李六南1, 屈骁1(
), 张燕峰2,3, 卢新根2,3, 朱俊强2,3
收稿日期:2025-06-09
修回日期:2025-07-25
接受日期:2025-08-25
出版日期:2025-09-08
发布日期:2025-09-05
通讯作者:
屈骁
E-mail:quxiao@bit.edu.cn
基金资助:
Liunan LI1, Xiao QU1(
), Yanfeng ZHANG2,3, Xingen LU2,3, Junqiang ZHU2,3
Received:2025-06-09
Revised:2025-07-25
Accepted:2025-08-25
Online:2025-09-08
Published:2025-09-05
Contact:
Xiao QU
E-mail:quxiao@bit.edu.cn
Supported by:摘要:
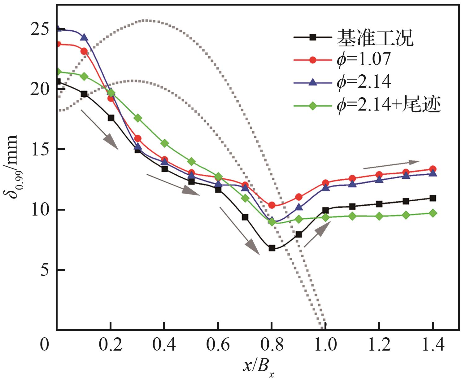
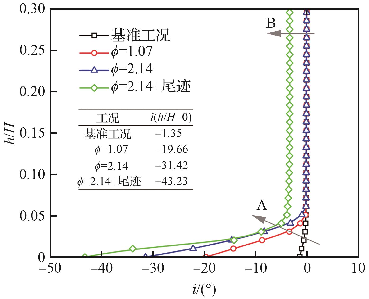
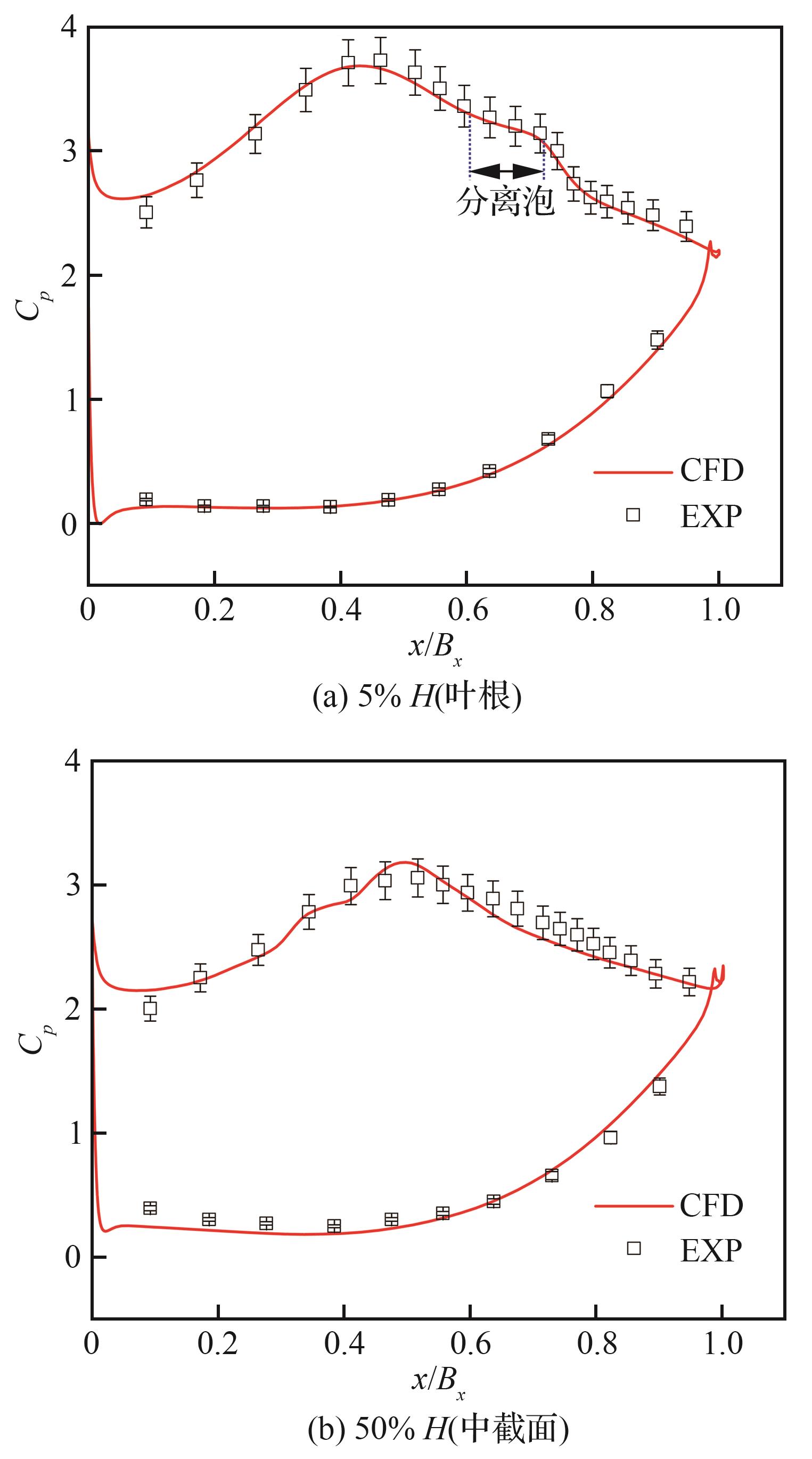
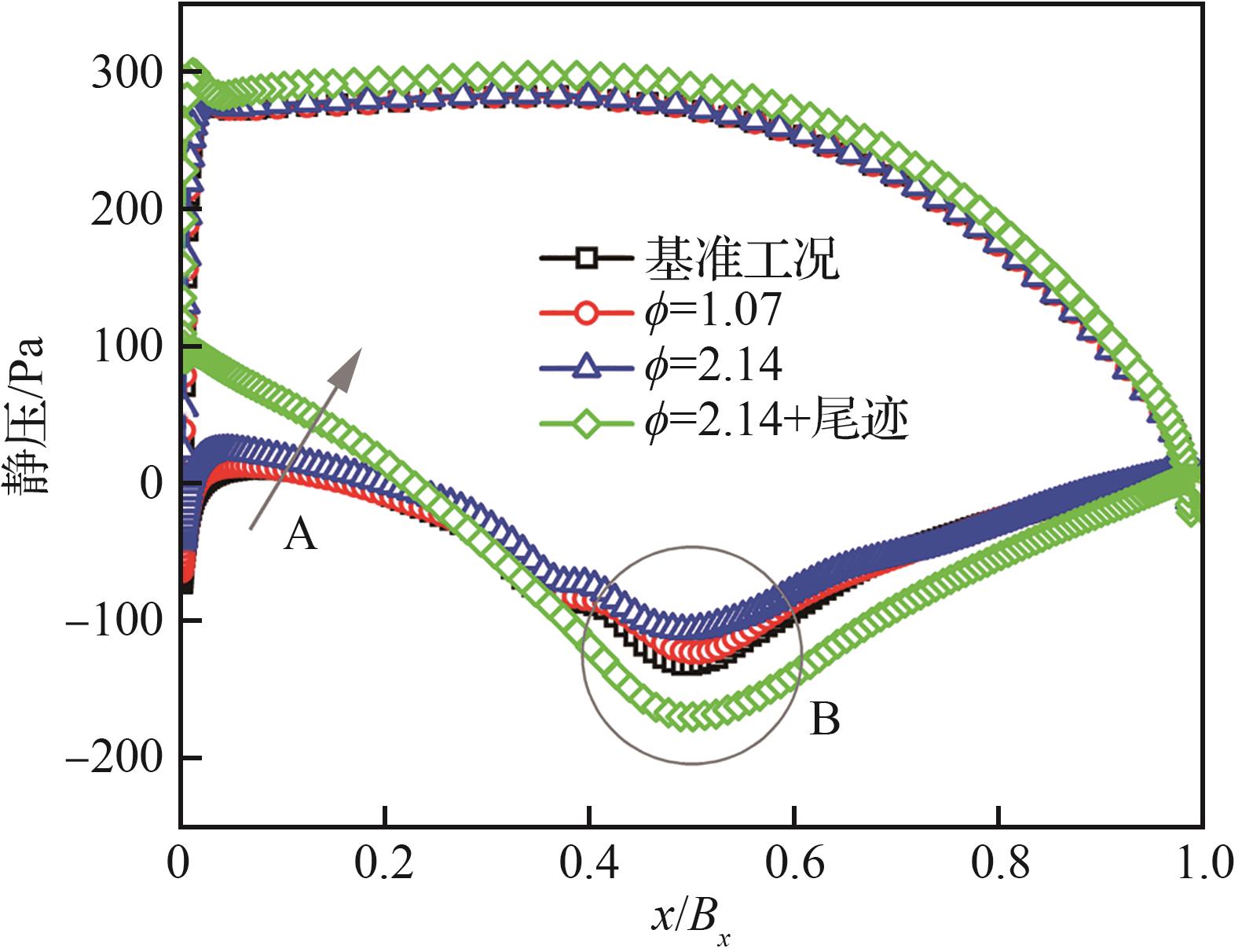
转静干涉导致的进口边界层扭曲对高负荷低压涡轮端区二次流的发展具有重要影响。针对民用涡扇发动机高负荷低压涡轮,借助试验和数值模拟相结合的方法,开展了尾迹扫掠下进口边界层扭曲对轮毂端区二次流发展演化的影响机制研究,并量化了上游尾迹、边界层扭曲分别对端区二次流影响的权重占比。结果表明,在进口雷诺数为1×105、湍流度为2.5%的条件下,端区边界层扭曲通过增强端区流体与主流之间的剪切层不稳定性和削弱叶栅通道内的横向压差,减小端区二次流,降低流动损失。随着旋转端壁转速的增加,端区边界层扭曲加剧,这导致了前缘边界层增厚,促进端区二次流发展,增加流动损失。上游尾迹将进一步促进剪切层失稳,使得端区二次流减弱,但尾迹的掺混耗散对低压涡轮整体气动性能带来了负面影响。在栅后40%轴向弦长位置处,边界层扭曲使流动损失较基准工况减少3.45%左右,而边界层扭曲的加剧使流动损失增加近6.25%,上游尾迹的掺混耗散使流动损失进一步增加约10.08%。
中图分类号:
李六南, 屈骁, 张燕峰, 卢新根, 朱俊强. 端区边界层扭曲对高负荷涡轮二次流的影响[J]. 航空学报, 2026, 47(5): 132394.
Liunan LI, Xiao QU, Yanfeng ZHANG, Xingen LU, Junqiang ZHU. Effect of end zone boundary layer skew on secondary flow in high-lift turbine[J]. Acta Aeronautica et Astronautica Sinica, 2026, 47(5): 132394.
| [1] | HOWELL R J, HODSON H P, SCHULTE V, et al. Boundary layer development in the BR710 and BR715 LP turbines: The implementation of high-lift and ultra-high-lift concepts[J]. Journal of Turbomachinery, 2002, 124(3): 385-392. |
| [2] | CURTIS E M, HODSON H P, BANIEGHBAL M R, et al. Development of blade profiles for low-pressure turbine applications[J]. Journal of Turbomachinery, 1997, 119(3): 531-538. |
| [3] | VOLINO R J, IBRAHIM M B. Separation control on high lift low-pressure turbine airfoils using pulsed vortex generator jets[J]. Applied Thermal Engineering, 2012, 49: 31-40. |
| [4] | ZHANG W H, ZOU Z P, QI L, et al. Effects of freestream turbulence on separated boundary layer in a low-Re high-lift LP turbine blade[J]. Computers & Fluids, 2015, 109: 1-12. |
| [5] | 罗佳奇, 傅文豪, 曾先, 等. 雷诺数对高负荷低压涡轮叶栅流动损失的不确定性影响[J]. 航空学报, 2022, 43(7): 125427. |
| LUO J Q, FU W H, ZENG X, et al. Uncertainty impact of Reynolds number on flow losses of high-lift low-pressure turbine cascade[J]. Acta Aeronautica et Astronautica Sinica, 2022, 43(7): 125427 (in Chinese). | |
| [6] | GREGORY-SMITH D G, CLEAK J G E. Secondary flow measurements in a turbine cascade with high inlet turbulence[J]. Journal of Turbomachinery, 1992, 114(1): 173-183. |
| [7] | QU X, ZHANG Y F, LU X G, et al. Effects of periodic wakes on the endwall secondary flow in high-lift low-pressure turbine cascades at low Reynolds numbers[J]. Proceedings of the Institution of Mechanical Engineers, Part G: Journal of Aerospace Engineering, 2019, 233(1): 354-368. |
| [8] | 朱志豪, 隋秀明, 浦健, 等. 多级无导叶对转涡轮尾迹/激波转转级间非定常干涉对叶片气动载荷的影响[J]. 航空学报, 2024, 45(24): 630582. |
| ZHU Z H, SUI X M, PU J, et al. Aerodynamic load of multistage vaneless counterrotating turbine under wake/shock rotor/rotor interactions[J]. Acta Aeronautica et Astronautica Sinica, 2024, 45(24): 630582 (in Chinese). | |
| [9] | CUI J H, NAGABHUSHANA RAO V, TUCKER P. Numerical investigation of contrasting flow physics in different zones of a high-lift low-pressure turbine blade[J]. Journal of Turbomachinery, 2016, 138: 011003. |
| [10] | 刘俊, 杨党国, 王显圣, 等. 湍流边界层厚度对三维空腔流动的影响[J]. 航空学报, 2016, 37(2): 475-483. |
| LIU J, YANG D G, WANG X S, et al. Effect of turbulent boundary layer thickness on a three-dimensional cavity flow[J]. Acta Aeronautica et Astronautica Sinica, 2016, 37(2): 475-483 (in Chinese). | |
| [11] | GLOERFELT X, CINNELLA P. High-fidelity investigation of vortex shedding from a highly loaded turbine blade[J]. Journal of Turbomachinery, 2025, 147(9): 091009. |
| [12] | LEGGETT J, ZHAO Y M, SANDBERG R D. High-fidelity simulation study of the unsteady flow effects on high-pressure turbine blade performance[J]. Journal of Turbomachinery, 2023, 145(1): 011002. |
| [13] | MOORE R W, RICHARDSON D L. Skewed boundary-layer flow near the end walls of a compressor cascade[J]. Journal of Fluids Engineering, 1957, 79(8): 1789-1797. |
| [14] | CARRICK H B. Secondary flows and losses in turbine cascades with inlet skew[D]. Cambridge: University of Cambridge, 1975. |
| [15] | BINDON J P. The effect of hub inlet boundary layer skewing on the endwall shear flow in an annular turbine cascade[R].New York: ASME, 1979. |
| [16] | WALSH J A, GREGORY-SMITH D G. Inlet skew and the growth of secondary losses and vorticity in a turbine cascade[J]. Journal of Turbomachinery, 1990, 112(4): 633-642. |
| [17] | WALSH J A. Flows and inlet skew in axial flow turbine cascades[D]. Durham: Durham University, 1987. |
| [18] | DEMARGNE A A J, LONGLEY J P. The aerodynamic interaction of stator shroud leakage and mainstream flows in compressors[R]. New York: ASME, 2000. |
| [19] | BÖHLE M, STARK U. A numerical investigation of the effect of end-wall boundary layer skew on the aerodynamic performance of a low aspect ratio, high turning compressor cascade[R]. New York: ASME, 2009: 555-564. |
| [20] | LI X J, CHU W L, WU Y H. Numerical investigation of inlet boundary layer skew in axial-flow compressor cascade and the corresponding non-axisymmetric end wall profiling[J]. Proceedings of the Institution of Mechanical Engineers, Part A: Journal of Power and Energy, 2014, 228(6): 638-656. |
| [21] | BLANCO D L R. Secondary flows in low-pressure turbines[D]. Cambridge: Cambridge University Engineering Department, 2004. |
| [22] | GHOSH K, GOLDSTEIN R J. Effect of inlet skew on heat/mass transfer from a simulated turbine blade[J]. Journal of Turbomachinery, 2012, 134(5): 051042. |
| [23] | HILGERT M, BOHLE M. A CFD-based investigation of boundary layer skew in the hub region of a low speed axial compressor and its influence on performance and losses[R]. New York: ASME, 2009: 2125-2130. |
| [24] | BAUM O, KOSCHICHOW D, FRÖHLICH J. Influence of the Coriolis force on the flow in a low pressure turbine cascade T106[R]. New York: ASME, 2016: V02BT38A044. |
| [25] | VENTOSA-MOLINA J, LANGE M, MAILACH R, et al. Study of relative endwall motion effects in a compressor cascade through direct numerical simulations[J]. Journal of Turbomachinery, 2021, 143(1): 011005. |
| [26] | VENTOSA-MOLINA J, KOPPE B, LANGE M, et al. Effects of rotation on the flow structure in a compressor cascade[J]. Journal of Turbomachinery, 2022, 144(8): 081006. |
| [27] | SU X R, BIAN X T, LI H, et al. Unsteady flows of a highly loaded turbine blade with flat endwall and contoured endwall[J]. Aerospace Science and Technology, 2021, 118: 106989. |
| [28] | ROBISON Z, GROSS A. Comparative numerical investigation of wake effect on low-pressure turbine endwall flow[J]. Aerospace Science and Technology, 2022, 131: 107970. |
| [29] | QU X, ZHANG Y F, LU X G, et al. Unsteady wakes-secondary flow interactions in a high-lift low-pressure turbine cascade[J]. Chinese Journal of Aeronautics, 2020, 33(3): 879-892. |
| [30] | QU X, ZHANG Y F, LU X G, et al. Unsteady effects of periodic wake passing frequency on aerodynamic performance of ultra-high-lift low pressure turbine cascades[J]. Physics of Fluids, 2019, 31(9): 094302. |
| [31] | 李会, 黄通, 苏欣荣, 等. 基于DDES模拟的叶顶泄漏流与尾迹非定常干涉机理[J]. 航空学报, 2023, 44(14): 628325. |
| LI H, HUANG T, SU X R, et al. DDES analysis of unsteady characteristics of interaction between tip leakage flow and wake[J]. Acta Aeronautica et Astronautica Sinica, 2023, 44(14): 628325 (in Chinese). | |
| [32] | 向康深, 陈伟杰, 连健欣, 等. 弯曲/倾斜静叶对涡轮单音噪声影响的数值分析[J]. 航空学报, 2024, 45(10): 129366. |
| XIANG K S, CHEN W J, LIAN J X, et al. Numerical analysis of effect of bend/lean stator on turbine tonal noise[J]. Acta Aeronautica et Astronautica Sinica, 2024, 45(10): 129366 (in Chinese). | |
| [33] | 孙爽, 张哲瑜, 左灿林, 等. 尾迹对低压涡轮端区非定常流动影响的数值研究[J]. 推进技术, 2022, 43(1): 144-151. |
| SUN S, ZHANG Z Y, ZUO C L, et al. Numerical investigation of wakes on endwall unsteady flow inside low pressure turbine[J]. Journal of Propulsion Technology, 2022, 43(1): 144-151 (in Chinese). | |
| [34] | 曹惠玲, 左灿林. 周期性尾迹对涡轮端区二次流强度影响[J]. 科学技术与工程, 2021, 21(32): 13980-13985. |
| CAO H L, ZUO C L. Influence of wakes on turbine endwall secondary flow[J]. Science Technology and Engineering, 2021, 21(32): 13980-13985 (in Chinese). | |
| [35] | JOHANSEN E S, REDINIOTIS O K, JONES G. The compressible calibration of miniature multi-hole probes[J]. Journal of Fluids Engineering, 2001, 123(1): 128-138. |
| [36] | TAKAHASHI T, TAKAHASHI T. Measurement of air flow characteristics using seven hole cone probes: AIAA-1997-600[R]. Reston: AIAA, 1997. |
| [37] | 吴吉昌, 李成勤, 朱俊强. 七孔探针及其在叶栅二次流动测量中的应用[J]. 航空动力学报, 2011, 26(8): 1879-1886. |
| WU J C, LI C Q, ZHU J Q. Seven-hole probe and its application in the secondary flow for a high-load compressor cascade[J]. Journal of Aerospace Power, 2011, 26(8): 1879-1886 (in Chinese). | |
| [38] | GROSS A, MARKS C R, SONDERGAARD R. Numerical investigation of low-pressure turbine junction flow[J]. AIAA Journal, 2017, 55(10): 3617-3621. |
| [39] | 陈大为, 朱惠人, 李华太, 等. 尾迹对涡轮动叶全表面气膜冷却效率的影响[J]. 航空学报, 2019, 40(3): 122651. |
| CHEN D W, ZHU H R, LI H T, et al. Effect of unsteady wake on full coverage film cooling effectiveness for a turbine blade[J]. Acta Aeronautica et Astronautica Sinica, 2019, 40(3): 122651 (in Chinese). | |
| [40] | QU X, LI L N, ZHANG Y J, et al. Controlling secondary flow in high-lift low-pressure turbine using boundary-layer slot suction[J]. Chinese Journal of Aeronautics, 2024, 37(3): 21-33. |
| [41] | LOPES G. Aerodynamics of a high-speed low-pressure turbine cascade with unsteady wakes and purge flow [D]. Liege: Universite de Liege, 2024. |
| [42] | SPALART P R. Detached-eddy simulation[J]. Annual Review of Fluid Mechanics, 2009, 41: 181-202. |
| [43] | QU X, WU M, ZHANG Y F, et al. Unsteady interaction between purge flow and secondary flow in high-lift low-pressure turbine[J]. Journal of Turbomachinery, 2024, 146(11): 111005. |
| [44] | ZHANG Z Q, ZHANG Y J, DONG X, et al. Flow mechanism between purge flow and mainstream in different turbine rim seal configurations[J]. Chinese Journal of Aeronautics, 2020, 33(8): 2162-2175. |
| [45] | 李伟, 张波, 周敏, 等. 尾迹扫掠下超高负荷低压涡轮叶片附面层特性[J]. 航空动力学报, 2012, 27(1): 176-182. |
| LI W, ZHANG B, ZHOU M, et al. Boundary layer behaviors on an ultra-high-lift low-pressure turbine profile under unsteady wakes[J]. Journal of Aerospace Power, 2012, 27(1): 176-182 (in Chinese). | |
| [46] | 程剑锐, 施崇广, 瞿丽霞, 等. 二维弯曲激波/湍流边界层干扰流动理论建模[J]. 航空学报, 2022, 43(9): 125993. |
| CHENG J R, SHI C G, QU L X, et al. Theoretical model of 2D curved shock wave/turbulent boundary layer interaction[J]. Acta Aeronautica et Astronautica Sinica, 2022, 43(9): 125993 (in Chinese). | |
| [47] | 陆小革, 易仕和, 何霖, 等. 高分辨率激波/边界层干扰时间演化过程分析[J]. 航空学报, 2022, 43(1): 626147. |
| LU X G, YI S H, HE L, et al. Time evolution process of high resolution shock wave/turbulent boundary layer interaction[J]. Acta Aeronautica et Astronautica Sinica, 2022, 43(1): 626147 (in Chinese). | |
| [48] | WANG H P, OLSON S J, GOLDSTEIN R J, et al. Flow visualization in a linear turbine cascade of high performance turbine blades[J]. Journal of Turbomachinery, 1997, 119(1): 1-8. |
| [49] | 黄镜玮, 付维亮, 马国骏, 等. 受轮缘密封结构影响的1.5级涡轮封严流与主流的相互作用以及轮缘密封间流动干扰[J]. 航空学报, 2021, 42(7): 124549. |
| HUANG J W, FU W L, MA G J, et al. Interaction between 1.5-stage turbine rim seal purge flow and mainstream and flow interference between rim seals affected by rim seal structure[J]. Acta Aeronautica et Astronautica Sinica, 2021, 42(7): 124549 (in Chinese). |
| [1] | 韩少强, 宋文萍, 韩忠华, 许建华. 高速共轴刚性旋翼非定常流动高精度数值模拟[J]. 航空学报, 2024, 45(9): 529064-529064. |
| [2] | 朱志豪, 隋秀明, 浦健, 郝龙, 赵巍, 赵庆军. 多级无导叶对转涡轮尾迹/激波转转级间非定常干涉对叶片气动载荷的影响[J]. 航空学报, 2024, 45(24): 630582-630582. |
| [3] | 汪松柏, 郝玉扬, 吴亚东, 陈勇, 余华蔚, 杜林. 航空发动机压气机旋转不稳定现象研究进展[J]. 航空学报, 2024, 45(16): 29851-029851. |
| [4] | 王方剑, 解克, 刘金, 宋玉辉, 秦汉, 陈兰. 小展弦比飞翼标模非定常流动及自由摇滚特性[J]. 航空学报, 2023, 44(4): 126449-126449. |
| [5] | 李概奇, 马东阳, 李杜, 刘少戎, 杨艳美. 新研民用涡轴发动机起飞状态喘振试验[J]. 航空学报, 2023, 44(14): 628190-628190. |
| [6] | 赵红亮, 张文强, 邱佳慧, 张敏, 杜娟, 聂超群. 总温畸变下跨声压气机失速过程非定常模拟[J]. 航空学报, 2023, 44(14): 628319-628319. |
| [7] | 刘晓东, 刘朋欣, 李辰, 孙东, 袁先旭. 高焓激波/湍流边界层干扰直接数值模拟[J]. 航空学报, 2023, 44(13): 127832-127832. |
| [8] | 王粤, 汪运鹏, 王春, 姜宗林. 一种并联两级入轨飞行器纵向分离方案的数值研究[J]. 航空学报, 2023, 44(11): 127634-127634. |
| [9] | 徐欣, 贾贺, 陈雅倩, 荣伟, 蒋伟, 薛晓鹏. 织物透气性对火星用降落伞气动特性影响机理[J]. 航空学报, 2022, 43(12): 126289-126289. |
| [10] | 王宏宇, 杨彦广, 胡伟波, 陈植, 冯黎明, 周游天. 高频微秒脉冲放电控制激波/边界层干扰非定常性的实验研究[J]. 航空学报, 2022, 43(1): 625905-625905. |
| [11] | 沈鹏飞, 刘朋欣, 孙东, 袁先旭. 马赫6柱-裙构型激波/湍流边界层干扰摩阻统计特性[J]. 航空学报, 2022, 43(1): 626005-626005. |
| [12] | 王德鑫, 褚佑彪, 刘难生, 李祝飞, 杨基明. 高背压进气道中内外流耦合作用的大涡模拟[J]. 航空学报, 2021, 42(9): 625754-625754. |
| [13] | 常思源, 白晓征, 刘君. 一种基于聚类分析的二维激波模式识别算法[J]. 航空学报, 2020, 41(8): 123626-123626. |
| [14] | 陈浩, 袁先旭, 毕林, 华如豪, 司芳芳, 唐志共. 基于RANS/LES混合方法的分离流动模拟[J]. 航空学报, 2020, 41(8): 123642-123642. |
| [15] | 钟敏, 华俊, 郑遂, 白俊强, 孙卫平, 黄领才. 大型水陆两栖飞机侧风起降的滑流影响分析[J]. 航空学报, 2019, 40(1): 522372-522372. |
| 阅读次数 | ||||||
|
全文 |
|
|||||
|
摘要 |
|
|||||
版权所有 © 航空学报编辑部
版权所有 © 2011航空学报杂志社
主管单位:中国科学技术协会 主办单位:中国航空学会 北京航空航天大学

