Acta Aeronautica et Astronautica Sinica ›› 2025, Vol. 46 ›› Issue (20): 531457.doi: 10.7527/S1000-6893.2025.31457
• Special Issue: Key Technologies for Supersonic Civil Aircraft • Previous Articles
Chao YANG1, Yuting TAN2, Wei WANG2, Yan ZHAO2, Xiongqing YU1(
)
Received:2024-10-29
Revised:2024-12-03
Accepted:2025-02-19
Online:2025-02-28
Published:2025-02-28
Contact:
Xiongqing YU
E-mail:yxq@nuaa.edu.cn
CLC Number:
Chao YANG, Yuting TAN, Wei WANG, Yan ZHAO, Xiongqing YU. Multidisciplinary optimization with low-boom design for supersonic civil aircraft conceptual design[J]. Acta Aeronautica et Astronautica Sinica, 2025, 46(20): 531457.
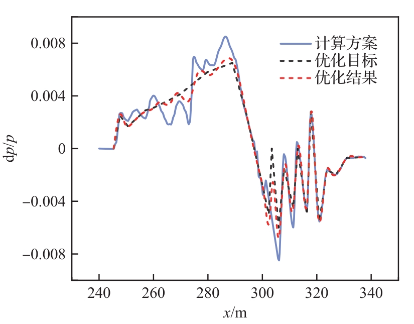
Table 5
Multidisciplinary optimization setting and results
| 类别 | 参数 | 初始值 | 下限 | 上限 | 优化结果 |
|---|---|---|---|---|---|
| 目标 | min WTO /t | 80.16 | 77.29 | ||
| min F1 | 0.644 | 0.401 | |||
| 变量 | 机翼内段上反角/(°) | 18.3 | 12.0 | 20.0 | 17.3 |
| 机翼中段上反角/(°) | 4.0 | 0 | 7.0 | 5.1 | |
| 机翼外段上反角/(°) | 11.0 | 7.0 | 15.0 | 12.2 | |
| 机翼内段后掠角/(°) | 76.6 | 74.0 | 78.0 | 77.5 | |
| 机翼中段后掠角/(°) | 71.5 | 69.0 | 73.0 | 70.6 | |
| 机翼外段后掠角/(°) | 66.0 | 62.0 | 68.0 | 67.7 | |
| 机翼中段展长/m | 6.96 | 6.60 | 7.30 | 7.13 | |
| 机翼外段展长/m | 8.29 | 7.80 | 8.60 | 8.11 | |
| 平尾后掠角/(°) | 66.0 | 62.0 | 70.0 | 68.1 | |
| 平尾梢根比 | 0.12 | 0.08 | 0.20 | 0.145 | |
| 垂尾展长/m | 4.7 | 4.0 | 5.5 | 4.48 | |
| 约束 | 航程/km | 6 000 | 6 000 | 6 000 | |
| 起飞场长/m | 1 723 | 1 800 | 1 702 | ||
| 着陆场长/m | 1 690 | 1 800 | 1 660 | ||
| 单发失效第二爬升段爬升率/% | 4.11 | 2.40 | 4.19 | ||
| 纵向力矩系数导数 | -0.018 7 | 0 | -0.017 1 | ||
| 滚转力矩系数导数 | -0.002 8 | 0 | -0.002 2 | ||
| 偏航力矩系数导数 | 0.018 3 | 0 | 0.016 9 | ||
| 客舱长度/m | 14.2 | 14.0 | 15.4 | 14.0 | |
| 客舱高度/m | 2.50 | 2.45 | 2.70 | 2.47 | |
| 客舱宽度/m | 2.83 | 2.80 | 3.10 | 2.81 |
| [1] | SUN Y C, SMITH H. Review and prospect of supersonic business jet design[J]. Progress in Aerospace Sciences, 2017, 90: 12-38. |
| [2] | 余雄庆. 飞机总体多学科设计优化的现状与发展方向[J]. 南京航空航天大学学报, 2008, 40(4): 417-426. |
| YU X Q. Multidisciplinary design optimization for aircraft conceptual and preliminary design: Status and directions[J]. Journal of Nanjing University of Aeronautics & Astronautics, 2008, 40(4): 417-426 (in Chinese). | |
| [3] | WALSH J, TOWNSEND J, SALAS A, et al. Multidisciplinary high-fidelity analysis and optimization of aerospace vehicles, Part 1: Formulation[C]∥38th Aerospace Sciences Meeting and Exhibit. Reston: AIAA, 2000. |
| [4] | WALSH J, WESTON R, SAMAREH J, et al. Multidisciplinary high-fidelity analysis and optimization of aerospace vehicles, Part 2: Preliminary results[C]∥38th Aerospace Sciences Meeting and Exhibit. Reston: AIAA, 2000. |
| [5] | KROO I, MANNING V. Collaborative optimization-status and directions[C]∥8th Symposium on Multidisciplinary Analysis and Optimization. Reston: AIAA, 2000. |
| [6] | MANNING V M. Large-scale design of supersonic aircraft via collaborative optimization[D]. Stanford: Stanford University, 1999: 22-32. |
| [7] | MACMILLIN P, GOLOVIDOV O, MASON W, et al. An MDO investigation of the impact of practical constraints on an HSCT configuration[C]∥35th Aerospace Sciences Meeting and Exhibit. Reston: AIAA, 1997. |
| [8] | HOSDER S, WATSON L T, GROSSMAN B, et al. Polynomial response surface approximations for the multidisciplinary design optimization of a high speed civil transport[J]. Optimization and Engineering, 2001, 2(4): 431-452. |
| [9] | FENWICK S, HARRIS J, DEAN S. Multi-disciplinary optimisation to assess the impact of cruise speed on HSCT performance[C]∥10th AIAA/ISSMO Multidisciplinary Analysis and Optimization Conference. Reston: AIAA, 2004. |
| [10] | LABAN M, HERRMANN U. Multi-disciplinary analysis and optimisation applied to supersonic aircraft part 1: analysis tools[C]∥48th AIAA/ASME/ASCE/AHS/ASC Structures, Structural Dynamics, and Materials Conference. Reston: AIAA, 2007. |
| [11] | SCHUERMANN M, GAFFURI M, HORST P. Multidisciplinary pre-design of supersonic aircraft[J]. CEAS Aeronautical Journal, 2015, 6(2): 207-216. |
| [12] | CHOI S, ALONSO J J, KROO I M, et al. Multifidelity design optimization of low-boom supersonic jets[J]. Journal of Aircraft, 2008, 45(1): 106-118. |
| [13] | BREZILLON J, CARRIER G, LABAN M. Multidisciplinary optimization of supersonic aircraft including low-boom considerations[J]. Journal of Mechanical Design, 2011, 133(10): 105001. |
| [14] | SUN Y C, SMITH H. Low-boom low-drag optimization in a multidisciplinary design analysis optimization environment[J]. Aerospace Science and Technology, 2019, 94: 105387. |
| [15] | LI W, RALLABHANDI S. Inverse design of low-boom supersonic concepts using reversed equivalent-area targets[J]. Journal of Aircraft, 2014, 51(1): 29-36. |
| [16] | LI W, GEISELHART K. Multidisciplinary design optimization of low-boom supersonic aircraft with mission constraints[J]. AIAA Journal, 2020, 59(1): 165-179. |
| [17] | LI W, GEISELHART K. Multi-objective, multidisciplinary optimization of low-boom supersonic transports using multifidelity models[J]. Journal of Aircraft, 2022, 59(5): 1137-1151. |
| [18] | 丁玉临, 韩忠华, 乔建领, 等. 超声速民机总体气动布局设计关键技术研究进展[J]. 航空学报, 2023, 44(2): 626310. |
| DING Y L, HAN Z H, QIAO J L, et al. Research progress in key technologies for conceptual-aerodynamic configuration design of supersonic transport aircraft[J]. Acta Aeronautica et Astronautica Sinica, 2023, 44(2): 626310 (in Chinese). | |
| [19] | 张力文, 宋文萍, 韩忠华, 等. 声爆产生、传播和抑制机理研究进展[J]. 航空学报, 2022, 43(12): 025649. |
| ZHANG L W, SONG W P, HAN Z H, et al. Recent progress of sonic boom generation, propagation, and mitigation mechanism[J]. Acta Aeronautica et Astronautica Sinica, 2022, 43(12): 025649 (in Chinese). | |
| [20] | DING Y L, HAN Z H, QIAO J L, et al. Inverse design method for low-boom supersonic transport with lift constraint[J]. AIAA Journal, 2023, 61(7): 2840-2853. |
| [21] | CASTNER R. Analysis of exhaust plume effects on sonic boom for a 59-degree wing body model[C]∥49th AIAA Aerospace Sciences Meeting Including the New Horizons Forum and Aerospace Exposition. Reston: AIAA, 2011. |
| [22] | KIRZ J. DLR TAU simulations for the third AIAA sonic boom prediction workshop near-field cases[C]∥AIAA Scitech 2021 Forum. Reston: AIAA, 2021. |
| [23] | PARK M A, NEMEC M. Nearfield summary and statistical analysis of the second AIAA sonic boom prediction workshop[J]. Journal of Aircraft, 2018, 56(3): 851-875. |
| [24] | ANDERSON G R, AFTOSMIS M J, NEMEC M. Cart3D simulations for the second AIAA sonic boom prediction workshop[J]. Journal of Aircraft, 2018, 56(3): 896-911. |
| [25] | SEEBASS R. Minimum sonic boom shock strengths and overpressures[J]. Nature, 1969, 221(5181): 651-653. |
| [26] | 顾奕然, 黄江涛, 陈树生, 等. 基于逆向增广Burgers方程的声爆反演技术[J]. 航空学报, 2023, 44(2): 626258. |
| GU Y R, HUANG J T, CHEN S S, et al. Sonic boom inversion technology based on inverse augmented Burgers equation[J]. Acta Aeronautica et Astronautica Sinica, 2023, 44(2): 626258 (in Chinese). | |
| [27] | WHITHAM G B. The flow pattern of a supersonic projectile[J]. Communications on Pure and Applied Mathematics, 1952, 5(3): 301-348. |
| [28] | JONES L B. Lower bounds for sonic bangs[J]. The Aeronautical Journal, 1961, 65(606): 433-436. |
| [29] | GEORGE A R. Lower bounds for sonic booms in the midfield[J]. AIAA Journal, 1969, 7(8): 1542-1545. |
| [30] | DARDEN C M. Sonic-boom minimization with nose bluntness relaxation: NASA TP-1348[R]. Washington, D. C.: NASA, 1979. |
| [31] | PLOTKIN K, RALLABHANDI S, LI W. Generalized formulation and extension of sonic boom minimization theory for front and aft shaping[C]∥47th AIAA Aerospace Sciences Meeting including The New Horizons Forum and Aerospace Exposition. Reston: AIAA, 2009. |
| [32] | CLEVELAND R O. Propagation of sonic booms through a real, stratified atmosphere[D]. Austin: The University of Texas at Austin, 1995: 75-117. |
| [33] | STEVENS S S. Perceived level of noise by mark Ⅶ and decibels(E)[J]. The Journal of the Acoustical Society of America, 1972, 51(2B): 575-601. |
| [34] | RALLABHANDI S K. Advanced sonic boom prediction using the augmented Burgers equation[J]. Journal of Aircraft, 2011, 48(4): 1245-1253. |
| [35] | FORRESTER A, SOBESTER A, KEANE A. Engineering design via surrogate modelling: A practical guide[M]. Chichester: John Wiley & Sons, 2008: 33-59. |
| [36] | BOOKER A J, DENNIS J E, FRANK P D, et al. A rigorous framework for optimization of expensive functions by surrogates[J]. Structural Optimization, 1999, 17(1): 1-13. |
| [37] | JONES D R, SCHONLAU M, WELCH W J. Efficient global optimization of expensive black-box functions[J]. Journal of Global Optimization, 1998, 13(4): 455-492. |
| [38] | DEB K, PRATAP A, AGARWAL S, et al. A fast and elitist multiobjective genetic algorithm: NSGA-Ⅱ[J]. IEEE Transactions on Evolutionary Computation, 2002, 6(2): 182-197. |
| [39] | 范周伟. 基于模型的客机需求定义与概念设计一体化研究[D]. 南京: 南京航空航天大学, 2022: 99-100. |
| FAN Z W. Model-based integration of requirements definition and conceptual design for commercial aircraft[D]. Nanjing: Nanjing University of Aeronautics and Astronautics, 2022: 99-100 (in Chinese). | |
| [40] | MATTINGLY J D, HEISER W H, DALEY D H. Air-craft engine design[M]. 2nd ed. Reston: AIAA, 2002: 38-39. |
| [41] | 高永, 朱飞翔, 李冰, 等. 改进CST方法在翼型优化设计中的应用[J]. 海军航空工程学院学报, 2017, 32(5): 426-430. |
| GAO Y, ZHU F X, LI B, et al. Application of improved CST parametric method in airfoil design[J]. Journal of Naval Aeronautical and Astronautical University, 2017, 32(5): 426-430 (in Chinese). | |
| [42] | RAYMER D P. Aircraft design: A conceptual approach [M]. 6th ed. Reston: AIAA, 2018: 389-452. |
| [43] | JONES R T. Theory of Wing-Body Drag at Supersonic Speeds: NACA-TR-1284[R]. Washington, D. C.: NASA, 1956. |
| [44] | 韩阳, 冷岩, 杨龙, 等. 一类超声速长航程民用客机的气动设计和性能评估[J]. 航空科学技术, 2019, 30(9): 25-32. |
| HAN Y, LENG Y, YANG L, et al. Aerodynamic design and evaluation of a type of supersonic long-range civil transport[J]. Aeronautical Science & Technology, 2019, 30(9): 25-32 (in Chinese). | |
| [45] | HOWE D. Aircraft conceptual design synthesis[M]. London: Professional Engineering Pub, 2000: 153-164. |
| [46] | WELGE H R, BONET J, MAGEE T, et al. N+3 Ad-vanced Concept Studies for Supersonic Commercial Transport Aircraft Entering Service in the 2030-2035 Period: NASA/CR-2011-217084[R]. Reston AIAA, 2011. |
| [47] | JENKINSON L R, SIMPKIN P, RHODES D. Civil jet aircraft design[M]. Washington, D. C.: American Institute of Aeronautics and Astronautics, 1999: 147-148. |
| [48] | 张帅, 余雄庆. 客机航线性能分析的分段解析方法[J]. 飞行力学, 2012, 30(6): 502-506. |
| ZHANG S, YU X Q. Piecewise analytic model for en-route performance of airliners[J]. Flight Dynamics, 2012, 30(6): 502-506 (in Chinese). | |
| [49] | SCHULTE P, SCHLAGER H, ZIEREIS H, et al. NO x emission indices of subsonic long-range jet aircraft at cruise altitude: In situ measurements and predictions[J]. Journal of Geophysical Research: Atmospheres, 1997, 102(D17): 21431-21442. |
| [50] | FUSARO R, VIOLA N, GALASSINI D. Sustainable supersonic fuel flow method: An evolution of the Boeing fuel flow method for supersonic aircraft using sustainable aviation fuels[J]. Aerospace, 2021, 8(11): 331. |
| [1] | Zhouwei FAN, Chuihuan KONG, Ming LIU, Zhaoguang TAN. Sensitivity analysis on key parameters of hybrid hydrogen fuel cell commercial aircraft [J]. Acta Aeronautica et Astronautica Sinica, 2025, 46(9): 631066-631066. |
| [2] | Kefeng ZHENG, Wenping SONG, Han NIE, Yulin DING, Jianling QIAO, Qing CHEN, Yiheng WANG, Ke SONG, Keshi ZHANG. Natural laminar flow wing design method for supersonic civil aircraft considering full-aircraft sonic-boom characteristics [J]. Acta Aeronautica et Astronautica Sinica, 2025, 46(20): 531214-531214. |
| [3] | Junfu LI, Qing CHEN, Wei WANG, Zhonghua HAN, Yuting TAN, Yulin DING, Lu XIE, Jianling QIAO, Ke SONG, Junqiang AI. Design of low sonic boom high efficiency layout for advanced supersonic civil aircraft [J]. Acta Aeronautica et Astronautica Sinica, 2024, 45(6): 629613-629613. |
| [4] | Chengjun SHAN, Tianyu GONG, Lizhe YI, Haohui YANG, Yaosong LONG. High-efficiency and high-reliability sonic boom/aerodynamic multidisciplinary optimization method for supersonic civil aircraft [J]. Acta Aeronautica et Astronautica Sinica, 2024, 45(24): 630573-630573. |
| [5] | Dong XUE, Ziwen ZHU, Bifeng SONG. Key technologies of bird inspired flapping-wing micro aerial vehicles: Review [J]. Acta Aeronautica et Astronautica Sinica, 2024, 45(17): 529984-529984. |
| [6] | Ming LI, Jiaojiao CHEN, Hai ZHOU, Yingwen CHEN, Junqiang BAI. Adjoint⁃based aero/stealth optimization design for UAV [J]. Acta Aeronautica et Astronautica Sinica, 2024, 45(17): 530010-530010. |
| [7] | Cheng HE, Yuqi TONG, Xinglu XIA, Gang CHEN. Integrated optimization of energy management strategy and mission path for hybrid-electric VTOL UAVs in cargo transportation [J]. Acta Aeronautica et Astronautica Sinica, 2024, 45(14): 229606-229606. |
| [8] | Di WANG, Yan LENG, Long YANG, Zhonghua HAN, Zhansen QIAN. Atmospheric turbulence effects on sonic boom propagation based on augmented Burgers equation [J]. ACTA AERONAUTICAET ASTRONAUTICA SINICA, 2023, 44(2): 626318-626318. |
| [9] | Yulin DING, Zhonghua HAN, Jianling QIAO, Han NIE, Wenping SONG, Bifeng SONG. Research progress in key technologies for conceptual-aerodynamic configuration design of supersonic transport aircraft [J]. ACTA AERONAUTICAET ASTRONAUTICA SINICA, 2023, 44(2): 626310-626310. |
| [10] | ZHANG Liwen, SONG Wenping, HAN Zhonghua, QIAN Zhansen, SONG Bifeng. Recent progress of sonic boom generation, propagation, and mitigation mechanism [J]. ACTA AERONAUTICAET ASTRONAUTICA SINICA, 2022, 43(12): 25649-025649. |
| [11] | YUAN Jisen, SUN Jue, LI Lingyu, YU Shenghao, NIE Han, GAO Liangjie, HAN Zhonghua, QIAN Zhansen. Progress of supersonic aircraft laminar flow layout design and evaluation technologies [J]. ACTA AERONAUTICAET ASTRONAUTICA SINICA, 2022, 43(11): 526316-526316. |
| [12] | WANG Di, QIAN Zhansen, LENG Yan. High-order scheme discretization of sonic boom propagation model based on augmented Burgers equation [J]. ACTA AERONAUTICAET ASTRONAUTICA SINICA, 2022, 43(1): 124916-124916. |
| [13] | FAN Zhouwei, YU Xiongqing, WANG Chao, ZHONG Bowen. Sensitivity analysis of key design parameters of commercial aircraft using deep neural network [J]. ACTA AERONAUTICAET ASTRONAUTICA SINICA, 2021, 42(4): 524353-524353. |
| [14] | HUANG Jiangtao, LIU Gang, GAO Zhenghong, ZHOU Zhu, CHEN Zuobin, JIANG Xiong. Current situation and development trend of multidisciplinary coupled adjoint system for aircraft [J]. ACTA AERONAUTICAET ASTRONAUTICA SINICA, 2020, 41(5): 623404-623404. |
| [15] | LIU Li, CAO Xiao, ZHANG Xiaohui, HE Yuntao. Review of development of light and small scale solar/hydrogen powered unmanned aerial vehicles [J]. ACTA AERONAUTICAET ASTRONAUTICA SINICA, 2020, 41(3): 623474-623474. |
| Viewed | ||||||
|
Full text |
|
|||||
|
Abstract |
|
|||||
Address: No.238, Baiyan Buiding, Beisihuan Zhonglu Road, Haidian District, Beijing, China
Postal code : 100083
E-mail:hkxb@buaa.edu.cn
Total visits: 6658907 Today visits: 1341All copyright © editorial office of Chinese Journal of Aeronautics
All copyright © editorial office of Chinese Journal of Aeronautics
Total visits: 6658907 Today visits: 1341

