导航

Acta Aeronautica et Astronautica Sinica ›› 2025, Vol. 46 ›› Issue (15): 131534.doi: 10.7527/S1000-6893.2025.31534

• Fluid Mechanics and Flight Mechanics • Previous Articles    

Experiment on flow and windage heating characteristics of high-speed rotating labyrinth

Zhiwei WANG1, Tianheng ZHA2, Bowen LIU3, Yan CHEN1(), Aqiang LIN1, Gaowen LIU1   

  1. 1.School of Power and Energy,Northwestern Polytechnical University,Xi’an 710129,China
    2.AECC Commercial Aircraft Engine Co. ,Ltd. ,Shanghai 200241,China
    3.AECC Hunan Aviation Powerplant Research Institute,Zhuzhou 412002,China
    4.Shandong Zuoyao Intelligent Equipment Co. ,Ltd. ,Weihai 264300,China
  • Received:2024-11-14 Revised:2024-12-24 Accepted:2025-03-31 Online:2025-04-11 Published:2025-04-10
  • Contact: Yan CHEN E-mail:xjtu.chenyan@nwpu.edu.cn
  • Supported by:
    National Natural Science Foundation of China(52476091);Aeronautical Science Foundation of China(2024M070053001);China Postdoctoral Science Foundation(2025T181167);Taishan Industrial Experts Program

Abstract:

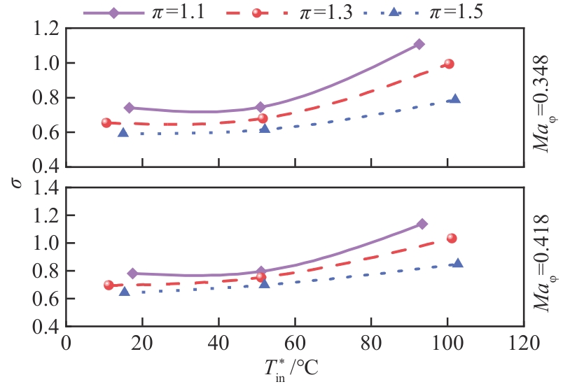
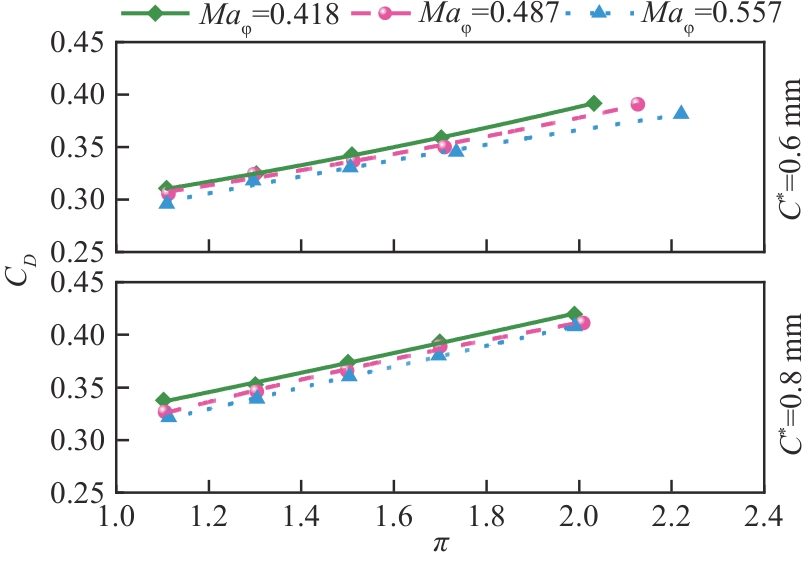
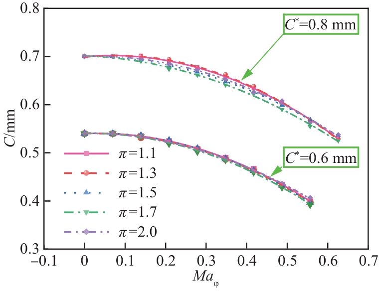
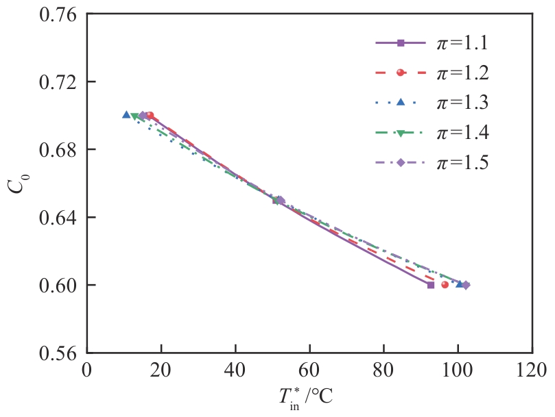
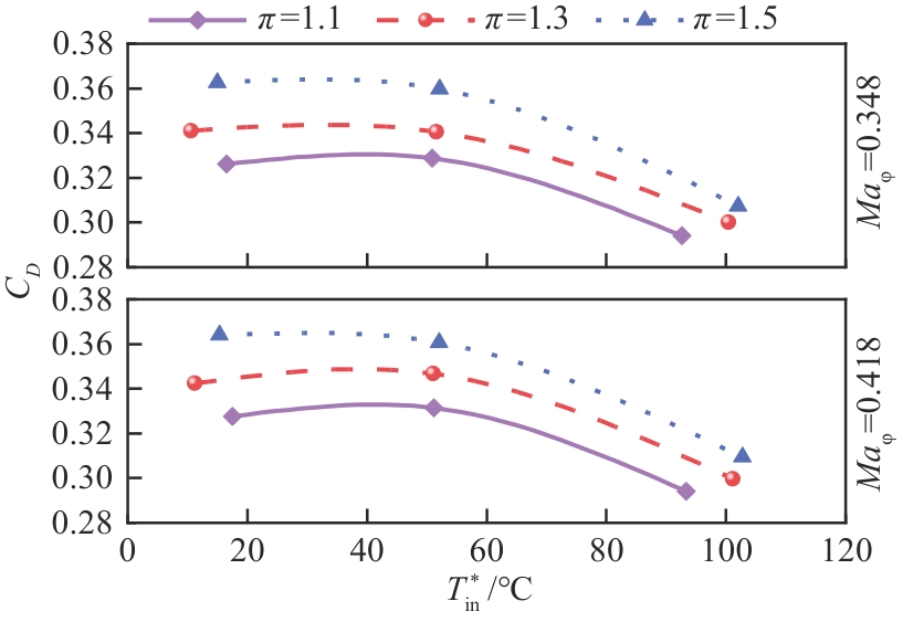
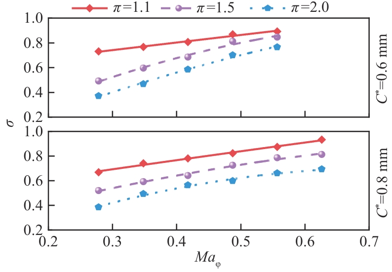
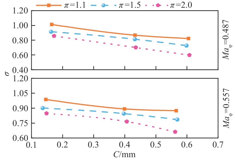
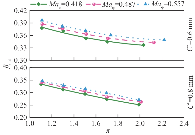
The performance of sealing labyrinth systems significantly impacts aero-engine efficiency and power consumption. a high-speed rotating test rig was designed and constructed. Based on the calibration of measurement parameters from instruments, this study investigates the effects of geometric and aerodynamic parameters, especially the incoming flow temperature, on the leakage, windage heating, and swirl flow characteristics of a typical stepped-slanted labyrinth seal. The influence mechanism of each parameter on sealing performance is quantitatively analyzed. Experimental results show that at rotating Mach numbers of 0 to 0.557 and pressure ratios of 1.1 to 2.0, the seal clearance increases from 0.17 mm to 0.61 mm, and discharge coefficient initially decreased and then increased. At a rotating Mach number of 0.348 and a pressure ratio of 1.1, increasing the inlet temperature from 16.5 °C to 100 °C results in a 49.4% increase in the windage heating coefficient. At a design clearance of 0.6 mm and a pressure ratio of 2.0, windage heating coefficient increases by 105.9%, from 0.371 to 0.764, as rotating Mach number increases. Concurrently, outlet swirl ratio exhibits a 14.8% increase. The discharge coefficient exhibits a linear increase with increasing pressure ratio, whereas windage heating coefficient and outlet swirl ratio both decrease as the pressure ratio increases. For a design clearance of 0.6 mm and a rotating Mach number of 0.418, increasing the pressure ratio from 1.1 to 2.0 results in a 26.5% increase in the discharge coefficient, while the windage heating coefficient and outlet swirl ratio decrease by 27.9% and 11.1%, respectively.

Key words: aero-engine, labyrinth seal, leakage characteristic, windage heating characteristic, swirl flow characteristic

CLC Number: