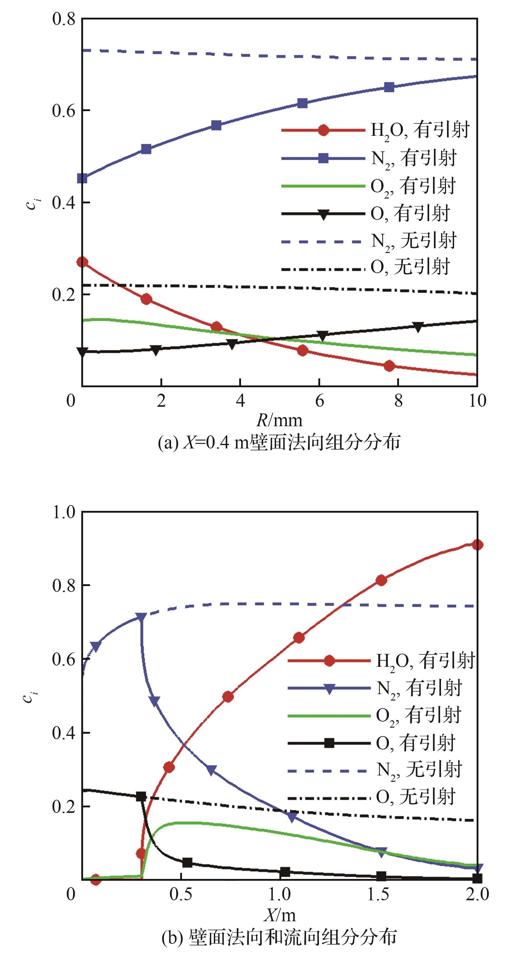
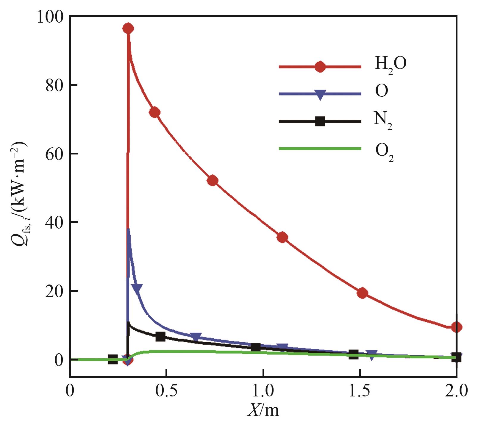
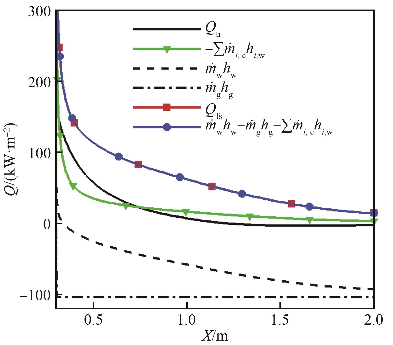
正确认识和评估高速飞行器质量引射条件下的气动热环境,是发展相应热防护技术的前提之一。针对质量引射条件下气动热预测问题,首先建立了高温非平衡流动中质量引射效应计算方法,并进行考核验证,然后理论推导了考虑催化、烧蚀、热解和主动引射等复杂壁面效应的热流修正表征方式,并采用钝楔外形开展了新表征方式和降热机理研究。结果表明:将飞行器机体结构最终感受到的热流作为壁面热流评估标准,既符合传统壁面热流表征公式,也能合理评估考虑复杂壁面效应时的热流;传统热流表征方式在评价质量引射降热效果时,会高估壁面热流,降低降热效果,需要进行修正;质量引射条件下的修正热流表征公式中包含温度传导热流、壁面反应吸/放热和引射介质生成焓,在非烧蚀、无引射条件下可退化为传统热流表征方式;非催化、无烧蚀的主动引射壁面热流中仅包含传导热流,故引射效应显著降低壁面法向温度梯度后,能够起到降热效果;考虑引射水蒸气生成焓后,引射效应的降热效率进一步增加,但占主导因素的仍是传导热流降低量。

关键词: 质量引射, 气动热, 非平衡, 催化, 烧蚀, 高速飞行器

Abstract:

Proper understanding and evaluation of the aerothermal environment with mass injection for high-speed aircraft are prerequisites to develop corresponding thermal protection technology. To address the prediction of aerothermal environment with mass injection, the numerical simulation method of mass injection is proposed and verified in high-temperature nonequilibrium flow. Subsequently, a modified heat flux characterization formula is theoretically derived considering comprehensive wall effects, including catalysis, ablation, pyrolysis and active injection. The new characterization method and heat reduction mechanisms are numerically investigated using a blunt wedge configuration in typical flight states. The results demonstrate the following: using the heat flux ultimately experienced by the vehicle structure as the criterion for wall heat flux assessment aligns with traditional wall heat flux formula while also providing a reasonable evaluation of heat flux with complex wall effects. Conventional heat flux formula needs to be corrected since it overestimates wall heat flux and underestimates cooling efficiency when evaluating the thermal reduction effect of mass injection. The corrected heat flux expression under mass injection conditions includes heat conduction from flow field, heat absorption/release from wall reactions, and formation enthalpy of injected media, degenerating into the traditional heat flux expression in non-ablative and non-injection conditions. For non-catalytic, non-ablative and active injection wall, heat flux consists solely of conductive heat flux. As a result, cooling effect of active injection is achieved by significantly reducing the normal temperature gradient at the wall. The cooling efficiency is further improved while incorporating the enthalpy of injected water vapor, but the dominant factor remains the reduction of conductive heat flux.

Key words: mass injection, aerothermal, nonequilibrium, catalysis, ablation, high-speed aircraft

中图分类号: