Acta Aeronautica et Astronautica Sinica ›› 2026, Vol. 47 ›› Issue (1): 232015.doi: 10.7527/S1000-6893.2025.32015
• Solid Mechanics and Vehicle Conceptual Design • Previous Articles Next Articles
Zhen ZHANG1, Jianfeng TAN1(
), Jinglong ZHAO1, Linhai CHEN1, Yuze YAN1, Changliang LIN2
Received:2025-03-24
Revised:2025-04-08
Accepted:2025-06-03
Online:2025-06-17
Published:2025-06-16
Contact:
Jianfeng TAN
E-mail:Jianfengtan@njtech.edu.cn
Supported by:CLC Number:
Zhen ZHANG, Jianfeng TAN, Jinglong ZHAO, Linhai CHEN, Yuze YAN, Changliang LIN. Rapid prediction method of bullet damage morphology of helicopter aluminum alloy fuselage[J]. Acta Aeronautica et Astronautica Sinica, 2026, 47(1): 232015.
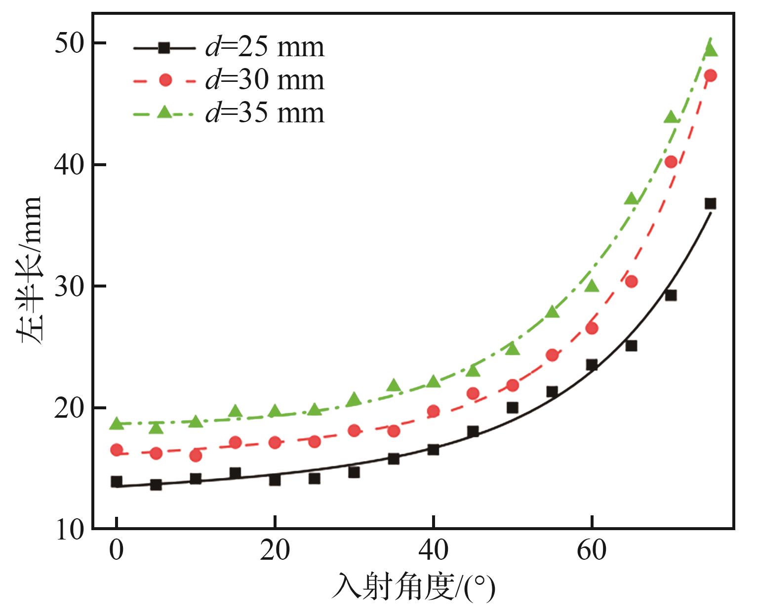
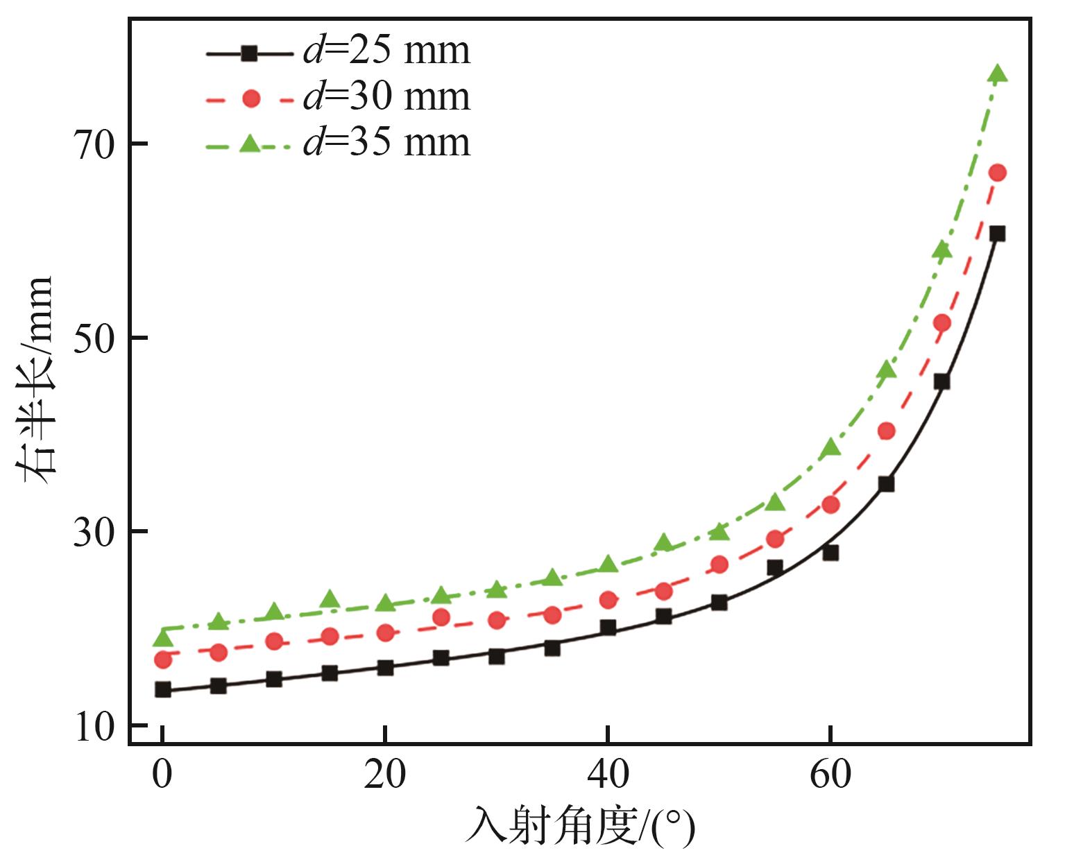
Table 2
Bullet hole shape data at different angles
入射角度/ (°) | 偏心距/ mm | 宽度/mm | 左半长/ mm | 右半长/ mm |
|---|---|---|---|---|
| 0 | 0 | 26.84 | 13.89 | 13.62 |
| 5 | 0.82 | 26.61 | 13.62 | 13.98 |
| 10 | 1.60 | 26.39 | 14.13 | 14.69 |
| 15 | 1.92 | 26.54 | 14.58 | 15.30 |
| 20 | 2.82 | 26.30 | 14.00 | 15.85 |
| 25 | 3.87 | 26.61 | 14.14 | 16.90 |
| 30 | 4.32 | 26.89 | 14.66 | 17.02 |
| 35 | 4.12 | 26.41 | 15.76 | 17.90 |
| 40 | 4.48 | 26.49 | 16.52 | 20.02 |
| 45 | 4.58 | 26.80 | 18.02 | 21.18 |
| 50 | 5.17 | 26.75 | 19.97 | 22.61 |
| 55 | 5.87 | 26.43 | 21.29 | 26.21 |
| 60 | 6.44 | 26.73 | 23.51 | 27.75 |
| 65 | 8.32 | 26.79 | 25.07 | 34.85 |
| 70 | 11.7 | 26.28 | 29.24 | 45.44 |
| 75 | 13.76 | 26.41 | 36.79 | 60.73 |
| [1] | 邢肖兵, 谭剑锋, 杨宇霄, 等. 基于子弹击穿理论的直升机机身弹伤快速分析方法[J]. 北京航空航天大学学报, 2025, 51(9): 3212-3221. |
| XING X B, TAN J F, YANG Y X, et al. An efficient analysis method of helicopter fuselage bullet damage based on bullet penetration theory[J]. Journal of Beijing University of Aeronautics and Astronautics, 2025, 51(9): 3212-3221 (in Chinese). | |
| [2] | WALTERS M, LISCIO E. The accuracy and repeatability of reconstructing single bullet impacts using the 2D ellipse method[J]. Journal of Forensic Sciences, 2020, 65(4): 1120-1127. |
| [3] | LISCIO E, PARK J. The lead-in method for bullet impacts in metal panels[J]. Forensic Science International, 2021, 326: 110914. |
| [4] | 胡静, 吕瑜晗. 斜撞击角度对铝合金薄板失效特性影响研究[J]. 机械强度, 2022, 44(5): 1119-1127. |
| HU J, LÜ Y H. Study on the effect of oblique impact angle on the failure characteristics of aluminum alloy sheet[J]. Journal of Mechanical Strength, 2022, 44(5): 1119-1127 (in Chinese). | |
| [5] | KPENYIGBA K M, JANKOWIAK T, RUSINEK A, et al. Influence of projectile shape on dynamic behavior of steel sheet subjected to impact and perforation[J]. Thin-Walled Structures, 2013, 65: 93-104. |
| [6] | 薛建锋, 沈培辉, 王晓鸣. 钻地弹斜侵彻混凝土靶的工程计算模型[J]. 航空学报, 2016, 37(6): 1899-1911. |
| XUE J F, SHEN P H, WANG X M. Engineering calculation model for oblique penetration into concrete target by earth penetration weapon[J]. Acta Aeronautica et Astronautica Sinica, 2016, 37(6): 1899-1911 (in Chinese). | |
| [7] | 管公顺, 哈跃, 庞宝君. 铝球弹丸超高速斜撞击薄铝板特性研究[J]. 高压物理学报, 2007, 21(4): 347-353. |
| GUAN G S, HA Y, PANG B J. Investigation on damage characteristics of thin Al-plates by oblique hypervelocity impact of Al-sphere[J]. Chinese Journal of High Pressure Physics, 2007, 21(4): 347-353 (in Chinese). | |
| [8] | 王瀚艺. 硬38CrSi平头弹斜撞击45钢靶侵彻特性研究[J]. 中国民航飞行学院学报, 2019, 30(1): 13-16. |
| WANG H Y. Research on penetration characteristics of 45 steel target impact by hard 38CrSi flat-nosed projectile[J]. Journal of Civil Aviation Flight University of China, 2019, 30(1): 13-16 (in Chinese). | |
| [9] | IQBAL M A, GUPTA G, GUPTA N K. 3D numerical simulations of ductile targets subjected to oblique impact by sharp nosed projectiles[J]. International Journal of Solids and Structures, 2010, 47(2): 224-237. |
| [10] | IQBAL M A, CHAKRABARTI A, BENIWAL S, et al. 3D numerical simulations of sharp nosed projectile impact on ductile targets[J]. International Journal of Impact Engineering, 2010, 37(2): 185-195. |
| [11] | 陈尚军, 秦庆华, 张威, 等. 低速冲击下金属蜂窝夹芯板抗侵彻性能的试验研究[J]. 航空学报, 2018, 39(2): 221483. |
