航空学报 > 2025, Vol. 46 Issue (19): 532297-532297   doi: 10.7527/S1000-6893.2025.32297

基于预训练微调的机翼气动载荷多源数据融合建模方法

王鹏飞1, 曾丽芳2(), 邵雪明2, 黎军2   

  1. 1.浙江大学 工程师学院,杭州 310000
    2.浙江大学 航空航天学院,杭州 310027
  • 收稿日期:2025-05-27 修回日期:2025-06-16 接受日期:2025-07-17 出版日期:2025-07-28 发布日期:2025-07-25
  • 通讯作者: 曾丽芳 E-mail:lifang_zeng@zju.edu.cn
  • 基金资助:
    浙江省科技创新领军人才项目(2023R5220);国防基础科研计划(JCKY2023205B013);国防基础科研计划(JCKY2019205A006);国防基础科研计划(JCKY2021205B003)

Multi-source data fusion modeling method for aerodynamic load of aircraft wing based on pre-training and fine-tuning

Pengfei WANG1, Lifang ZENG2(), Xueming SHAO2, Jun LI2   

  1. 1.College of Engineers,Zhejiang University,Hangzhou 310000,China
    2.School of Aeronautics and Astronautics,Zhejiang University,Hangzhou 310027,China
  • Received:2025-05-27 Revised:2025-06-16 Accepted:2025-07-17 Online:2025-07-28 Published:2025-07-25
  • Contact: Lifang ZENG E-mail:lifang_zeng@zju.edu.cn
  • Supported by:
    Leading Talent Project for Scientific and Technological Innovation in Zhejiang Province(2023R5220);Defense Industrial Technology Development Program(JCKY2023205B013)

摘要:

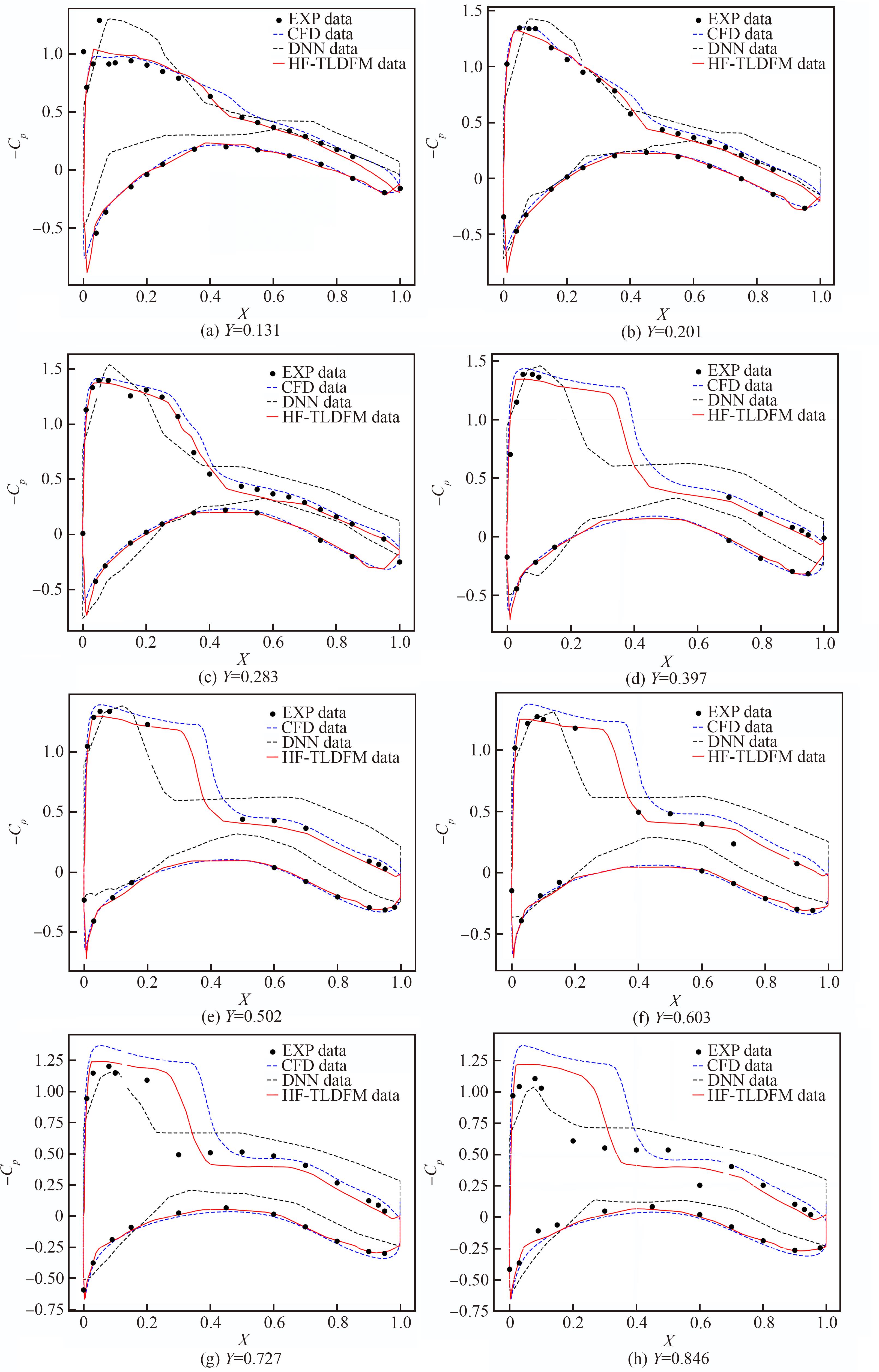
气动载荷的准确快速预测是飞行器数字孪生技术的重要组成部分,是建立真实飞行器与其数字孪生体之间的重要纽带。现阶段基于数据建模方法构建气动载荷代理模型高效率获取气动数据,已成为飞行器设计的重要研究方向。但利用单一来源的数据建模方法难以突破现有模型预测结果的精度上限。以CRM-WB翼身组合体为研究对象,面向数字孪生技术对机翼分布载荷的实时高精度预测需求,在稀疏有限的风洞试验数据基础上,融合仿真数据,提出了一种基于预训练微调的机翼气动载荷多源数据融合方法,考虑到机翼上下表面压力分布特征导致的预测精度差异,进一步采用预训练分组微调策略构建气动载荷融合模型,测试结果表明:该模型的预测平均误差为3.17%,与基于单一数据训练的预测模型(平均误差为5.70%)、组合深度神经网络融合建模方法(平均误差为5.11%)和高斯过程回归不确定加权融合建模方法(平均误差为6.16%)相比,所提出的多源数据融合方法实现了更高准确度的预测。泛化性测试显示所提出的预训练微调模型具有较好的泛化能力,在外推工况上相比单一数据来源的预测模型的平均误差降低11.19%。

关键词: 飞行器, 迁移学习, 数字孪生, 分布载荷, 数据融合

Abstract:

Accurate and rapid prediction of aerodynamic loads is an important part of the vehicle digital twinning technology, and is an important link between the real vehicle and its digital twin. At present, building aerodynamic load proxy model based on data modeling method to obtain aerodynamic data efficiently has become an important research direction in vehicle design. However, data modeling methods using a single source are difficult to break the upper limit of accuracy of the existing model predictions. Based on sparse and limited wind tunnel test data, a multi-source data fusion method of wing aerodynamic loads based on pre-training fine-tuning is proposed for the CRM-WB wing body assembly. Considering the difference in prediction accuracy caused by the pressure distribution characteristics on the upper and lower surfaces of the wing, the pre-training grouped fine-tuning strategy is further adopted to construct the aerodynamic load fusion model. The test results show that the average prediction error of the model is 3.17%, and compared with the prediction model based on single data training (an average error of 5.70%), the combined depth neural network fusion modeling method (an average error of 5.11%), and the Gauss process regression uncertainty weighted fusion modeling method (an average error of 6.16%), the multi-source data fusion method proposed in this paper achieves higher accuracy prediction. Generalizability tests show that the pre-training fine-tuning model proposed in this paper has good generalized ability, and the average error of the prediction model is reduced by 11.19% compared to the single data source in the extrapolation case.

Key words: vehicles, transfer learning, digital twins, distributed loads, data fusion

中图分类号: