Acta Aeronautica et Astronautica Sinica ›› 2025, Vol. 46 ›› Issue (S1): 732181.doi: 10.7527/S1000-6893.2025.32181
• Excellent Papers of the 2nd Aerospace Frontiers Conference/the 27th Annual Meeting of the China Association for Science and Technology • Previous Articles
Wangqing ZHU1,2, Chenkai CAO1,2(
), Guoqing ZHAO1,2, Qinghua ZHU1,2, Haoyu HU1,2
Received:2025-02-26
Revised:2025-03-27
Accepted:2025-04-28
Online:2025-05-08
Published:2025-05-06
Contact:
Chenkai CAO
E-mail:cck1208@nuaa.edu.cn
Supported by:CLC Number:
Wangqing ZHU, Chenkai CAO, Guoqing ZHAO, Qinghua ZHU, Haoyu HU. Aerodynamic interference of scissor tail rotor and influence of unconventional layout parameters[J]. Acta Aeronautica et Astronautica Sinica, 2025, 46(S1): 732181.
| [1] | XU G H, WANG S C, ZHAO J G. Experimental and analytical investigation on aerodynamic characteristics of helicopter scissors tail rotor[J]. Chinese Journal of Aeronautics, 2001, 14(4): 193-199. |
| [2] | XU G H, ZHAO Q J, PENG Y H. Study on the induced velocity and noise characteristics of a scissors rotor[J]. Journal of Aircraft, 2007, 44(3): 806-811. |
| [3] | 李志彬, 孙伟, 张羽霓, 等. 剪刀式尾桨侧滑状态气动力及噪声特性计算[J]. 北京航空航天大学学报, 2024, 50(12): 3794-3805. |
| LI Z B, SUN W, ZHANG Y N, et al. Computation on aerodynamic and aeroacoustic characteristics of scissor tail-rotor under sideslip condition[J]. Journal of Beijing University of Aeronautics and Astronautics, 2024, 50(12): 3794-3805 (in Chinese). | |
| [4] | 李志彬, 杨永飞, 孙伟, 等. 剪刀式尾桨前飞状态气动噪声特性计算[J]. 航空动力学报, 2022, 37(12): 2691-2706. |
| LI Z B, YANG Y F, SUN W, et al. Computation on aeroacoustic characteristics of scissors tail-rotor in forward flight[J]. Journal of Aerospace Power, 2022, 37(12): 2691-2706 (in Chinese). | |
| [5] | 樊枫, 史勇杰, 徐国华. 剪刀式尾桨悬停状态气动力及噪声特性计算研究[J]. 航空学报, 2013, 34(9): 2100-2109. |
| FAN F, SHI Y J, XU G H. Computational research on areodynamic and aeroacoustic characteristics of scissors tail-rotor in hover[J]. Acta Aeronautica et Astronautica Sinica, 2013, 34(9): 2100-2109 (in Chinese). | |
| [6] | 樊枫, 徐国华, 史勇杰. 基于N-S方程的剪刀式尾桨前飞状态气动力计算研究[J]. 空气动力学学报, 2014, 32(4): 527-533. |
| FAN F, XU G H, SHI Y J. Computational research on aerodynamic forces of scissors tail-rotor in forward flight based on the N-S equations[J]. Acta Aerodynamica Sinica, 2014, 32(4): 527-533 (in Chinese). | |
| [7] | 朱正, 招启军, 王博. 剪刀式尾桨涡流干扰机理和气动特性研究[J]. 力学学报, 2016, 48(4): 886-896. |
| ZHU Z, ZHAO Q J, WANG B. Studies on vortex interaction mechanism and aerodynamic characteristic of scissors tail rotor[J]. Chinese Journal of Theoretical and Applied Mechanics, 2016, 48(4): 886-896 (in Chinese). | |
| [8] | 陈丝雨, 招启军, 范俊, 等. 悬停状态剪刀式尾桨气动/噪声特性优化分析[J]. 航空动力学报, 2019, 34(5): 1050-1060. |
| CHEN S Y, ZHAO Q J, FAN J, et al. Optimization analysis for aerodynamic noise characteristics of scissors tail rotor in hover[J]. Journal of Aerospace Power, 2019, 34(5): 1050-1060 (in Chinese). | |
| [9] | SPALART P, ALLMARAS S. A one-equation turbulence model for aerodynamic flows[C]∥30th Aerospace Sciences Meeting and Exhibit. Reston: AIAA, 1992. |
| [10] | VAN LEER B. Towards the ultimate conservative difference scheme[J]. Journal of Computational Physics, 1997, 135(2): 229-248. |
| [11] | YOON S, JAMESON A. Lower-upper symmetric-Gauss-seidel method for the Euler and Navier-Stokes equations[J]. AIAA Journal, 1988, 26(9): 1025-1026. |
| [12] | POTSDAM M A, STRAWN R C. CFD simulations of tiltrotor configurations in hover[J]. Journal of the American Helicopter Society, 2005, 50(1): 82-94. |
| [13] | THOMAS P D, MIDDLECOFF J F. Direct control of the grid point distribution in meshes generated by elliptic equations[J]. AIAA Journal, 1980, 18(6): 652-656. |
| [14] | ZHAO Q J, XU G H, ZHAO J G. New hybrid method for predicting the flowfields of helicopter rotors[J]. Journal of Aircraft, 2006, 43(2): 372-380. |
| [15] | WANG B, ZHAO Q J, XU G H, et al. Numerical analysis on noise of rotor with unconventional blade tips based on CFD/Kirchhoff method[J]. Chinese Journal of Aeronautics, 2013, 26(3): 572-582. |
| [16] | MEAKIN R. A new method for establishing intergrid communication among systems of overset grids[C]∥10th Computational Fluid Dynamics Conference. Reston: AIAA, 1991. |
| [17] | ZHAO Q J, XU G H, ZHAO J G. Numerical simulations of the unsteady flowfield of helicopter rotors on moving embedded grids[J]. Aerospace Science and Technology, 2005, 9(2): 117-124. |
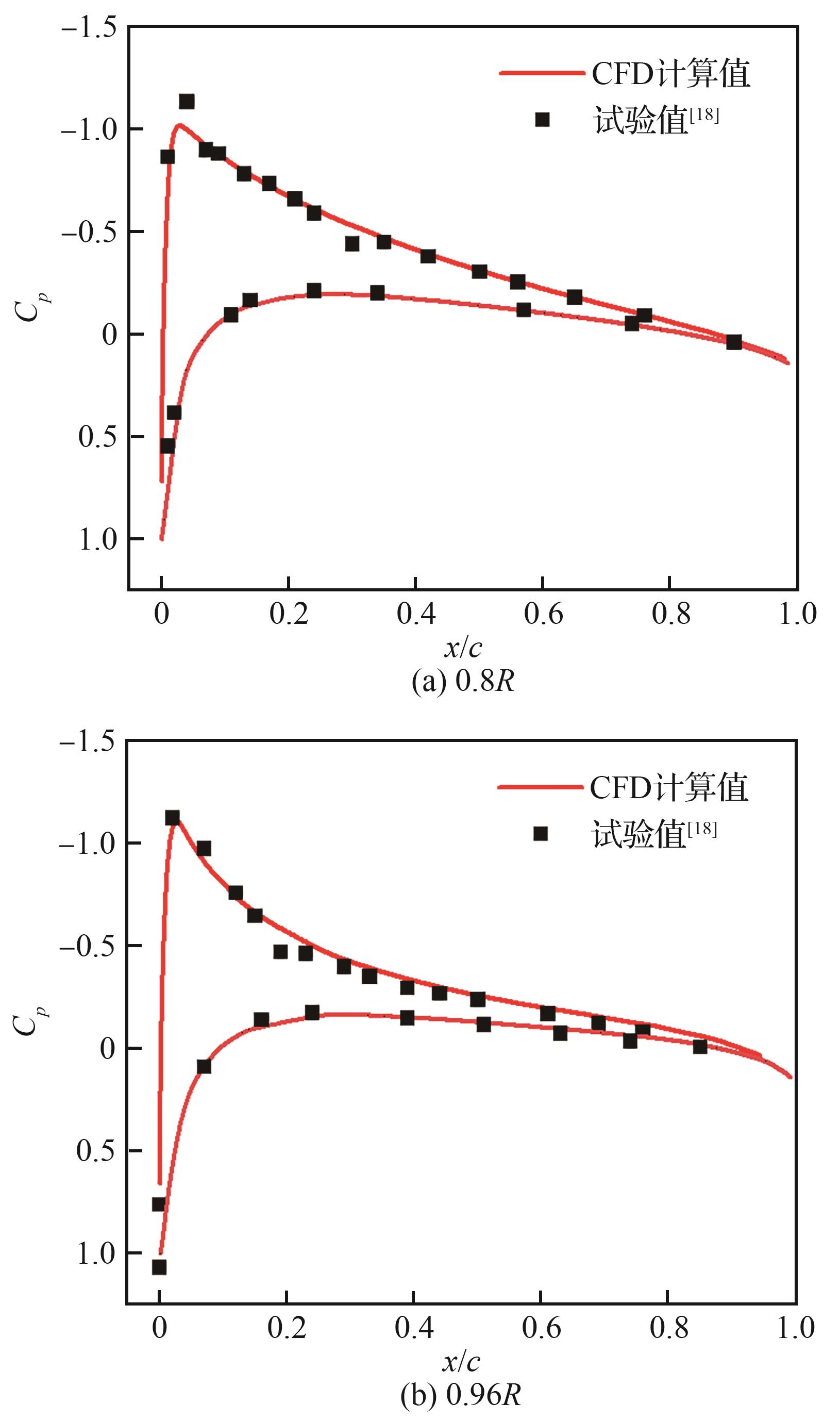
| [18] | CARADONNA F X, TUNG C. Experimental and analytical studies of a model helicopter rotor in hover[C]∥European Rotorcraft and Powered Lift Aircraft Forum. 1981. |
| [19] | HARRINGTON R D. Full-scale-tunnel investigation of the static-thrust performance of a coaxial helicopter rotor: NACA-TN-2318[R]. Washington, D.C.: NACA, 1951. |
| [20] | QI H T, XU G H, LU C L, et al. A study of coaxial rotor aerodynamic interaction mechanism in hover with high-efficient trim model[J]. Aerospace Science and Technology, 2019, 84: 1116-1130. |
| [21] | LAKSHMINARAYAN V K, BAEDER J D. High-resolution computational investigation of trimmed coaxial rotor aerodynamics in hover[J]. Journal of the American Helicopter Society, 2009, 54(4): 042008. |
| [22] | LAKSHMINARAYAN V K, BAEDER J D. Computational investigation of microscale coaxial-rotor aerodynamics in hover[J]. Journal of Aircraft, 2010, 47(3): 940-955. |
| [23] | 卢丛玲, 史勇杰, 徐国华, 等. 共轴刚性旋翼悬停状态气动干扰机理[J]. 南京航空航天大学学报, 2019, 51(2): 201-207. |
| LU C L, SHI Y J, XU G H, et al. Research on aerodynamic interaction mechanism of rigid coaxial rotor in hover[J]. Journal of Nanjing University of Aeronautics & Astronautics, 2019, 51(2): 201-207 (in Chinese). | |
| [24] | YUAN X, BIAN W, ZHAO Q J, et al. Numerical investigation of aerodynamic interactions for the coaxial rotor system in low-speed forward flight[J]. Aerospace Science and Technology, 2024, 149: 109148. |
| [1] | Lingling CHEN, Yang ZHANG, Yongqiang SHI, Qingzhen YANG. Film cooling performance/nozzle performance/infrared radiation characteristics of a vector nozzle [J]. Acta Aeronautica et Astronautica Sinica, 2025, 46(8): 631139-631139. |
| [2] | Yeping WANG, Honglei JI, Pan ZHOU, Yi YE. Fast analysis of aerodynamic interference for quad-tiltrotor based on vortex tube model [J]. Acta Aeronautica et Astronautica Sinica, 2025, 46(2): 130705-130705. |
| [3] | Yeping WANG, Honglei JI, Qingyu KANG, Haoxuan DENG, Chang WANG. Integration of multirotor aerodynamic interference in UAM flight dynamics model [J]. Acta Aeronautica et Astronautica Sinica, 2025, 46(11): 531280-531280. |
| [4] | He JIA, Wei JIANG, Wenlong BAO, Xin XU, Wei RONG, Li YU. Transonic/supersonic aerodynamic characteristics and fluid-structure interaction mechanism of flexible parachutes for planetary exploration [J]. Acta Aeronautica et Astronautica Sinica, 2025, 46(1): 630369-630369. |
| [5] | Dazhi SUN, Xi CHEN, Weicheng BAO, Wei BIAN, Qijun ZHAO. Interferences of high-speed helicopter fuselage on aerodynamic and aeroacoustic source characteristics of propeller [J]. Acta Aeronautica et Astronautica Sinica, 2024, 45(9): 529142-529142. |
| [6] | Yurou DAI, Jian LI, Xiaopeng XUE, Wei RONG. Aerodynamic characteristics of supersonic disk-gap-band parachute with different reefing ways [J]. Acta Aeronautica et Astronautica Sinica, 2024, 45(7): 128811-128811. |
| [7] | Bin LI, Zenan ZHANG, Fei JIA, Jian SUN, Yanju LIU, Jinsong LENG. Research status and development trend of morphing wingtip technology [J]. Acta Aeronautica et Astronautica Sinica, 2024, 45(19): 30042-030042. |
| [8] | Yihui HAN, Jun HU, Yong YU, Jianqiao YU. Wind tunnel experimental verification of aerodynamic control force of cross⁃shaped flexible control surface [J]. Acta Aeronautica et Astronautica Sinica, 2024, 45(13): 129280-129280. |
| [9] | Siyuan CHANG, Yao XIAO, Guangli LI, Zhongwei TIAN, Kaikai ZHANG, Kai CUI. Effect of wing dihedral and anhedral angles on hypersonic aerodynamic characteristics of high-pressure capturing wing configuration [J]. ACTA AERONAUTICAET ASTRONAUTICA SINICA, 2023, 44(8): 127349-127349. |
| [10] | Wenlong BAO, He JIA, Xiaopeng XUE, Xuejiao HUANG, Shuyi GAO, Wei RONG, Qi WANG, Zhuangzhi WU. Influence of ‘windows’ structure on inflation process of ringsail parachute [J]. ACTA AERONAUTICAET ASTRONAUTICA SINICA, 2023, 44(5): 226936-226936. |
| [11] | Lei HE, Weiqi QIAN, Kangsheng DONG, Xian YI, Congcong CHAI. Aerodynamic characteristics modeling of iced airfoil based on convolution neural networks [J]. ACTA AERONAUTICAET ASTRONAUTICA SINICA, 2023, 44(5): 126434-126434. |
| [12] | Yue WANG, Yunpeng WANG, Chun WANG, Zonglin JIANG. Numerical study of longitudinal stage separation for parallel-staged two-stage-to-orbit vehicle [J]. ACTA AERONAUTICAET ASTRONAUTICA SINICA, 2023, 44(11): 127634-127634. |
| [13] | ZHOU Wei, MA Peiyang, GUO Zheng, WANG Daoping, ZHOU Ruisun. Research of combined fixed-wing UAV based on wingtip chained [J]. ACTA AERONAUTICAET ASTRONAUTICA SINICA, 2022, 43(9): 325946-325946. |
| [14] | AN Liping, WANG Hao, WANG Yangang, ZHU Zihuan. Wet compression performance and flow characteristics of transonic compressor [J]. ACTA AERONAUTICAET ASTRONAUTICA SINICA, 2022, 43(9): 126024-126024. |
| [15] | WU Qiang, XU Haojun, WEI Yang, PEI Binbin, XUE Yuan. Aerodynamics/flight dynamics coupling characteristics of aircraft under icing conditions [J]. ACTA AERONAUTICAET ASTRONAUTICA SINICA, 2022, 43(8): 125566-125566. |
| Viewed | ||||||
|
Full text |
|
|||||
|
Abstract |
|
|||||
Address: No.238, Baiyan Buiding, Beisihuan Zhonglu Road, Haidian District, Beijing, China
Postal code : 100083
E-mail:hkxb@buaa.edu.cn
Total visits: 6658907 Today visits: 1341All copyright © editorial office of Chinese Journal of Aeronautics
All copyright © editorial office of Chinese Journal of Aeronautics
Total visits: 6658907 Today visits: 1341