| CHEN S J, QIN Q H, ZHANG W, et al. Experimental investigation on against penetration of metallic honeycomb sandwich plates under low-velocity impact[J]. Acta Aeronautica et Astronautica Sinica, 2018, 39(2): 221483 (in Chinese). | |
| [12] | 王立纲, 王日晗, 肖思维, 等. 2024-T42铝合金圆管抗球形钢弹侵彻特性研究[J]. 机械强度, 2025, 47(6): 118-123. |
| WANG L G, WANG R H, XIAO S W, et al. Research on the penetration resistance characteristic of 2024-T42 aluminum alloy tube to spherical steel projectile[J]. Journal of Mechanical Strength, 2025, 47(6): 118-123 (in Chinese). | |
| [13] | 王砚书. 刚体弹丸侵彻靶板的毁伤效应预测分析[D]. 哈尔滨: 哈尔滨工业大学, 2023: 14-16. |
| WANG Y S. Prediction and analysis of the destructive effect of rigid body projectile penetrating the target plate[D]. Harbin: Harbin Institute of Technology, 2023: 14-16 (in Chinese). | |
| [14] | 王峰, 王肖钧, 胡秀章, 等. 卵形杆弹对铝靶的斜侵彻[J]. 爆炸与冲击, 2005, 25(3): 265-270. |
| WANG F, WANG X J, HU X Z, et al. Oblique penetration of an ogive-nosed rod into the aluminum target[J]. Explosion and Shock Waves, 2005, 25(3): 265-270 (in Chinese). | |
| [15] | 伍乾坤, 韩旭, 谭柱华, 等. 考虑攻角的长杆弹斜穿透中厚铝靶机理[J]. 工程力学, 2012, 29(6): 338-345. |
| WU Q K, HAN X, TAN Z H, et al. Mechanism of perforation of inclined moderately thick aluminum target by long-rod projectile with yaw[J]. Engineering Mechanics, 2012, 29(6): 338-345 (in Chinese). | |
| [16] | 辛壮壮, 张向东, 江睿毅, 等. 弹头角速度与侵彻倾角对铝合金薄板损伤分析[J]. 弹道学报, 2022, 34(4): 23-29. |
| XIN Z Z, ZHANG X D, JIANG R Y, et al. Influence of warhead angular velocity and penetration angle on damage performance of aluminum alloy sheet[J]. Journal of Ballistics, 2022, 34(4): 23-29 (in Chinese). | |
| [17] | 高旭东, 李庆明. 带攻角斜侵彻混凝土的弹道偏转分析[J]. 兵工学报, 2014, 35(): 33-39. |
| GAO X D, LI Q M. Trajectory analysis of projectile obliquely penetrating into concrete target at attack angle[J]. Acta Armamentarii, 2014, 35(): 33-39 (in Chinese). | |
| [18] | 李钊, 孙旭光, 周中锋. 穿甲弹斜侵彻钛合金靶板试验与数值模拟研究[J]. 振动与冲击, 2023, 42(23): 159-166. |
| LI Z, SUN X G, ZHOU Z F. Tests and numerical simulation of oblique penetration of armour-piercing projectile into titanium alloy target[J]. Journal of Vibration and Shock, 2023, 42(23): 159-166 (in Chinese). | |
| [19] | 康海峰, 代廷静, 沈培辉, 等. 弹体形状对侵彻弹道的影响分析[J]. 弹箭与制导学报, 2012, 32(2): 73-76. |
| KANG H F, DAI T J, SHEN P H, et al. The analysis of the influence of projectile’s shape on penetration trajectory[J]. Journal of Projectiles, Rockets, Missiles and Guidance, 2012, 32(2): 73-76 (in Chinese). | |
| [20] | CHENG J C, ZHANG S, LIU Q, et al. Ballistic impact experiments and modeling on impact cratering, deformation and damage of 2024-T4 aluminum alloy[J]. International Journal of Mechanical Sciences, 2022, 224: 107312. |
| [21] | KUMAR REDDY SIRIGIRI V, YADAV GUDIGA V, SHANKAR GATTU U, et al. A review on Johnson Cook material model[J]. Materials Today: Proceedings, 2022, 62: 3450-3456. |
| [22] | 李春雷. 2A12铝合金本构关系实验研究[D]. 哈尔滨: 哈尔滨工业大学, 2006: 40-42. |
| LI C L. Experimental investigation into the constitutive relationship of 2A12 aluminum alloy[D]. Harbin: Harbin Institute of Technology, 2006: 40-42 (in Chinese). | |
| [23] | 熊瑞亮. 2024铝合金超精密车削有限元模拟及实验研究[D]. 南昌: 南昌大学, 2020: 11-12. |
| XIONG R L. Finite element simulation and experimental study of 2024 aluminum alloy ultra precision turning[D]. Nanchang: Nanchang University, 2020: 11-12 (in Chinese). | |
| [24] | 余庆波, 王海福, 俞为民. 结构参数对截锥弹低速正侵彻装甲靶的影响[J]. 工程力学, 2012, 29(1): 207-213. |
| YU Q B, WANG H F, YU W M. Influence of structural parameters on perpendicular penetrating armor of truncated conical projectile in low speed[J]. Engineering Mechanics, 2012, 29(1): 207-213 (in Chinese). | |
| [25] | 李亚, 任杰, 马大为, 等. 多角度高速侵彻金属靶的有限元模拟和实验研究[J]. 兵器材料科学与工程, 2017, 40(5): 72-77. |
| LI Y, REN J, MA D W, et al. FEM simulation and experimental study of multiangular high velocity penetration of metallic targets[J]. Ordnance Material Science and Engineering, 2017, 40(5): 72-77 (in Chinese). | |
| [26] | 裴桂艳, 聂建新, 王秋实, 等. 舰炮半穿甲模拟弹对金属靶板斜侵彻研究[J]. 兵工学报, 2024, 45(3): 731-743. |
| PEI G Y, NIE J X, WANG Q S, et al. Study on oblique penetration of metal plate by naval Gun semi-armor-piercing simulation projectile[J]. Acta Armamentarii, 2024, 45(3): 731-743 (in Chinese). | |
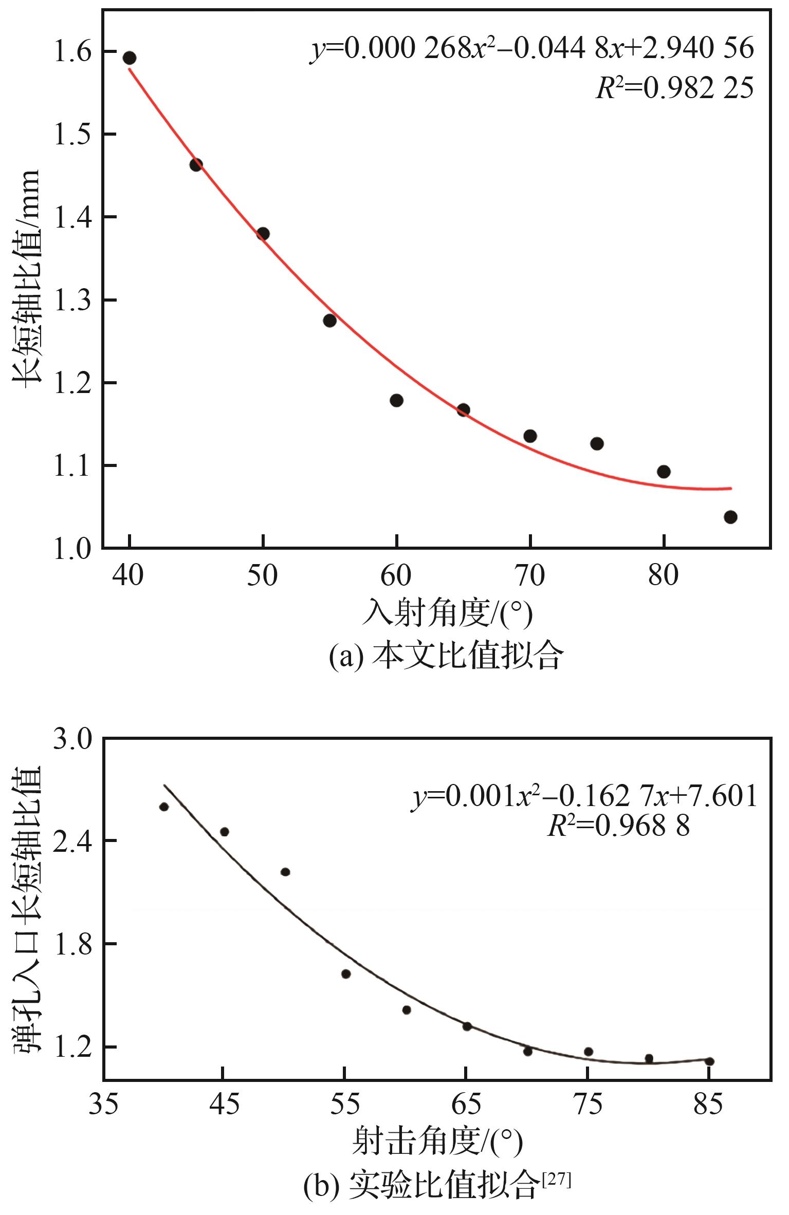
| [27] | 于遨洋, 杨通. 平板玻璃上弹孔形态与射击方向的相关性检验[J]. 中国刑警学院学报, 2017(3): 91-95. |
| YU A Y, YANG T. Correlation study on the direction of fire and the shape of bullet hole in flat glass[J]. Journal of Criminal Investigation Police University of China, 2017(3): 91-95 (in Chinese). |
| [1] | Pinggen LUO, Bin LI, Huaji WANG, Xingping LI, Wenqing XIA. New waste heat recovery thermal management configurations and applications for helicopters [J]. Acta Aeronautica et Astronautica Sinica, 2026, 47(1): 632007-632007. |
| [2] | Ying WANG, Yang LI, Chaoqian CHENG, Zongxia JIAO. Thermal load analysis for aeroengine oil system with extended flight profile [J]. Acta Aeronautica et Astronautica Sinica, 2026, 47(1): 632005-632005. |
| [3] | Linbo WU, Shu MENG, Wei ZHANG, Jianfeng TAN. Parameters of rotor arrangement for sand suppression in helicopter near-earth flight [J]. Acta Aeronautica et Astronautica Sinica, 2026, 47(1): 632003-632003. |
| [4] | Tao ZHANG, Pan LI, Zixu WANG, Zhenhua ZHU. Design of reward functions for helicopter attitude control in reinforcement learning [J]. Acta Aeronautica et Astronautica Sinica, 2025, 46(S1): 732184-732184. |
| [5] | Jianfeng TAN, Yuze YAN, Weiguo ZHANG, Yakui LIU, Tianshuang SHAO. Analysis method of helicopter blade erosion in brownout condition [J]. Acta Aeronautica et Astronautica Sinica, 2025, 46(9): 431012-431012. |
| [6] | Weizhen CHENG, Zefeng WANG, Lisong GENG, Jiahong ZHENG, Shuaike JIAO, Kang LI. Flight test measurement for structural load of rotor blade based on fiber Bragg grating [J]. Acta Aeronautica et Astronautica Sinica, 2025, 46(24): 231863-231863. |
| [7] | Yong LIANG, Weiguo ZHANG, Binghui CHE, Honggang YUAN, Chunhua WEI, Ningmeng YANG. Wind tunnel tests of aeroacoustic characteristic for helicopter aircraft model [J]. Acta Aeronautica et Astronautica Sinica, 2025, 46(24): 132072-132072. |
| [8] | Luofeng WANG, Renliang CHEN, Rui FENG. Cross-medium rigid-flexible coupled modeling and trim analysis of helicopter mine-clearing system [J]. Acta Aeronautica et Astronautica Sinica, 2025, 46(22): 231900-231900. |
| [9] | Xiaohua HAN, Wei HAN, Shimeng LU, Na LI, Fang GUO, Bing WAN, Xichao SU. Mission planning for ship-helicopter group wave launch and recovery oriented to mission time windows [J]. Acta Aeronautica et Astronautica Sinica, 2025, 46(13): 531773-531773. |
| [10] | Jinghan WEN, Honglei JI, Haoxuan DENG, Chang WANG. Rotor vortex ring state inflow model suitable for flight mechanics analysis [J]. Acta Aeronautica et Astronautica Sinica, 2025, 46(12): 131395-131395. |
| [11] | Peikang ZHANG, Jifeng GUO, Peng YAN. Modeling and robust flight control of small-scale unmanned helicopter [J]. Acta Aeronautica et Astronautica Sinica, 2024, 45(S1): 730797-730797. |
| [12] | Xiaolong ZHANG, Rong LI, Gaowei YAN, Shuyi XIAO, Guoqing LI. Fault estimation and fault tolerant control for small unmanned helicopters [J]. Acta Aeronautica et Astronautica Sinica, 2024, 45(S1): 730802-730802. |
| [13] | Bo LI, Xiao WANG. Dynamic modeling and modal analysis of coaxial rotors/auxiliary propeller/drive train coupled system [J]. Acta Aeronautica et Astronautica Sinica, 2024, 45(9): 528945-528945. |
| [14] | Qi LIU, Yongjie SHI, Zhiyuan HU, Guohua XU. Parameter effects analysis on aerodynamic and aeroacoustic characteristics of coaxial rigid rotor [J]. Acta Aeronautica et Astronautica Sinica, 2024, 45(9): 528856-528856. |
| [15] | Fengying ZHENG, Zhimin SHEN, Yaqin LI, Kaizhao XU, Xinhua WANG. Gain adaptive multi-mode switching control for coaxial high-speed helicopter [J]. Acta Aeronautica et Astronautica Sinica, 2024, 45(9): 529088-529088. |
| Viewed | ||||||
|
Full text |
|
|||||
|
Abstract |
|
|||||
Address: No.238, Baiyan Buiding, Beisihuan Zhonglu Road, Haidian District, Beijing, China
Postal code : 100083
E-mail:hkxb@buaa.edu.cn
Total visits: 6658907 Today visits: 1341All copyright © editorial office of Chinese Journal of Aeronautics
All copyright © editorial office of Chinese Journal of Aeronautics
Total visits: 6658907 Today visits: 1341

