航空学报 > 2025, Vol. 46 Issue (4): 330932-330932   doi: 10.7527/S1000-6893.2024.30932

面向集群卫星分布式定时组网的协同编队技术

张志成1,2, 周媛3, 赵宇3, 包为民4()   

  1. 1.中国航天科技创新研究院,北京 100871
    2.北京大学 工学院,北京 100176
    3.西北工业大学 自动化学院,西安 710129
    4.中国航天科技集团有限公司 科学技术委员会,北京 100048
  • 收稿日期:2024-07-11 修回日期:2024-08-21 接受日期:2024-09-04 出版日期:2024-09-26 发布日期:2024-09-18
  • 通讯作者: 包为民 E-mail:baoweimin@cashq.ac.cn

Cooperative formation control for multi-satellite system applied to distributed prescribed-time networking

Zhicheng ZHANG1,2, Yuan ZHOU3, Yu ZHAO3, Weimin BAO4()   

  1. 1.China Academy of Aerospace Science and Innovation,Beijing 100871,China
    2.College of Engineering,Peking University,Beijing 100176,China
    3.School of Automation,Northwestern Polytechnical University,Xi’an 710129,China
    4.Corporation Science and Technology Committee,China Aerospace Science and Technology,Beijing 100048,China
  • Received:2024-07-11 Revised:2024-08-21 Accepted:2024-09-04 Online:2024-09-26 Published:2024-09-18
  • Contact: Weimin BAO E-mail:baoweimin@cashq.ac.cn

摘要:

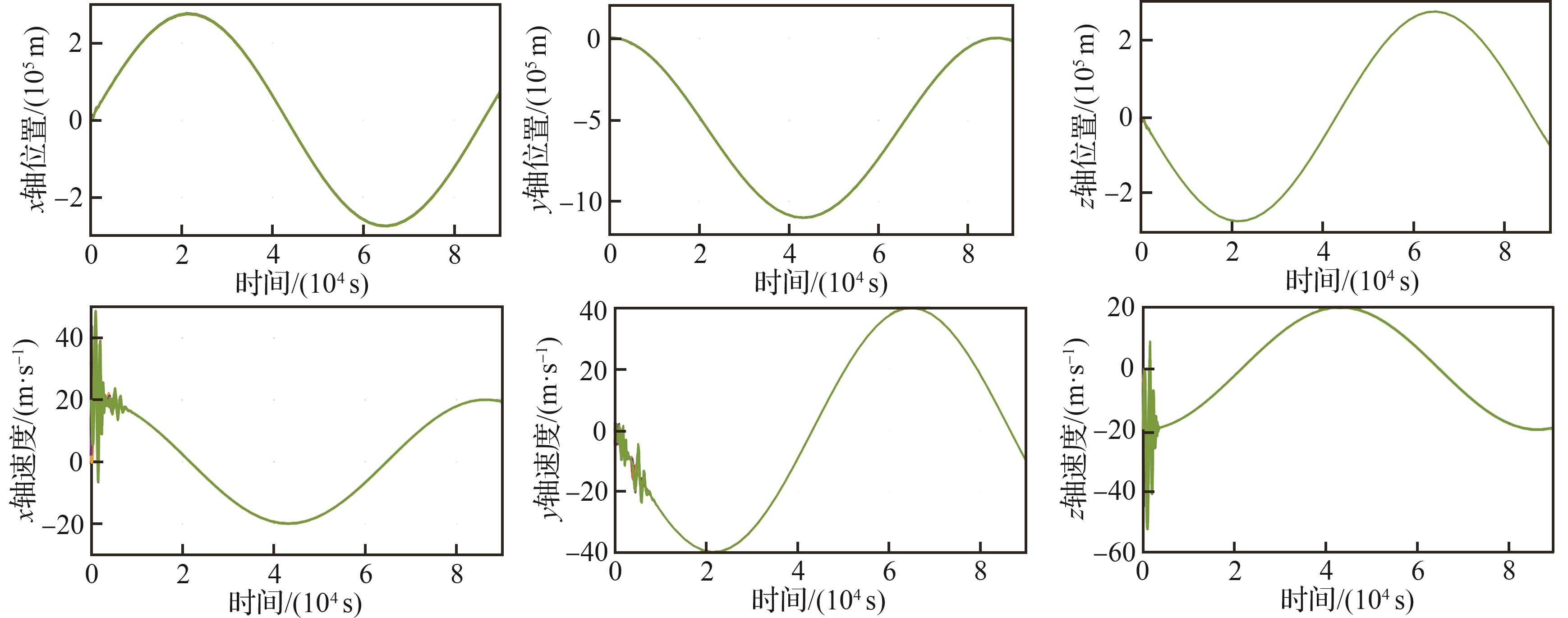
随着日趋增长的空间信息需求,卫星编队控制技术迅猛发展。传统的研究理论仅关注系统三维状态收敛特性,无法从时间维度对编队进行有效控制,而星间激光通讯技术对卫星编队形成的时效性和准确性提出了较高的要求。针对地球同步轨道运行的卫星系统预定时间编队控制问题,引入含参Lyapunov方程将预定时间控制转化为时变参数设计问题,提出了动态增益调节的编队策略和自适应编队策略。仿真结果表明,卫星系统可在任意预定时间内自主地实现编队构型建立、切换和保持,为实际工程中星间激光信号传输的稳定性提供了可靠保证。

关键词: 集群卫星系统, 星间激光建链, 编队控制, 预定时间组网, 自适应控制系统

Abstract:

With the increasing demand of space information, the formation control technology of multi-satellite system develops rapidly. The traditional research theory focuses only on three-dimensional state convergence characteristics of satellite system, which cannot effectively control the satellite formation from the time dimension. However, the inter-satellite laser communication technology puts forward higher requirements for the timeliness and accuracy of satellite system formation. Therefore, this paper studies the timing formation control problem for the satellite system in geosynchronous orbit. By introducing the parametric Lyapunov equation, the predetermined time problem is transformed into a time-varying parameter design problem, and the formation strategy of dynamic gain adjustment and adaptive formation strategy are proposed. The simulation results show that the cluster satellite system can independently establish, switch and maintain the formation configuration at any predetermined time, providing a reliable guarantee for the stability of inter-satellite laser signal transmission in practical engineering.

Key words: cluster satellite system, intersatellite laser communication, formation control, prescribed-time networking, adaptive control systems

中图分类号: