航空学报 > 2026, Vol. 47 Issue (4): 132280-132280   doi: 10.7527/S1000-6893.2025.32280

分布式推进飞行器纵向气动/推进耦合效应

刘备, 达兴亚(), 朱耀武, 易渊   

  1. 中国空气动力研究与发展中心 高速空气动力研究所,绵阳 621001
  • 收稿日期:2025-05-22 修回日期:2025-06-27 接受日期:2025-07-31 出版日期:2025-08-13 发布日期:2025-08-11
  • 通讯作者: 达兴亚 E-mail:daxingya@cardc.cn
  • 基金资助:
    太行实验室科研项目(A2053)

Longitudinal aerodynamic/propulsion coupling effects of a distributed propulsion aircraft

Bei LIU, Xingya DA(), Yaowu ZHU, Yuan YI   

  1. High Speed Aerodynamics Research Institute,China Aerodynamics Research and Development Center,Mianyang 621001,China
  • Received:2025-05-22 Revised:2025-06-27 Accepted:2025-07-31 Online:2025-08-13 Published:2025-08-11
  • Contact: Xingya DA E-mail:daxingya@cardc.cn
  • Supported by:
    Taihang Laboratory Research Project (A2053)

摘要:

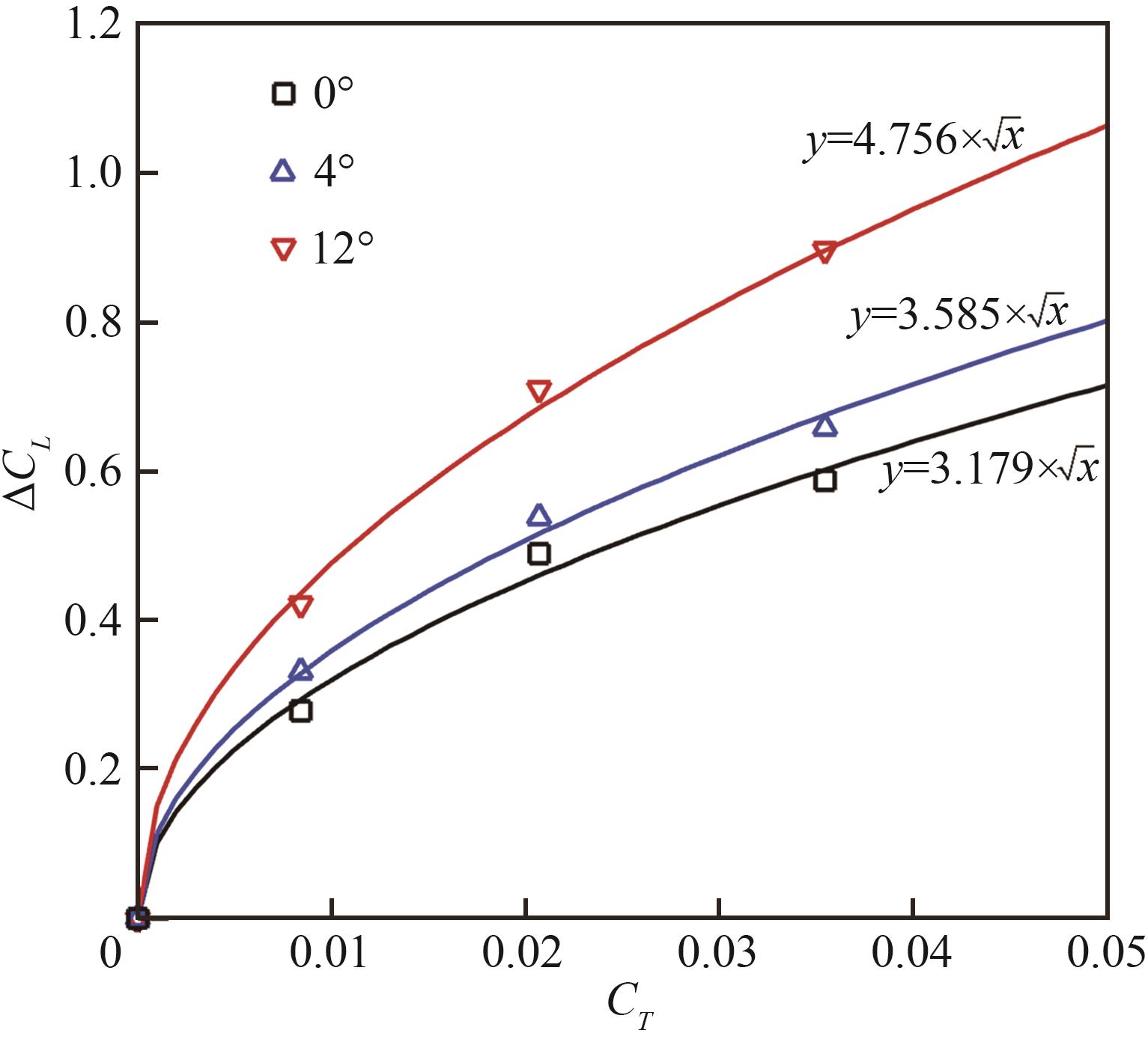
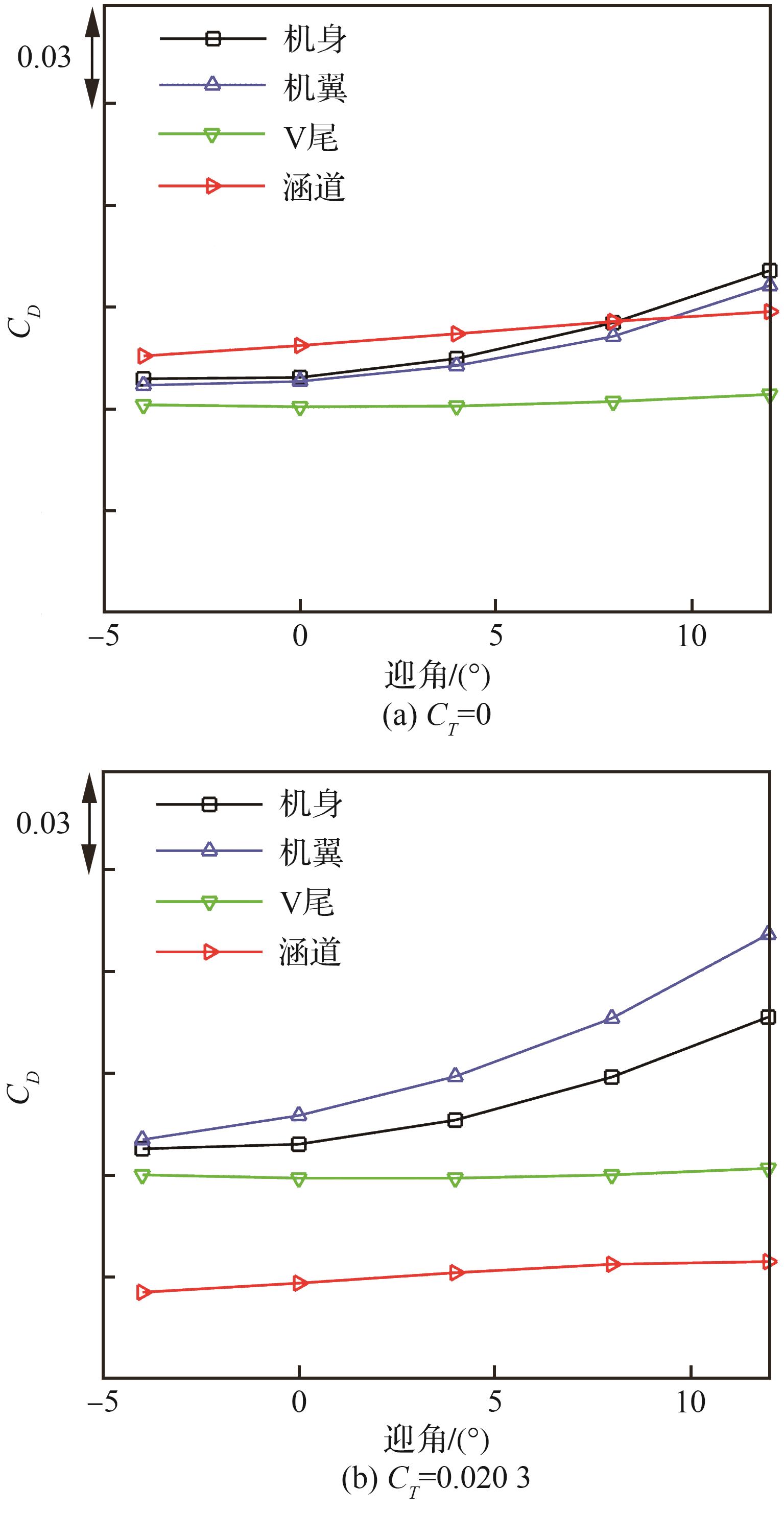
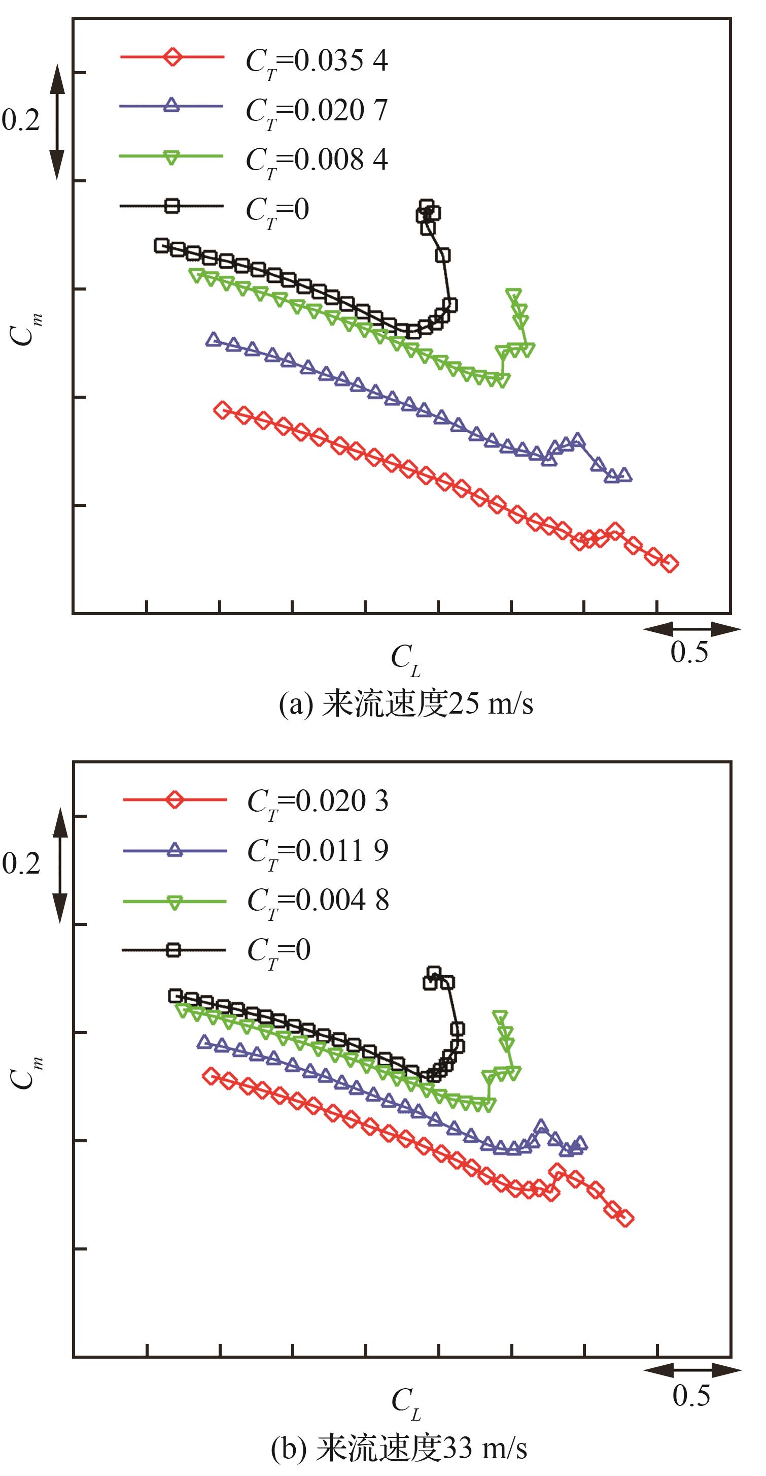
翼面分布式涵道风扇布局飞行器在增升、增控、降噪等方面具有巨大的应用潜力。为深入探索该类布局的纵向气动耦合效应,针对一种具有翼/身融合、涵道/机翼融合特征的新型分布式推进飞行器,采用风洞试验和数值模拟相结合的方法,开展了纵向气动/推进耦合效应研究。其中,风洞试验采用高精度六分量天平进行全机测力,数值模拟采用高效进排气边界法,通过引入风扇盘推力概念对气动力进行修正,修正后的气动力与风洞试验结果吻合良好,验证了计算方法的可靠性。分析结果表明,纵向气动/推进耦合效应与风扇盘推力系数密切相关,升力、阻力和俯仰力矩系数随风扇盘推力系数增大分别增大、减小、减小;升力增量与风扇盘推力系数的1/2次方成正比,比例系数随迎角增大而增大;升力线斜率随风扇盘推力增大而略有增加,飞行器纵向静稳定性则基本不受风扇盘推力影响。

