航空学报 > 2025, Vol. 46 Issue (11): 531341-531341   doi: 10.7527/S1000-6893.2025.31341

面向无人机远程识别的位置隐私保护方法

金永光1, 叶方伟2(), 吴启晖1   

  1. 1.南京航空航天大学 电子信息工程学院,南京 211106
    2.南京航空航天大学 计算机科学与技术学院,南京 211106
  • 收稿日期:2024-10-08 修回日期:2024-11-22 接受日期:2025-02-13 出版日期:2025-02-24 发布日期:2025-02-21
  • 通讯作者: 叶方伟 E-mail:fangweiye@nuaa.edu.cn
  • 基金资助:
    江苏省重点研发计划(产业前瞻与关键核心技术)项目(BE2022068);江苏省重点研发计划(产业前瞻与关键核心技术)项目(BE2022068-1)

Location privacy protection mechanisms for UAVs with Remote ID

Yongguang JIN1, Fangwei YE2(), Qihui WU1   

  1. 1.College of Electronic and Information Engineering,Nanjing University of Aeronautics & Astronautics,Nanjing 211106,China
    2.College of Computer Science and Technology,Nanjing University of Aeronautics & Astronautics,Nanjing 211106,China
  • Received:2024-10-08 Revised:2024-11-22 Accepted:2025-02-13 Online:2025-02-24 Published:2025-02-21
  • Contact: Fangwei YE E-mail:fangweiye@nuaa.edu.cn
  • Supported by:
    Jiangsu Provincial Key Research and Development Program(BE2022068)

摘要:

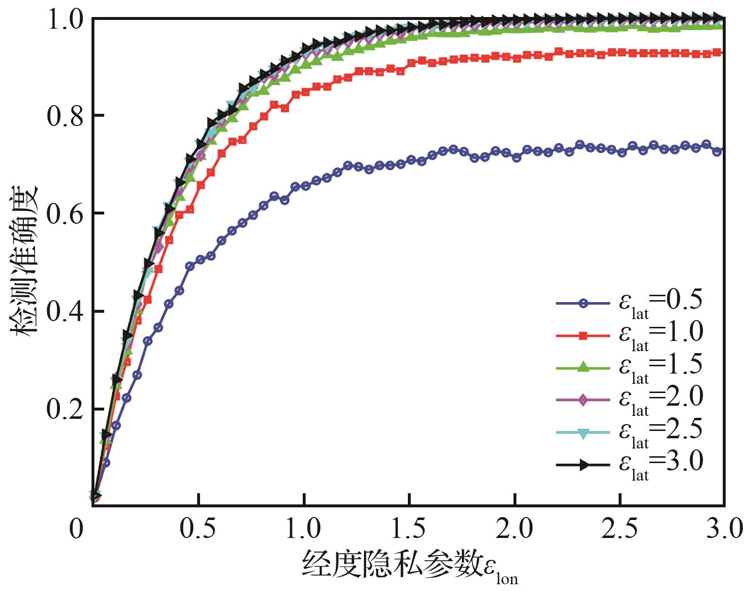
随着低空空域的逐步放开以及低空经济的高速发展,无人航空器的数量将呈现指数增长。无人机的位置信息是保障飞行安全和业务效率的基础,因此,多个国家及地区的航空监管机构颁布了无人机远程识别(Remote ID)规定,要求无人机定期通过无线信道明文广播无人机标识符和当前位置等信息。尽管强制广播位置信息有助于优化空域资源分布以及提升业务效率,但明文广播位置信息使得恶意用户能够获取轨迹信息并跟踪无人机,可能导致无人机被捕获和敏感信息的隐私泄露等严重后果。针对此问题,研究适用于Remote ID的无人机位置隐私保护机制,提出一种基于差分隐私的位置混淆方案,通过广播混淆位置而不是实际位置来实现对无人机位置信息的隐私保护,同时保障混淆位置的可用性。最后评估了基于混淆位置的隐私保护方法在2个涉及无人机位置的用例中的效用,揭示了在下一代符合Remote ID规范的无人机生态系统中,位置隐私与位置效用之间的权衡机理。

关键词: 无人机, Remote ID, 位置隐私保护, 低空经济, 差分隐私

Abstract:

With the gradual opening of low-altitude airspace and the rapid development of the low-altitude economy, the amount of Unmanned Aerial Vehicles (UAVs) dramatically grows. The locations of UAVs are essential for ensuring flight safety and task efficiency. Consequently, aviation regulatory authorities in various countries and regions have issued Remote Identification (Remote ID) regulations, requiring UAVs to periodically broadcast their identifiers and locations in plain text via wireless channels. Although broadcasting locations of UAVs helps optimize airspace resource allocation and enhance task efficiency, openly broadcasting location data allows malicious users to obtain trajectory information and track UAVs, which could lead to severe consequences such as the capture of UAVs and the leakage of sensitive information. To address this issue, this paper proposes a location privacy protection mechanism for Remote ID-based UAV systems, introducing a location obfuscation scheme based on differential privacy. The scheme achieves privacy protection for UAVs’ location information by broadcasting obfuscated locations instead of actual locations, while ensuring the utility of the obfuscated data. Finally, we evaluate the effectiveness of the privacy protection method in two use cases involving UAV locations, revealing the trade-off mechanism between location privacy and utility in the next generation of UAV ecosystems with Remote ID regulations.

Key words: UAV, Remote ID, location privacy protection, low-altitude economy, differential privacy

中图分类号: