Acta Aeronautica et Astronautica Sinica ›› 2025, Vol. 46 ›› Issue (8): 331075.doi: 10.7527/S1000-6893.2024.31075
• Electronics and Electrical Engineering and Control • Previous Articles
Xin XU1, Liang LI1(
), Jiaxiang LI2, Jiachang JIANG1, Yilin WEI1
Received:2024-08-19
Revised:2024-10-31
Accepted:2024-11-18
Online:2024-12-06
Published:2024-12-05
Contact:
Liang LI
E-mail:liliang@hrbeu.edu.cn
Supported by:CLC Number:
Xin XU, Liang LI, Jiaxiang LI, Jiachang JIANG, Yilin WEI. JPALS reference receivers topology design for ionospheric gradient monitoring[J]. Acta Aeronautica et Astronautica Sinica, 2025, 46(8): 331075.
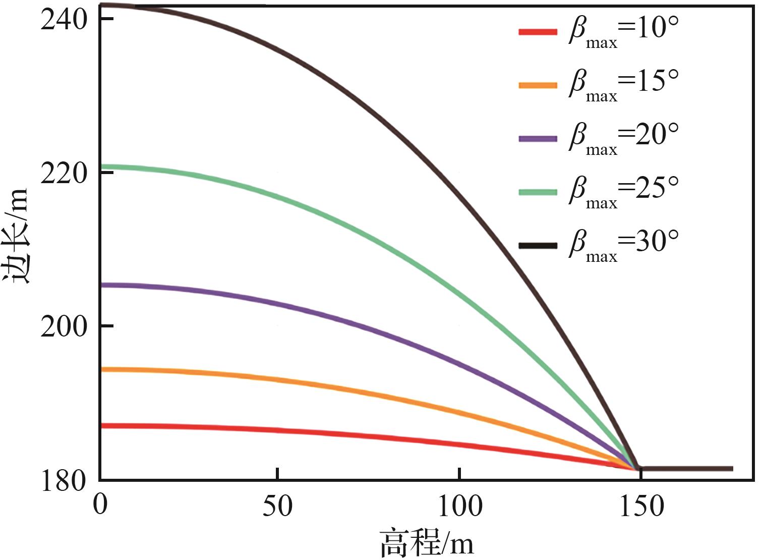
Table 2
Parameters of side length l of each reference receiver topology
| 参考接收机阵列构型 | l/m | ||||
|---|---|---|---|---|---|
| 姿态范围10° | 姿态范围15° | 姿态范围20° | 姿态范围25° | 姿态范围30° | |
| 平面正方形 | 132.50 | 138.00 | 145.50 | 156.50 | 171.50 |
| 平面“Y”型 | 187.00 | 194.31 | 205.30 | 220.72 | 241.80 |
| 次优空间型(h=10) | 186.94 | 194.26 | 205.20 | 220.56 | 241.60 |
| 次优空间型(h=20) | 186.86 | 194.10 | 204.90 | 220.07 | 240.90 |
| 次优空间型(h=30) | 186.74 | 193.80 | 204.40 | 219.30 | 240.00 |
| 1 | RIFE J, KHANAFSEH S, PULLEN S, et al. Navigation, interference suppression, and fault monitoring in the sea-based joint precision approach and landing system[J]. Proceedings of the IEEE, 2008, 96(12): 1958-1975. |
| 2 | LUNGU M H, CHEN M, VÎLCICĂ DINU D A. Backstepping- and sliding mode-based automatic carrier landing system with deck motion estimation and compensation[J]. Aerospace, 2022, 9(11): 644. |
| 3 | 于志同, 黄彦, 胡洛佳, 等. 面向极地航运的卫星观测技术发展研究[J]. 船舶, 2023, 34(1): 12-19. |
| YU Z T, HUANG Y, HU L J, et al. Research on the status and development trend of satellite observation technology for polar shipping[J]. Ship & Boat, 2023, 34(1): 12-19 (in Chinese). | |
| 4 | 王永庆. 固定翼舰载战斗机关键技术与未来发展[J]. 航空学报, 2021, 42(8): 525859. |
| WANG Y Q. Fixed-wing carrier-based aircraft: key technologies and future development[J]. Acta Aeronautica et Astronautica Sinica, 2021, 42(8): 525859 (in Chinese). | |
| 5 | PERVAN B, CHAN F C, GEBRE-EGZIABHER D, et al. Performance analysis of carrier-phase DGPS navigation for shipboard landing of aircraft[J]. Navigation, 2003, 50(3): 181-191. |
| 6 | 郭鹍, 陆玮, 王兴川, 等. 极地通信导航及探冰设备现状与发展[J]. 船舶, 2023, 34(1): 143-153. |
| GUO K, LU W, WANG X C, et al. State-of-the-art of polar navigation and ice exploration equipment[J]. Ship & Boat, 2023, 34(1): 143-153 (in Chinese). | |
| 7 | HAN H. Visual navigation method for carrier-based aircraft landing[J]. Journal of Physics: Conference Series, 2022, 2166(1): 012005. |
| 8 | 王官龙, 崔晓伟, 陆明泉. 北斗三频海基JPALS无故障导航算法[J]. 航空学报, 2017, 38(12): 321340. |
| WANG G L, CUI X W, LU M Q. Triple-frequency sea-based JPALS fault-free navigation algorithm for BDS[J]. Acta Aeronautica et Astronautica Sinica, 2017, 38(12): 321340 (in Chinese). | |
| 9 | SOKOLOVA N, MORRISON A, JACOBSEN K S. High latitude ionospheric gradient observation results from a multi-scale network[J]. Sensors, 2023, 23(4): 2062. |
| 10 | WANG Z P, LI T L, LI Q, et al. Impact of anomalous ionospheric gradients on GBAS in the low-latitude region of China[J]. GPS Solutions, 2020, 25(1): 2. |
| 11 | 程建华, 李家祥, 李亮, 等. 多参考地基增强系统电离层梯度完好性监测方法[J]. 中国惯性技术学报, 2021, 29(4): 467-474. |
| CHENG J H, LI J X, LI L, et al. Multi reference-based integrity monitoring of ionospheric gradient for ground based augmentation system[J]. Journal of Chinese Inertial Technology, 2021, 29(4): 467-474 (in Chinese). | |
| 12 | LI W, JIANG Y P. Risk overbounding for ionospheric gradient monitor using geometry-free double differenced carrier phase measurements[J]. GPS Solutions, 2024, 28(3): 128. |
| 13 | AFFONSO B J, MORAES A, SOUSASANTOS J, et al. Strong ionospheric spatial gradient events induced by signal propagation paths aligned with equatorial plasma bubbles[J]. IEEE Transactions on Aerospace and Electronic Systems, 2022, 58(4): 2868-2879. |
| 14 | JIANG Y P, SHAO J H. Code-carrier coherence monitoring for dual frequency SBAS[J]. Advances in Space Research, 2024, 74(2): 727-739. |
| 15 | BUDTHO J, SUPNITHI P, SAITO S. Single-frequency time-step ionospheric delay gradient estimation at low-latitude stations[J]. IEEE Access, 2020, 8: 201516-201526. |
| 16 | PATEL J, KHANAFSEH S, PERVAN B. Detecting hazardous spatial gradients at satellite acquisition in GBAS[J]. IEEE Transactions on Aerospace and Electronic Systems, 2020, 56(4): 3214-3230. |
| 17 | SHAHID K, GURFIL P. Carrier phase null space monitor for ionospheric gradient detection[J]. IEEE Transactions on Aerospace and Electronic Systems, 2014, 50(4): 3230-3243. |
| 18 | WANG Z P, YIN Y, SONG D, et al. Dual smoothing ionospheric gradient monitoring algorithm for dual-frequency BDS GBAS[J]. Chinese Journal of Aeronautics, 2020, 33(12): 3395-3404. |
| 19 | KHANAFSEH S, PULLEN S, WARBURTON J. Carrier phase ionospheric gradient ground monitor for GBAS with experimental validation[J]. Navigation, 2012, 59(1): 51-60. |
| 20 | 李家祥, 程建华, 李亮, 等. GBAS对流层异常完好性监测参数研究[J]. 航空学报, 2024, 45(7): 328817. |
| LI J X, CHENG J H, LI L, et al. Troposphere anomaly integrity monitoring parameters for GBAS[J]. Acta Aeronautica et Astronautica Sinica, 2024, 45(7): 328817 (in Chinese). | |
| 21 | LI J X, YIN H, CHENG J H, et al. A two-step non-nominal troposphere monitor for GBAS[J]. GPS Solutions, 2023, 27(4): 176. |
| 22 | LI L, LIU X S, JIA C, et al. Integrity monitoring of carrier phase-based ephemeris fault detection[J]. GPS Solutions, 2020, 24(2): 43. |
| 23 | 张悦, 王志鹏, 李强. GBAS基准站布设方案设计与评估方法[J]. 北京航空航天大学学报, 2018, 44(12): 2545-2555. |
| ZHANG Y, WANG Z P, LI Q. A design and evaluation strategy for GBAS reference station layout scheme[J]. Journal of Beijing University of Aeronautics and Astronautics, 2018, 44(12): 2545-2555 (in Chinese). | |
| 24 | JING J, KHANAFSEH S, LANGEL S, et al. Optimal antenna topologies for spatial gradient detection in differential GNSS[J]. Radio Science, 2015, 50(7): 728-743. |
| 25 | CHENG J H, LI J X, LI L, et al. Carrier phase-based ionospheric gradient monitor under the mixed Gaussian distribution[J]. Remote Sensing, 2020, 12(23): 3915. |
| 26 | 徐峰, 周心桃, 李德聪, 等. 国外典型航母目标特性探析[J]. 舰船科学技术, 2018, 40(17): 151-157. |
| XU F, ZHOU X T, LI D C, et al. Analysis of the target characteristics of foreign typical aircraft carrier[J]. Ship Science and Technology, 2018, 40(17): 151-157 (in Chinese). | |
| 27 | 喻思琪, 张小红, 郭斐, 等. 卫星导航进近技术进展[J]. 航空学报, 2019, 40(3): 022200. |
| YU S Q, ZHANG X H, GUO F, et al. Recent advances in precision approach based on GNSS[J]. Acta Aeronautica et Astronautica Sinica, 2019, 40(3): 022200 (in Chinese). | |
| 28 | 贾春, 赵琳, 李亮, 等. 改正接收机频间偏差的短基线北斗三频紧组合RTK方法[J]. 中国科学: 地球科学, 2020, 50(1): 90-103. |
| Jia C, Zhao L, Li L, et al. BDS triple-frequency tightly coupled short-baseline RTK method by calibrating the between-receiver inter-frequency biases[J]. Scientia Sinica Terrae, 2020, 50(1): 90-103 (in Chinese). | |
| 29 | WANG Y Y, ZHANG Y, XU D J, et al. A deformation measurement algorithm based on adaptive variable parameter multiple model for large ships[J]. IEEE Transactions on Instrumentation and Measurement, 2021, 70: 8504310. |
| 30 | PETOVELLO M G, O’KEEFE K, LACHAPELLE G, et al. Measuring aircraft carrier flexure in support of autonomous aircraft landings[J]. IEEE Transactions on Aerospace and Electronic Systems, 2009, 45(2): 523-535. |
| 31 | GIORGI G, HENKEL P. Ionospheric bias detection in carrier phase-only ground-based augmentation systems[J]. IEEE Transactions on Aerospace and Electronic Systems, 2015, 51(3): 1853-1866. |
| [1] | Baoshi YU, Yongjun LEI, Zhibin SHEN, Dapeng ZHANG. Review on analysis and control technology of curing residual stress in solid motor propellants [J]. Acta Aeronautica et Astronautica Sinica, 2025, 46(8): 31083-031083. |
| [2] | Jiaxiang LI, Jianhua CHENG, Liang LI, Zhibo NA, Chun JIA. Troposphere anomaly integrity monitoring parameters for GBAS [J]. Acta Aeronautica et Astronautica Sinica, 2024, 45(7): 328817-328817. |
| [3] | Yanyan LUO, Shuo YANG, Xiaosong PAN, Xuhuai ZHAO, Li ZHANG. Signal reflection suppression and optimized design of high⁃speed connectors for aerospace applications [J]. Acta Aeronautica et Astronautica Sinica, 2024, 45(7): 328937-328937. |
| [4] | Jing ZHAO, Dan SONG. Integrity monitoring method for GNSS/IMU integrated navigation system of UAV [J]. Acta Aeronautica et Astronautica Sinica, 2024, 45(7): 328943-328943. |
| [5] | Ruijie LI, Liang LI, Jiachang JIANG, Li CHENG, Liuqi WANG. RAIM integrity risk estimation method based on worst multi⁃satellite faults searching [J]. Acta Aeronautica et Astronautica Sinica, 2024, 45(2): 328684-328684. |
| [6] | Zhijie YU, Yupei GUO, Hanbin SUN, Jingnan ZHANG, Xiasheng SUN. Recent progress in structural integrity of novel materials and advanced techniques [J]. Acta Aeronautica et Astronautica Sinica, 2024, 45(18): 29888-029888. |
| [7] | Hongwei LI, Xuelin LEI, Chengcheng ZHANG, Chaozong TANG, Shenglong KANG, Yalong CHEN, Lyuyi CHENG, Xiancheng ZHANG. Optimization of process parameters for multi⁃annular convex hull rotating cold expansion and extrusion reinforcement of GH4169 high⁃temperature alloy hole structures [J]. Acta Aeronautica et Astronautica Sinica, 2024, 45(16): 429692-429692. |
| [8] | Xiangyu WANG, Jinhui WANG, Wenhao QIU, Jintao NIU, Xiuli FU, Yang QIAO. Material removal mechanism and surface integrity of cutting titanium aluminum alloy under different cooling conditions [J]. Acta Aeronautica et Astronautica Sinica, 2024, 45(13): 629471-629471. |
| [9] | Xiuhong LI, Xingfu WANG, Wenhui LI, Haibin CHEN, Shengqiang YANG. Research progress on precision and performance synergistic finishing for aerospace engine critical components [J]. Acta Aeronautica et Astronautica Sinica, 2024, 45(13): 629860-629860. |
| [10] | Jie ZHANG, Lin ZHAO, Fuxin YANG, Zhiguo SUN, Liang LI. PPP integrity monitoring algorithm for general-purpose navigation applications [J]. Acta Aeronautica et Astronautica Sinica, 2023, 44(13): 327904-327904. |
| [11] | YU Dalei, CUI Xining, LI Chengwen, LIU Tingting, ZHOU Yong. Multi-core computing and processing platform based on CPCIe high speed bus in airborne applications [J]. ACTA AERONAUTICAET ASTRONAUTICA SINICA, 2022, 43(5): 325238-325238. |
| [12] | PENG Zhenlong, ZHANG Xiangyu, ZHANG Deyuan. High-speed ultrasonic vibration cutting for difficult-to-machine materials in aerospace field [J]. ACTA AERONAUTICAET ASTRONAUTICA SINICA, 2022, 43(4): 525587-525587. |
| [13] | CUI Degang, BAO Rui, ZHANG Rui, LIU Binchao, OUYANG Tian. Development of aircraft structural fatigue and structural integrity: Review [J]. ACTA AERONAUTICAET ASTRONAUTICA SINICA, 2021, 42(5): 524394-524394. |
| [14] | SUN Xiasheng, SU Shaopu, SUN Hanbin, DONG Dengke. Current status and prospect of overseas research on aeronautical fatigue [J]. ACTA AERONAUTICAET ASTRONAUTICA SINICA, 2021, 42(5): 524791-524791. |
| [15] | ZHAO Bo, JIANG Yan, BIE Wenbo. Ultrasonic rolling technology in surface strengthening: Progress in research and applications [J]. ACTA AERONAUTICAET ASTRONAUTICA SINICA, 2020, 41(10): 23685-023685. |
| Viewed | ||||||
|
Full text |
|
|||||
|
Abstract |
|
|||||
Address: No.238, Baiyan Buiding, Beisihuan Zhonglu Road, Haidian District, Beijing, China
Postal code : 100083
E-mail:hkxb@buaa.edu.cn
Total visits: 6658907 Today visits: 1341All copyright © editorial office of Chinese Journal of Aeronautics
All copyright © editorial office of Chinese Journal of Aeronautics
Total visits: 6658907 Today visits: 1341

