陈海鹏1, 喻海川1, 顾祥玉1(
), 王鑫蔚1, 张啸九1, 陈军2
收稿日期:2025-06-30
修回日期:2025-11-10
接受日期:2025-11-13
出版日期:2025-11-21
发布日期:2025-11-20
通讯作者:
顾祥玉
E-mail:xiangyu_gu@outlook.com
基金资助:
Haipeng CHEN1, Haichuan YU1, Xiangyu GU1(
), Xinwei WANG1, Xiaojiu ZHANG1, Jun CHEN2
Received:2025-06-30
Revised:2025-11-10
Accepted:2025-11-13
Online:2025-11-21
Published:2025-11-20
Contact:
Xiangyu GU
E-mail:xiangyu_gu@outlook.com
Supported by:摘要:
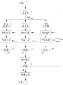
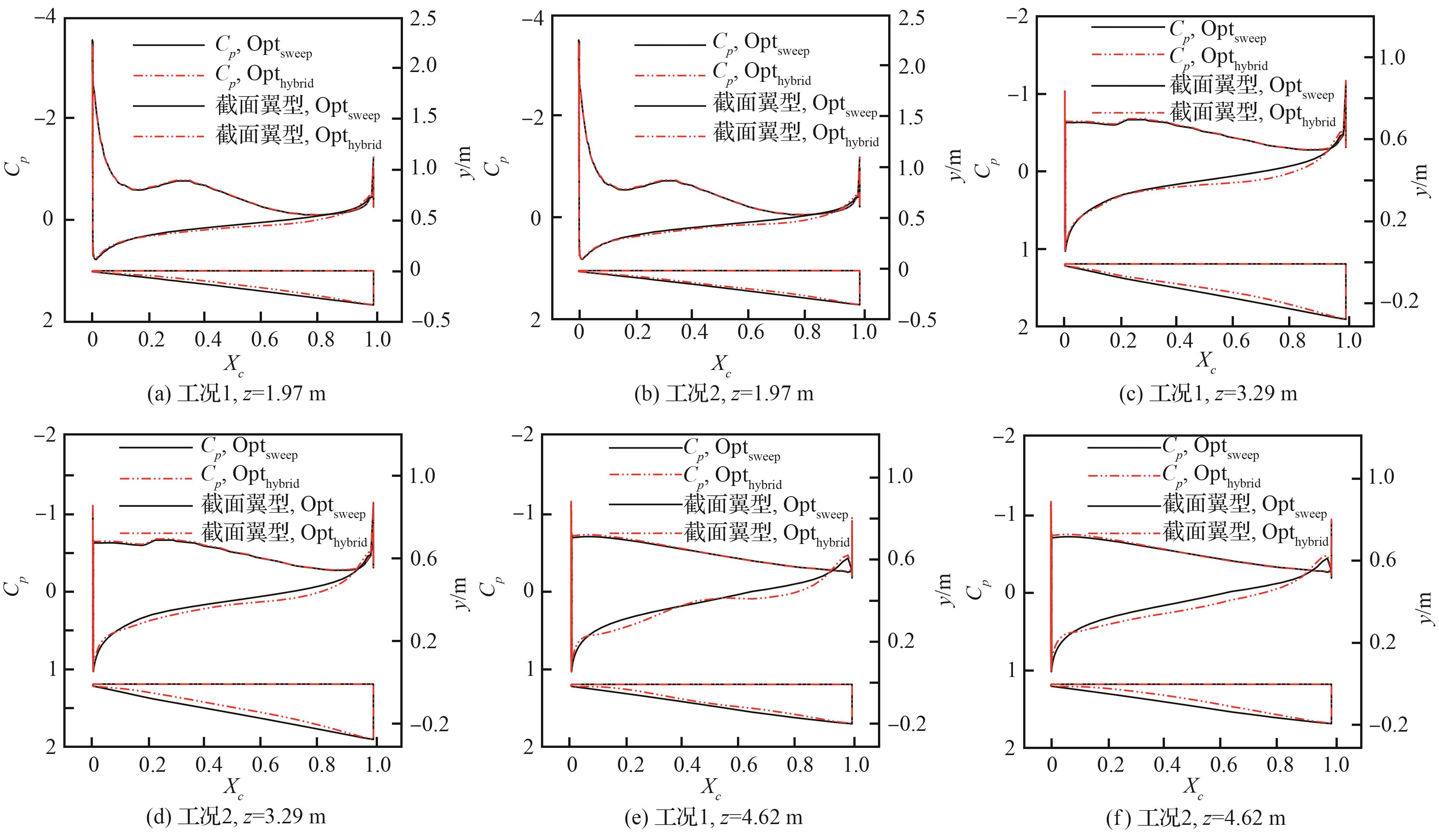
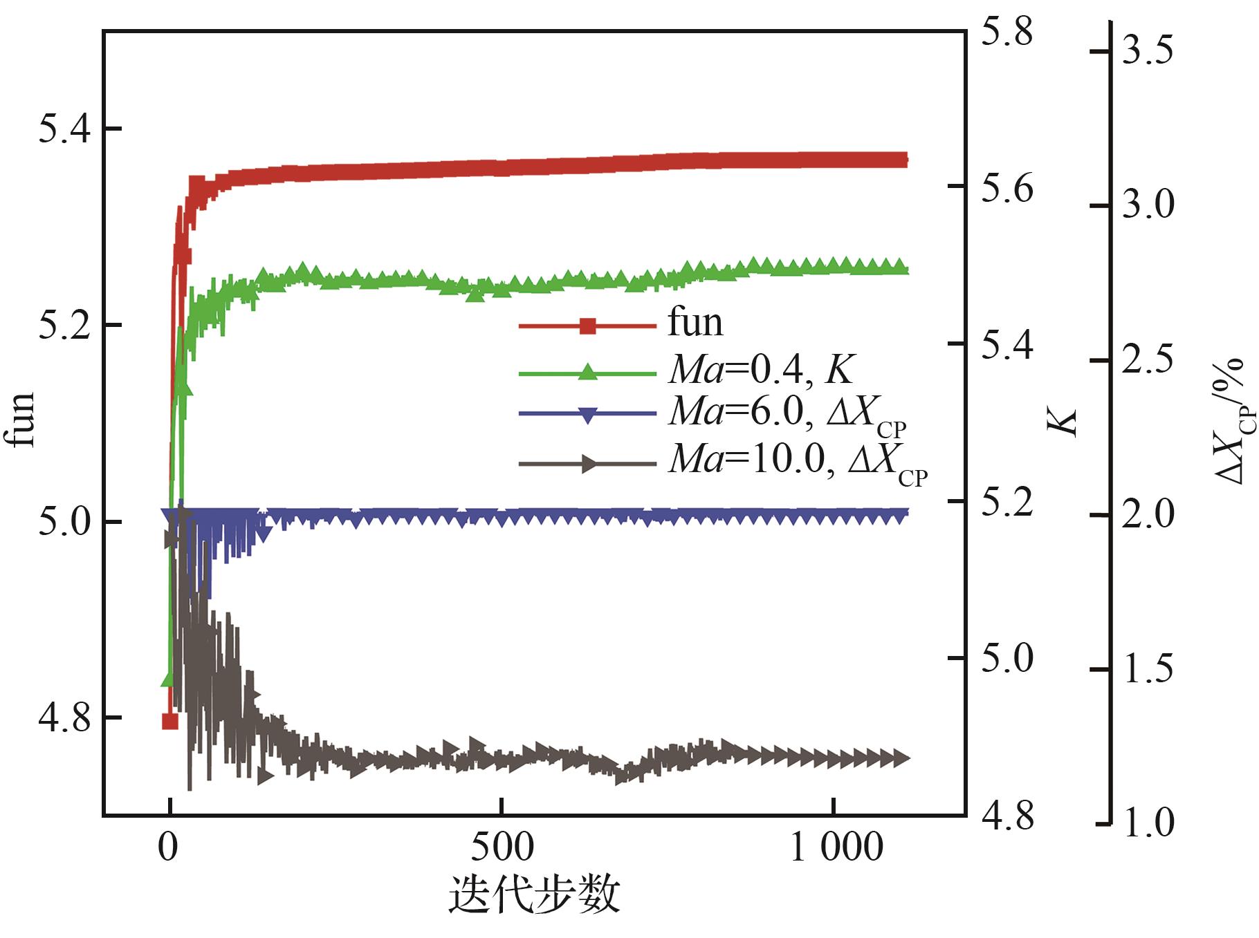
变构型飞行器根据飞行任务在线改变气动外形,可在宽飞行包线内保持优异气动性能,成为当前航空航天领域的研究热点。针对变构型飞行器气动外形设计面临的在线/离线变量一体化协调与多剖面异构约束的挑战,发展了一种面向多任务的跨域变构型飞行器气动设计方法。该方法采用在线与离线两类设计变量参数化气动外形,构建了内、外两层耦合优化框架,旨在实现全剖面性能最优并满足各剖面约束。将该方法应用于可变后掠跨域飞行器,针对起降(最大升力)和高速飞行(最大升阻比、压心约束)剖面完成了气动外形优化。根据权重配置不同,优化构型在Ma=0.4工况,升力系数提升55.03%、56.85%;在Ma=6.0和Ma=10.0工况,升阻比分别提升1.16%、1.69%和0.94%、1.68%。压心变化均满足2%的设计约束,验证了该优化框架的有效性。
中图分类号:
陈海鹏, 喻海川, 顾祥玉, 王鑫蔚, 张啸九, 陈军. 面向在线变形的跨域变构型飞行器气动设计方法[J]. 航空学报, 2026, 47(5): 132490.
Haipeng CHEN, Haichuan YU, Xiangyu GU, Xinwei WANG, Xiaojiu ZHANG, Jun CHEN. Aerodynamic design methods for cross-domain morphing aircraft oriented to online deformation[J]. Acta Aeronautica et Astronautica Sinica, 2026, 47(5): 132490.
表7
基准与优化构型气动特性对比
| 工况 | 构型 | Ma=0.4 | Ma=6.0 | Ma=10.0 | ||||||
|---|---|---|---|---|---|---|---|---|---|---|
| CL | CD | K | CL | K | XCP | CL | K | XCP | ||
| Ori | 0.378 0 | 0.078 2 | 4.832 3 | 0.124 1 | 3.942 0 | 0.703 4 | 0.098 9 | 3.905 8 | 0.703 3 | |
| 工况1 | Optsweep | 0.553 9 | 0.103 5 | 5.353 0 | 0.111 6 | 4.000 5 | 0.675 0 | 0.089 7 | 3.966 5 | 0.683 0 |
| Opthybrid | 0.586 0 | 0.106 7 | 5.495 8 | 0.111 9 | 4.008 4 | 0.684 1 | 0.090 1 | 3.971 3 | 0.691 2 | |
