导航

Acta Aeronautica et Astronautica Sinica ›› 2025, Vol. 46 ›› Issue (S1): 732224.doi: 10.7527/S1000-6893.2025.32224

• Excellent Papers of the 2nd Aerospace Frontiers Conference/the 27th Annual Meeting of the China Association for Science and Technology • Previous Articles    

Aerodynamic influence study of ducted tail rotor geometry and configuration parameters

Zhicheng LIU1, Feng LIAO2,3, Chenkai CAO1(), Wangqing ZHU1, Guoqing ZHAO1, Qijun ZHAO1, Haoyu HU1   

  1. 1.Helicopter Research Institute,National Key Laboratory of Rotorcraft Aeromechanics,Nanjing University of Aeronautics and Astronautics,Nanjing 210016,China
    2.Low Speed Aerodynamics Institute,China Aerodynamics Research and Development Center,Mianyang 621000,China
    3.Rotor Aerodynamics Research Center,State Key Laboratory of Aerodynamics,Mianyang 621000,China
  • Received:2025-04-11 Revised:2025-05-12 Accepted:2025-05-28 Online:2025-06-03 Published:2025-10-30
  • Contact: Chenkai CAO E-mail:cck1208@nuaa.edu.cn
  • Supported by:
    China Postdoctoral Science Foundation(2024M764240);Open Project of Rotor Aerodynamics Research Center, State Key Laboratory of Aerodynamics(RAL202402-1);A Project Funded by the Priority Academic Program Development of Jiangsu Higher Education Institutions (PAPD)

Abstract:

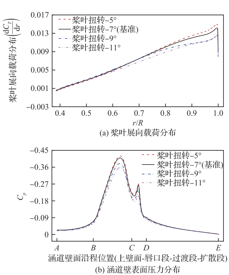
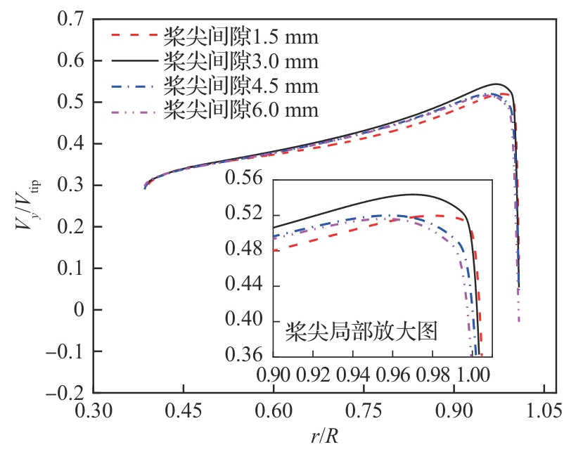
Compared with conventional tail rotor configurations, ducted tail rotor systems exhibit more complex aerodynamic coupling characteristics, primarily manifested through multiple aerodynamic interference phenomena between rotating blades and fixed components such as annular duct walls and stators. This study establishes a high-fidelity numerical simulation method combining multi-block structured grid generation techniques and steady Reynolds-Averaged Navier-Stokes (RANS) equations, based on periodic boundary conditions and a rotating reference frame framework. The reliability of the numerical approach was validated by comparing computational aerodynamic load data with experimental measurements for the SA365N1 Dauphin helicopter ducted tail rotor under hover conditions across collective pitch angles ranging from 5° to 40°. Systematic investigations were conducted on the influence mechanisms of geometric parameters including blade twist, blade chord length, and tip clearance on hover performance. Key findings reveal that excessive negative blade twist reduces the duct’s contribution to thrust generation, consequently degrading hover efficiency, with optimal aerodynamic efficiency achieved at 7° negative twist. Chord length reduction to 90% of baseline significantly diminishes blade and duct surface loading, while chord extension to 110% yields limited load enhancement confined to blade tip regions. Tip clearance analysis demonstrates that enlarged gaps weaken flow confinement effect of the duct, intensifying tip vortex strength and exacerbating flow separation in the diffuser section, thereby reducing hover efficiency. Conversely, insufficient clearance decreases mass flow rate at high collective pitch angles, compromising overall performance.

Key words: ducted tail rotor, aerodynamic interference, blade twist, blade chord, tip clearance

CLC Number: