Acta Aeronautica et Astronautica Sinica ›› 2025, Vol. 46 ›› Issue (S1): 732187.doi: 10.7527/S1000-6893.2025.32187
• Excellent Papers of the 2nd Aerospace Frontiers Conference/the 27th Annual Meeting of the China Association for Science and Technology • Previous Articles
Chen LI, Dong SUN(
), Pengxin LIU, Qilong GUO, Xianxu YUAN
Received:2025-04-29
Revised:2025-04-30
Accepted:2025-05-14
Online:2025-05-20
Published:2025-10-30
Contact:
Dong SUN
E-mail:sund1986@foxmail.com
Supported by:CLC Number:
Chen LI, Dong SUN, Pengxin LIU, Qilong GUO, Xianxu YUAN. Direct numerical simulation of supersonic turbulent boundary layer with plasma actuation[J]. Acta Aeronautica et Astronautica Sinica, 2025, 46(S1): 732187.
| [1] | 陈坚强, 涂国华, 张毅锋, 等. 高超声速边界层转捩研究现状与发展趋势[J]. 空气动力学学报, 2017, 35(3): 311-337. |
| CHEN J Q, TU G H, ZHANG Y F, et al. Hypersnonic boundary layer transition: what we know, where shall we go[J]. Acta Aerodynamica Sinica, 2017, 35(3): 311-337 (in Chinese). | |
| [2] | ZARE A, LIEU B K, JOVANOVIĆ M R. Turbulent drag reduction by streamwise traveling waves[C]∥ 2012 IEEE 51st IEEE Conference on Decision and Control (CDC). Piscataway: IEEE Press, 2012: 3122-3126. |
| [3] | RAN W, ZARE A, JOVANOVIĆ M R. Model-based design of riblets for turbulent drag reduction[J]. Journal of Fluid Mechanics, 2021, 906: A7. |
| [4] | ZENG F Y, QIU Y L, JIANG Z Z, et al. Direct numerical simulation of skin friction drag reduction on supersonic turbulent boundary layers with micro-blowing[J]. Physics of Fluids, 2024, 36(9): 095165. |
| [5] | 李应红, 吴云, 梁华, 等. 等离子体激励气动力学探索与展望[J]. 力学进展, 2022, 52(1): 1-32. |
| LI Y H, WU Y, LIANG H, et al. Exploration and outlook of plasma-actuated gas dynamics[J]. Advances in Mechanics, 2022, 52(1): 1-32 (in Chinese). | |
| [6] | 陆纪椿, 史志伟, 杜海, 等. 等离子体激励器控制平板边界层转捩实验研究[J]. 航空学报, 2016, 37(4): 1166-1173. |
| LU J C, SHI Z W, DU H, et al. Experimental study of controlling flat transition using surface dielectric barrier discharge actuator[J]. Acta Aeronautica et Astronautica Sinica, 2016, 37(4): 1166-1173 (in Chinese). | |
| [7] | 苏志, 宗豪华, 梁华, 等. 等离子体湍流摩擦减阻研究进展与展望[J]. 空气动力学学报, 2023, 41(9): 1-19. |
| SU Z, ZONG H H, LIANG H, et al. Progress and outlook of plasma-based turbulent skin-friction drag reduction[J]. Acta Aerodynamica Sinica, 2023, 41(9): 1-19 (in Chinese). | |
| [8] | 张攀峰, 刘爱兵, 王晋军. 非定常等离子激励器诱导平板边界层的流动结构[J]. 中国科学: 技术科学, 2011, 41(4): 482-492. |
| ZHANG P F, LIU A B, WANG J J. Flow structure of boundary layer induced by unsteady plasma exciter on flat plate[J]. Scientia Sinica (Technologica), 2011, 41(4): 482-492 (in Chinese). | |
| [9] | ALTINTACS A, DAVIDSON L, PENG S H. Direct numerical simulation of drag reduction by spanwise oscillating dielectric barrier discharge plasma force[J]. Physics of Fluids, 2020, 32(7): 075101. |
| [10] | 唐冰亮, 郭善广, 宋国正, 等. 脉冲电弧等离子体激励控制超声速平板边界层转捩实验[J]. 物理学报, 2020, 69(15): 155201. |
| TANG B L, GUO S G, SONG G Z, et al. Experimental study on supersonic plate boundary layer transition under pulsed arc plasma excitation control[J]. Acta Physica Sinica, 2020, 69(15): 155201 (in Chinese). | |
| [11] | GAN T. Visualization study on boundary layer transition using surface arc plasma actuators[J]. Journal of Visualization, 2024, 27(1): 43-57. |
| [12] | TANG M X, WU Y, ZONG H H, et al. Experimental investigation of supersonic boundary-layer tripping with a spanwise pulsed spark discharge array[J]. Journal of Fluid Mechanics, 2022, 931: A16. |
| [13] | FENG L M, MA X G, ZHANG Y T, et al. Response characteristics of impinging shock wave/turbulent boundary layer interaction disturbed by arc plasma energy deposition[J]. Physics of Fluids, 2022, 34(1): 015132. |
| [14] | TANG M X, WU Y, ZONG H H, et al. Experimental investigation on compression ramp shock wave/boundary layer interaction control using plasma actuator array[J]. Physics of Fluids, 2021, 33(6): 066101. |
| [15] | YAN H, GAITONDE D. Effect of thermally induced perturbation in supersonic boundary layers[J]. Physics of Fluids, 2010, 22(6): 064101. |
| [16] | 盛佳明, 张海灯, 吴云, 等. 电弧放电等离子体激励控制超声速压气机叶栅激波/边界层干扰仿真研究[J]. 推进技术, 2020, 41(10): 2228-2236. |
| SHENG J M, ZHANG H D, WU Y, et al. Simulation study of arc discharge plasma actuator for supersonic compressor cascade shock wave/boundary layer interaction control[J]. Journal of Propulsion Technology, 2020, 41(10): 2228-2236 (in Chinese). | |
| [17] | MA X G, FAN J, WU Y K, et al. Flow control effect of pulsed arc discharge plasma actuation on impinging shock wave/boundary layer interaction[J]. Physics of Fluids, 2023, 35(3): 036110. |
| [18] | SONG G X, LI J, TANG M X. Direct numerical simulation of the pulsed arc discharge in supersonic compression ramp flow[J]. Journal of Thermal Science, 2020, 29(6): 1581-1593. |
| [19] | TANG M X, WU Y. Direct numerical simulation of compression ramp shock wave/boundary layer interaction controlled by plasma actuator array[J]. Physics of Fluids, 2023, 35(12): 126118. |
| [20] | LI C, SUN D, GUO Q L, et al. A new hybrid WENO scheme on a four-point stencil for Euler equations[J]. Journal of Scientific Computing, 2021, 87(1): 18. |
| [21] | GUO Q L, SUN D, LI C, et al. A new discontinuity indicator for hybrid WENO schemes[J]. Journal of Scientific Computing, 2020, 83(2): 28. |
| [22] | 王天, 孙东, 郭启龙, 等. 可压缩边界层的入口合成湍流生成方法[J]. 力学学报, 2024, 56(1): 45-57. |
| WANG T, SUN D, GUO Q L, et al. Inlet synthetic turbulence generation method for compressible boundary layer[J]. Chinese Journal of Theoretical and Applied Mechanics, 2024, 56(1): 45-57 (in Chinese). | |
| [23] | LI C, GUO Q L, SUN D, et al. Aerothermal prediction of hypersonic flow around spherical capsule model using IDDES approach[J]. International Journal of Modern Physics B, 2020, 34(14-16): 20400780. |
| [24] | CAI H Y, YU M, SUN D, et al. Wall pressure fluctuations in supersonic boundary layers over compression ramps with different turning angles[J]. Physics of Fluids, 2022, 34(12): 126105. |
| [25] | SUN D, LIU X D, LI C, et al. Analysis of the wall heat flux of the hypersonic shock wave/boundary layer interaction using a novel decomposition formula[J]. Theoretical and Computational Fluid Dynamics, 2024, 38(6): 901-916. |
| [26] | LI C, SUN D, GUO Q, et al. Direct numerical simulation of shock wave-turbulent boundary layer interaction controlled by plasma actuation[C]∥17th Asian Congress of Fluid Mechanics, 2023. |
| [27] | SUN D, GUO Q L, LI C, et al. Direct numerical simulation of effects of a micro-ramp on a hypersonic shock wave/boundary layer interaction[J]. Physics of Fluids, 2019, 31(12): 126101. |
| [28] | BOOKEY P, WYCKHAM C, SMITS A, et al. New experimental data of STBLI at DNS/LES accessible Reynolds numbers: AIAA-2005-309[R]. Reston:AIAA, 2005. |
| [29] | TONG F L, YU C P, TANG Z G, et al. Numerical studies of shock wave interactions with a supersonic turbulent boundary layer in compression corner: Turning angle effects[J]. Computers & Fluids, 2017, 149: 56-69. |
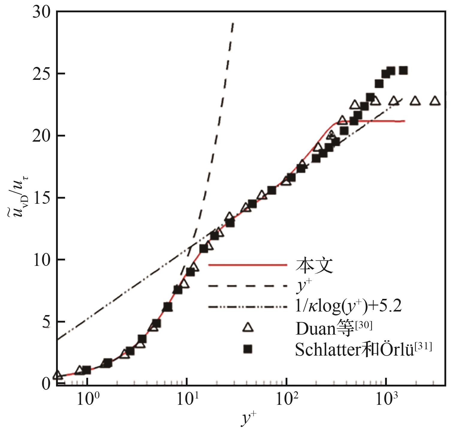
| [30] | DUAN L, CHOUDHARI M M, WU M W. Numerical study of acoustic radiation due to a supersonic turbulent boundary layer[J]. Journal of Fluid Mechanics, 2014, 746: 165-192. |
| [31] | SCHLATTER P, ÖRLÜ R. Assessment of direct numerical simulation data of turbulent boundary layers[J]. Journal of Fluid Mechanics, 2010, 659: 116-126. |
| [32] | PIROZZOLI S, BERNARDINI M, GRASSO F. Direct numerical simulation of transonic shock/boundary layer interaction under conditions of incipient separation[J]. Journal of Fluid Mechanics, 2010, 657: 361-393. |
| [33] | RENARD N, DECK S. A theoretical decomposition of mean skin friction generation into physical phenomena across the boundary layer[J]. Journal of Fluid Mechanics, 2016, 790: 339-367. |
| [34] | GUO T B, ZHANG J, ZHU Y H, et al. Wall skin friction analysis in a hypersonic turbulent boundary layer over a compression ramp[J]. Journal of Fluid Mechanics, 2024, 988: A23. |
| [1] | Xiaoxu ZHANG, Wei XIAO, Jun CAO, Wei LI, Hua ZHOU, Zhuyin REN. Review of mechanism and prediction model of boundary layer flashback in hydrogen-fueled combustor [J]. Acta Aeronautica et Astronautica Sinica, 2025, 46(9): 630952-630952. |
| [2] | Chengpeng WANG, Chenguang HAO, Hao LI, Longsheng XUE, Yun JIAO, Siyu WU, Zhangyu MA, Ye YUAN, Weijun LI, Puchen HOU. Application of minimum entropy production principle to analysis of shock wave/boundary layer interactions [J]. Acta Aeronautica et Astronautica Sinica, 2025, 46(8): 631458-631458. |
| [3] | Yun WU, Zhibo ZHANG, Yifei ZHU, Min JIA, Yinghong LI. Research progress and outlook of plasma combustion control [J]. Acta Aeronautica et Astronautica Sinica, 2025, 46(5): 531879-531879. |
| [4] | Jiakun FAN, Junqiang AI, Ningjuan DONG, Jiakuan XU, Lei QIAO, Junqiang BAI. Stationary crossflow induced transition prediction method for supersonic swept-wing based on convolutional neural networks [J]. Acta Aeronautica et Astronautica Sinica, 2025, 46(20): 532012-532012. |
| [5] | Runyu TIAN, Hongming GONG, Yu CHANG, Xiaoping KONG. Calculation method for heat flow at stagnation point of spherical head based on boundary layer theory [J]. Acta Aeronautica et Astronautica Sinica, 2025, 46(2): 130448-130448. |
| [6] | Xueliang LI, Chuangchuang LI, Yahan ZHANG, Wei SU, Jie WU. Effect of distributed ablation pattern on hypersonic boundary-layer instability with a flat plate [J]. Acta Aeronautica et Astronautica Sinica, 2025, 46(2): 130464-130464. |
| [7] | Jialiang HU, Jiangpeng WU, Sixu HUO, Yidi GAO, Hua ZHENG. Modal parameter estimation based on reconstruction of digital twin sweep data in flutter flight test [J]. Acta Aeronautica et Astronautica Sinica, 2025, 46(19): 531602-531602. |
| [8] | Hongyu WANG, Gang WANG, Tao LI, Zhenhou CHAO, Feng GAO. Transverse jet mixing based on energy deposition control via pulsed discharge [J]. Acta Aeronautica et Astronautica Sinica, 2025, 46(14): 131520-131520. |
| [9] | Yifeng ZHANG, Xinguang WANG, Leitao GUO, Yang XU, Qi CHEN. Measurement and analysis of influence of high-speed boundary layer transition on dynamic aerodynamic characteristics of sharp cone [J]. Acta Aeronautica et Astronautica Sinica, 2025, 46(12): 131430-131430. |
| [10] | Yu ZENG, Hongbo WANG, Chengyue LIAN, Yixin YANG, Dapeng XIONG, Mingbo SUN, Weidong LIU. Applicability analysis of two improved methods of SST turbulence model [J]. Acta Aeronautica et Astronautica Sinica, 2024, 45(S1): 730574-730574. |
| [11] | Guangning LI, Kunpeng LEI, Xiaomin AN, Min XU, Yong XU. Numerical flight simulation of an airfoil with time varing Mach number effect acrossing transonic region [J]. Acta Aeronautica et Astronautica Sinica, 2024, 45(S1): 730875-730875. |
| [12] | Wenchang WU, Xingsi HAN, Yaobing MIN, Zhenguo YAN, Yankai MA. Sixth-order low-dissipation WCNS-CU6-ST scheme based on smooth TENO nonlinear weight [J]. Acta Aeronautica et Astronautica Sinica, 2024, 45(S1): 730598-730598. |
| [13] | Wenchang WU, Yankai MA, Xingsi HAN, Yaobing MIN, Zhenguo YAN. Smooth TENO nonlinear weighting for WCNS scheme [J]. Acta Aeronautica et Astronautica Sinica, 2024, 45(8): 129052-129052. |
| [14] | Hongbo WANG, Yu ZENG, Dapeng XIONG, Yixin YANG, Mingbo SUN. Improvement of shock wave and compressibility effects in SST turbulence model [J]. Acta Aeronautica et Astronautica Sinica, 2024, 45(3): 128694-128694. |
| [15] | Dingjin ZHANG, Juanmian LEI, Rui ZHAO. Influence of wall temperature on receptivity of hypersonic flare cone boundary layer [J]. Acta Aeronautica et Astronautica Sinica, 2024, 45(24): 130290-130290. |
| Viewed | ||||||
|
Full text |
|
|||||
|
Abstract |
|
|||||
Address: No.238, Baiyan Buiding, Beisihuan Zhonglu Road, Haidian District, Beijing, China
Postal code : 100083
E-mail:hkxb@buaa.edu.cn
Total visits: 6658907 Today visits: 1341All copyright © editorial office of Chinese Journal of Aeronautics
All copyright © editorial office of Chinese Journal of Aeronautics
Total visits: 6658907 Today visits: 1341