| 工况2 | Optsweep | 0.553 9 | 0.103 5 | 5.353 3 | 0.112 3 | 4.030 1 | 0.680 1 | 0.090 9 | 3.993 0 | 0.681 2 |
| Opthybrid | 0.592 9 | 0.106 9 | 5.544 8 | 0.112 2 | 3.987 9 | 0.700 1 | 0.090 5 | 3.942 4 | 0.703 4 | |
表8
后掠角优化与型面优化的贡献分析
| 工况 | 马赫数 | 优化阶段 | ΔCL /% | ΔK/% | ΔXCP/% |
|---|---|---|---|---|---|
| 工况1 | 0.4 | 后掠角优化 | 46.53 | 10.78 | |
| 型面优化 | 8.49 | 2.96 | |||
| 双层优化 | 55.03 | 13.73 | |||
| 6.0 | 后掠角优化 | -10.07 | 1.48 | -2.84 | |
| 型面优化 | 0.24 | 0.2 | 0.91 | ||
| 双层优化 | -9.83 | 1.69 | -1.93 | ||
| 10.0 | 后掠角优化 | -9.30 | 1.55 | -2.03 | |
| 型面优化 | 0.40 | 0.12 | 0.82 | ||
| 双层优化 | -8.90 | 1.68 | -1.21 | ||
| 工况 2 | 0.4 | 后掠角优化 | 46.53 | 10.78 | |
| 型面优化 | 10.32 | 3.96 | |||
| 双层优化 | 56.85 | 14.74 | |||
| 6.0 | 后掠角优化 | -9.51 | 2.23 | -2.33 | |
| 型面优化 | -0.08 | -1.07 | 2.00 | ||
| 双层优化 | -9.59 | 1.16 | -0.33 | ||
| 10.0 | 后掠角优化 | -8.09 | 2.23 | -2.21 | |
| 型面优化 | -0.40 | -1.30 | 2.22 | ||
| 双层优化 | -8.49 | 0.94 | 0.01 |
| [1] | 朱继宏, 韩嘉诚, 谷小军, 等. 跨域飞行器结构与变构型设计技术进展与挑战[J]. 航空学报, 2025, 46(18): 431686. |
| ZHU J H, HAN J C, GU X J, et al. Advances and challenges in cross-domain vehicle structures and morphing configuration design technologies[J]. Acta Aeronautica et Astronautica Sinica, 2025, 46(18): 431686 (in Chinese). | |
| [2] | CHU L L, LI Q, GU F, et al. Design, modeling, and control of morphing aircraft: A review[J]. Chinese Journal of Aeronautics, 2022, 35(5): 220-246. |
| [3] | 陈树生, 贾苜梁, 刘衍旭, 等. 变体飞行器变形方式及气动布局设计关键技术研究进展[J]. 航空学报, 2024, 45(6): 629595. |
| CHEN S S, JIA M L, LIU Y X, et al. Deformation modes and key technologies of aerodynamic layout design for morphing aircraft: Review[J]. Acta Aeronautica et Astronautica Sinica, 2024, 45(6): 629595 (in Chinese). | |
| [4] | FENG C, CHEN S S, YUAN W, et al. A wide-speed-range aerodynamic configuration by adopting wave-riding-strake wing[J]. Acta Astronautica, 2023, 202: 442-452. |
| [5] | KULFAN B M. Universal parametric geometry representation method[J]. Journal of Aircraft, 2008, 45(1): 142-158. |
| [6] | 田洁华, 孙迪, 屈峰, 等. 基于CST-GAN的翼型参数化方法[J]. 航空学报, 2023, 44(18): 128280. |
| TIAN J H, SUN D, QU F, et al. Airfoil parameterization method based on CST-GAN[J]. Acta Aeronautica et Astronautica Sinica, 2023, 44(18): 128280 (in Chinese). | |
| [7] | PIEGL L, TILLER W. The NURBS book[M]. Heidelberg: Springer Berlin, 2012: 509-569. |
| [8] | SHENG C H, ALLEN C B. Efficient mesh deformation using radial basis functions on unstructured meshes[J]. AIAA Journal, 2012, 51(3): 707-720. |
| [9] | SELIM M M, KOOMULLIL R P. Mesh deformation approaches—A survey[J]. Journal of Physical Mathematics, 2016, 7(2): 1-9. |
| [10] | ZHAO Z, MA R, HE L, et al. An efficient large-scale mesh deformation method based on MPI/OpenMP hybrid parallel radial basis function interpolation[J]. Chinese Journal of Aeronautics, 2020, 33(5): 1392-1404. |
| [11] | GU X Y, CIAMPA P D, NAGEL B. An automated CFD analysis workflow in overall aircraft design applications[J]. CEAS Aeronautical Journal, 2018, 9(1): 3-13. |
| [12] | YOU K K, HA J H, LEE S C. An automated aerodynamic analysis system in missile based on open-source software[J]. International Journal of Aeronautical and Space Sciences, 2023, 24(3): 592-605. |
| [13] | 刘超宇, 屈峰, 孙迪, 等. 基于离散伴随的高超声速密切锥乘波体气动优化设计[J]. 航空学报, 2023, 44(4): 126664. |
| LIU C Y, QU F, SUN D, et al. Discretized adjoint based aerodynamic optimization design for hypersonic osculating-cone waverider[J]. Acta Aeronautica et Astronautica Sinica, 2023, 44(4): 126664 (in Chinese). | |
| [14] | DWIGHT R P, BREZILLON J. Effect of approximations of the discrete adjoint on gradient-based optimization[J]. AIAA Journal, 2006, 44(12): 3022-3031. |
| [15] | KENWAY G K W, MADER C A, HE P, et al. Effective adjoint approaches for computational fluid dynamics[J]. Progress in Aerospace Sciences, 2019, 110: 100542. |
| [16] | 高昌, 李正洲, 黄江涛, 等. 基于连续伴随方法的高超声速飞行器高精度气动优化[J]. 航空学报, 2021, 42(7): 124490. |
| GAO C, LI Z Z, HUANG J T, et al. High-accuracy aerodynamic optimization of hypersonic vehicles based on continuous adjoint[J]. Acta Aeronautica et Astronautica Sinica, 2021, 42(7): 124490 (in Chinese). | |
| [17] | 陈海昕, 邓凯文, 李润泽. 机器学习技术在气动优化中的应用[J]. 航空学报, 2019, 40(1): 522480. |
| CHEN H X, DENG K W, LI R Z. Utilization of machine learning technology in aerodynamic optimization[J]. Acta Aeronautica et Astronautica Sinica, 2019, 40(1): 522480 (in Chinese). | |
| [18] | HAN Z H, ZIMMERMANN R, GÖRTZ S. Alternative cokriging method for variable-fidelity surrogate modeling[J]. AIAA Journal, 2012, 50(5): 1205-1210. |
| [19] | GU X Y, CIAMPA P D, NAGEL B. High fidelity aerodynamic optimization in distributed overall aircraft design[C]∥17th AIAA/ISSMO Multidisciplinary Analysis and Optimization Conference. Reston: AIAA, 2016. |
| [20] | BROOKS T R, KENWAY G K W, MARTINS J R R A. Benchmark aerostructural models for the study of transonic aircraft wings[J]. AIAA Journal, 2018, 56(7): 2840-2855. |
| [21] | PHOENIX A A, MAXWELL J R, ROGERS R E. Mach 5-3.5 morphing waverider accuracy and aerodynamic performance evaluation[J]. Journal of Aircraft, 2019, 56(5): 2047-2061. |
| [22] | PHOENIX A A, ROGERS R E, MAXWELL J R, et al. Mach five to ten morphing waverider: Control point study[J]. Journal of Aircraft, 2018, 56(2): 493-504. |
| [23] | DAI P, YAN B B, HUANG W, et al. Design and aerodynamic performance analysis of a variable-sweep-wing morphing waverider[J]. Aerospace Science and Technology, 2020, 98: 105703. |
| [24] | ZHAO Z T, HUANG W, YAN B B, et al. Design and high speed aerodynamic performance analysis of vortex lift waverider with a wide-speed range[J]. Acta Astronautica, 2018, 151: 848-863. |
| [25] | 武宇飞, 龙腾, 史人赫, 等. 跨域变体飞行器气动力热非层次多模型融合降阶方法[J]. 航空学报, 2023, 44(21): 528259. |
| WU Y F, LONG T, SHI R H, et al. Non-hierarchical multi-model fusion order reduction based on aerodynamic and aerothermodynamic characteristics for cross-domain morphing aircraft[J]. Acta Aeronautica et Astronautica Sinica, 2023, 44(21): 528259 (in Chinese). | |
| [26] | FINCHAM J H S, FRISWELL M I. Aerodynamic optimisation of a camber morphing aerofoil[J]. Aerospace Science and Technology, 2015, 43: 245-255. |
| [27] | WOODS B K S, FRISWELL M I. Preliminary investigation of a fishbone active camber concept[C]∥ASME 2012 Conference on Smart Materials, Adaptive Structures and Intelligent Systems. New York: ASME, 2013. |
| [28] | DEXL F, HAUFFE A, WOLF K. Multidisciplinary multi-objective design optimization of an active morphing wing section[J]. Structural and Multidisciplinary Optimization, 2020, 62(5): 2423-2440. |
| [29] | LIU B, LIANG H, HAN Z H, et al. Surrogate-based aerodynamic shape optimization of a morphing wing considering a wide Mach-number range[J]. Aerospace Science and Technology, 2022, 124: 107557. |
| [30] | 陈树生, 冯聪, 张兆康, 等. 基于全局/梯度优化方法的宽速域乘波-机翼布局气动设计[J]. 航空学报, 2024, 45(6): 629596. |
| CHEN S S, FENG C, ZHANG Z K, et al. Aerodynamic design of wide-speed-range waverider-wing configuration based on global & gradient optimization method[J]. Acta Aeronautica et Astronautica Sinica, 2024, 45(6): 629596 (in Chinese). | |
| [31] | BOX M J. A new method of constrained optimization and a comparison with other methods[J]. The Computer Journal, 1965, 8(1): 42-52. |
| [32] | ROE P L. Approximate Riemann solvers, parameter vectors, and difference schemes[J]. Journal of Computational Physics, 1997, 135(2): 250-258. |
| [33] | CHEN R F, WANG Z J. Fast, block lower-upper symmetric Gauss-Seidel scheme for arbitrary grids[J]. AIAA Journal, 2000, 38: 2238-2245. |
| [34] | VENKATAKRISHNAN V. On the accuracy of limiters and convergence to steady state solutions[C]∥31st Aerospace Sciences Meeting. Reston: AIAA, 1993. |
| [35] | KERMANI M, PLETT E. Modified entropy correction formula for the Roe scheme[C]∥39th Aerospace Sciences Meeting and Exhibit. Reston: AIAA, 2001. |
| [36] | MENTER F R. Two-equation eddy-viscosity turbulence models for engineering applications[J]. AIAA Journal, 1994, 32(8): 1598-1605. |
| [37] | SEDERBERG T W, PARRY S R. Free-form deformation of solid geometric models[C]∥Proceedings of the 13th Annual Conference on Computer Graphics and Interactive Techniques. New York: ACM, 1986. |
| [38] | WITTEVEEN J, BIJL H. Explicit mesh deformation using inverse distance weighting interpolation[C]∥19th AIAA Computational Fluid Dynamics. Reston: AIAA, 2009. |
| [39] | SEEGER M. Gaussian processes for machine learning[J]. International Journal of Neural Systems, 2004, 14(02): 69-106. |
| [40] | KRIGE D G. A statistical approach to some basic mine valuation problems on the Witwatersrand[J]. Journal of the Southern African Institute of Mining and Metallurgy, 1951, 52(6): 119-139. |
| [41] | MCKAY M D, BECKMAN R J, CONOVER W J. A comparison of three methods for selecting values of input variables in the analysis of output from a computer code[J]. Technometrics, 2000, 42(1): 55-61. |
| [42] | LIU C Z, BAI P, WANG J F, et al. Osculating-cone waverider design by customizing the planform shape of leading edge[J]. Chinese Journal of Theoretical and Applied Mechanics, 2019, 51(4): 991-997. |
| [1] | 朱训涵 周岩 丁振伟 谢玮 罗振兵. 主动射流调控第Ⅳ类激波干扰与流场快速重构(流动控制与热管理专栏)[J]. 航空学报, 0, (): 1-0. |
| [2] | 陈锦辉 柳婉婷 李志远 吴杰. 基于壁面吹气的高超声速湍流边界层减阻降热研究[J]. 航空学报, 0, (): 1-0. |
| [3] | 李锦烨 崔伟 王祁旻 吴大卫. 双缝襟翼带滑流效应的分布式动力气动设计-飞行器飞发匹配技术专栏[J]. 航空学报, 0, (): 1-0. |
| [4] | 齐海峰, 常士楠, 任战鹏, 杨映麟. 基于沿程冷却法的冰晶沿程参数变化模拟[J]. 航空学报, 2026, 47(4): 132227-132227. |
| [5] | 陈泰然 杨奇麟 龙金成 焦俊 史圣哲. 水上飞机起降过程气-水耦合作用与运动响应特性研究[J]. 航空学报, 0, (): 1-0. |
| [6] | 牛子越 董希旺 王璐 陈际玮 黄晨曦 潘成伟. 置信度驱动的自适应 GMPHD 多目标跟踪方法(2026增刊1, 20250287)[J]. 航空学报, 0, (): 1-0. |
| [7] | 辛惠竹 李晨 桑为民 侯靓. 基于多任务学习的翼型结冰与气动特性预测[J]. 航空学报, 0, (): 1-0. |
| [8] | 李辰, 孙东, 刘朋欣, 郭启龙, 袁先旭. 等离子体激励超声速湍流边界层直接数值模拟[J]. 航空学报, 2025, 46(S1): 732187-732187. |
| [9] | 赵良瑾, 仝昊楠, 苑子杨, 李昀镀, 张晓典, 成培瑞. 无人机集群的干扰管理:机理、技术与挑战[J]. 航空学报, 2025, 46(23): 632022-632022. |
| [10] | 廖振荣, 李军府, 赵博文, 张明, 谢露, 韩忠华, 艾梦琪. 基于工程的超声速民机宽速域机翼设计[J]. 航空学报, 2025, 46(20): 531915-531915. |
| [11] | 李祚泰, 陈树生, 金世轶, 高正红, 周卫国. 基于声爆高效预测的超声速民机优化设计与数据挖掘[J]. 航空学报, 2025, 46(20): 531920-531920. |
| [12] | 陈晴, 韩忠华, 张科施, 乔建领, 丁玉临, 宋文萍. 一种面向超声速民机低声爆布局的全声爆毯优化设计方法[J]. 航空学报, 2025, 46(20): 531909-531909. |
| [13] | 贡天宇, 单程军, 易理哲, 龙垚松, 成忠涛. 发动机几何参数对超声速民机声爆特性的影响[J]. 航空学报, 2025, 46(20): 531592-531592. |
| [14] | 张力文, 韩忠华, 张科施, 宋科, 宋文萍. 面向超声速民机近/中场声爆传播的空间推进高精度数值模拟方法[J]. 航空学报, 2025, 46(20): 531935-531935. |
| [15] | 郑可风, 宋文萍, 聂晗, 丁玉临, 乔建领, 陈晴, 王奕衡, 宋科, 张科施. 考虑全机声爆特性的超声速自然层流机翼设计方法[J]. 航空学报, 2025, 46(20): 531214-531214. |
| 阅读次数 | ||||||
|
全文 |
|
|||||
|
摘要 |
|
|||||
版权所有 © 航空学报编辑部
版权所有 © 2011航空学报杂志社
主管单位:中国科学技术协会 主办单位:中国航空学会 北京航空航天大学