关键词: 分布式推进, 涵道风扇, 气动/推进耦合, 风洞试验, 飞行器

Abstract:

An aircraft with wing-mounted distributed propulsion has great application potential in lift increase, control, noise reduction, etc. In order to explore the longitudinal aerodynamic coupling effect of the configuration, the longitudinal aerodynamic/propulsion coupling effect of a new type of distributed propulsion aircraft with wing/body fusion and ducted/wing fusion was studied by wind tunnel test and numerical simulation. The wind tunnel test uses a high-precision six-component balance to measure the force of the aircraft, and the numerical simulation uses high-efficiency intake and exhaust boundary method. The aerodynamic force is modified by introducing the concept of fan disk thrust, and the modified aerodynamic force is in good agreement with the wind tunnel test results, which verifies the reliability of the calculation method. The analysis results show that the longitudinal aerodynamic/propulsion coupling effect is closely related to the fan disk thrust coefficient, and the lift, drag and pitching moment coefficients increase, decrease and decrease respectively with the increase of the fan disk thrust coefficient; the lift increase of the ducted fans is proportional to the square root of the thrust coefficient, and the proportional coefficient increases with the increase of angle of attack; the slope of the curve of lift coefficient changing with angle of attack increases slightly with the increase of the fan disk thrust; the fan disk thrust has little influence on the longitudinal static stability of the aircraft.

Key words: distributed propulsion, ducted fans, aerodynamic/propulsion coupling, wind tunnel test, aircraft

中图分类号: