吴军强1, 魏志1, 刘洋2, 钟敏3, 杨福军1, 余永刚1,4(
)
收稿日期:2025-03-27
修回日期:2025-07-22
接受日期:2025-08-15
出版日期:2025-08-29
发布日期:2025-08-28
通讯作者:
余永刚
E-mail:29009318@qq.com
基金资助:
Junqiang WU1, Zhi WEI1, Yang LIU2, Min ZHONG3, Fujun YANG1, Yonggang YU1,4(
)
Received:2025-03-27
Revised:2025-07-22
Accepted:2025-08-15
Online:2025-08-29
Published:2025-08-28
Contact:
Yonggang YU
E-mail:29009318@qq.com
Supported by:摘要:
为使以商业化市场运营为最终目的的商用飞机顺利取得适航认证和市场成功,首先需要解决总体气动设计难题,满足“安全性、经济性、舒适性、环保性”指标要求。风洞试验作为最为重要的地面模拟试验,评估分析飞机总体气动设计效果,获取支撑飞机结构、强度、飞行控制等专业设计的气动力输入条件,其试验质量及控制措施的完备性、有效性直接决定着试验结果的可信度,影响飞机设计水平和气动优化效果。在简要介绍民机标准模型(简称标模)概念及内涵、世界典型民机标模及其气动数据库建设效果的基础上,阐述了中国民机标模发展历程、体系设计及数据库建设情况,分析了CHN-T2、CHN-T1、CAE-AVM 3个标模基本状态的气动特性以及中国民机标模体系发展建设存在的差距不足,提出了下一步工作设想。
中图分类号:
吴军强, 魏志, 刘洋, 钟敏, 杨福军, 余永刚. 民机标准模型体系及气动主题数据库建设[J]. 航空学报, 2025, 46(24): 132030.
Junqiang WU, Zhi WEI, Yang LIU, Min ZHONG, Fujun YANG, Yonggang YU. Civil aircraft standard model system and construction of aerodynamic subject database[J]. Acta Aeronautica et Astronautica Sinica, 2025, 46(24): 132030.
表1
中国与美欧民机标模对比
| 标模名称 | 中国CAE- AVM[ 原尺寸模型 | 中国CHN- T1[ 尺寸模型 | 中国 CHN-T2[ 原尺寸模型 | 美国NASA- CRM[ 尺寸模型 | 法国 ONERA-M[ 试验模型 | 德国DLR-F4/F6[ 模型 | |
|---|---|---|---|---|---|---|---|
设计 参数 | 巡航马赫数 | 0.85 | 0.78 | 0.85 | 0.85 | 0.84 | 0.75 |
| 巡航升力 | 0.5 | 0.5 | 0.48 | 0.5 | 0.5 | ||
| 机长/m | 35.02 | 30.28 | 63.07 | 62.76 | 8.45 | 1.192 | |
| 翼展/m | 30.18 | 29.78 | 61 | 58.76 | 7.84 | 1.171 | |
| 面积/m2 | 100.26 | 95.35 | 388.65 | 383.69 | 8.42 | 0.145 4 | |
| 平均气动弦长/m | 4.373 | 3.724 | 8.11 | 7.005 | 1.094 | 0.141 2 | |
| 前缘后掠角/(°) | 37 | 27.2 | 35.4 | 36.4 | 30 | 27.1 | |
1/4弦线后 掠角/(°) | 35 | 25 | 30.9 | 35 | 25 | ||
| 展弦比 | 9.0 | 9.3 | 9.57 | 9.0 | 7.31 | 9.5 | |
标模 构型 | 基本构型 | 支线飞机 尾吊短舱 WBVHNP布局 | 窄体干线飞机 翼吊短舱 WBVHNP布局 | 宽体干线飞机 翼吊短舱 WBVHNP布局 | 宽体干线飞机 翼吊短舱 WBHNP布局 | 窄体干线飞机 WBVH布局 | 窄体干线飞机 翼吊短舱 WBNP布局 |
| 增升构型 | 有 | 无 | 有 | 有 | 无 | 无 | |
| 动力短舱 | 有 | 有 | 有 | 有 | 无 | 有 | |
| 层流机翼 | 无 | 无 | 有 | 有 | 无 | 无 | |
| 典型气动特性 | WBVHNP布局Re=2×107时巡航升阻比约为17.6[ | WBVH布局Re=2.09×107时巡航升阻比约为19.2[ | WBVH布局Re=5.22×107时巡航升阻比约为21.8,Re=5×106时最大升阻比约为16.8[ | WB布局Re=5×106时巡航升阻比约为20.1[ | WBVH布局 Re=2×106时 来流迎角α=0°状态点的升阻比约为12[ | WB布局(F6)Re=3×106时巡航升阻比约为16.9[ | |
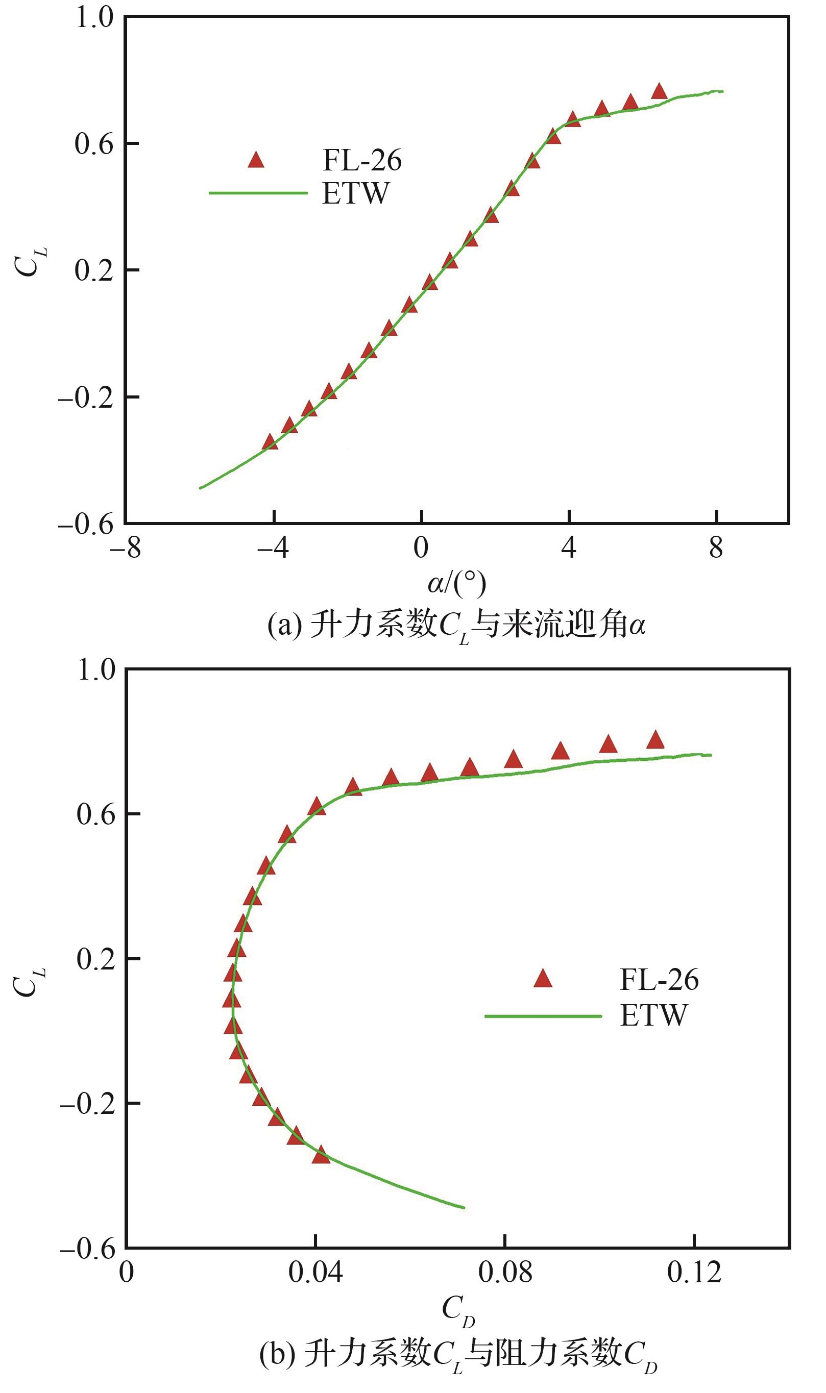
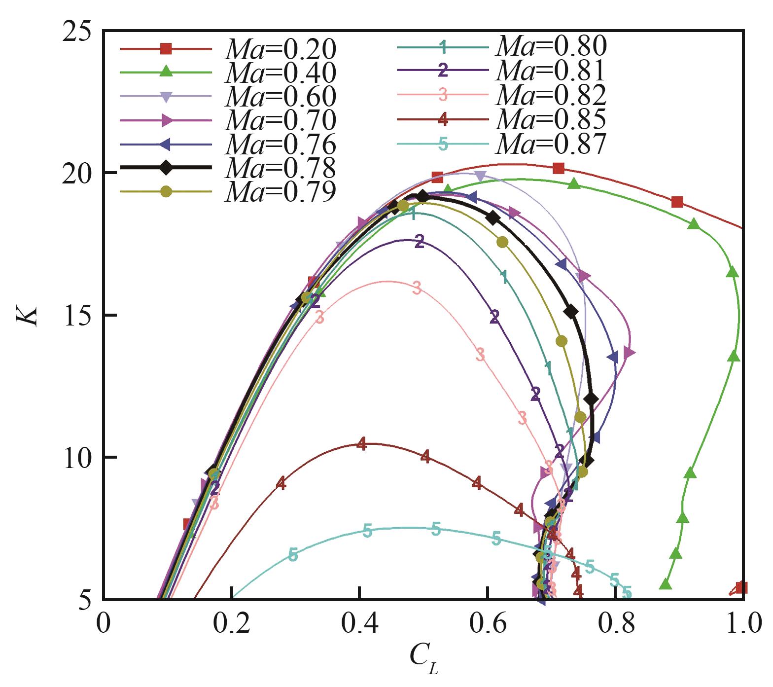
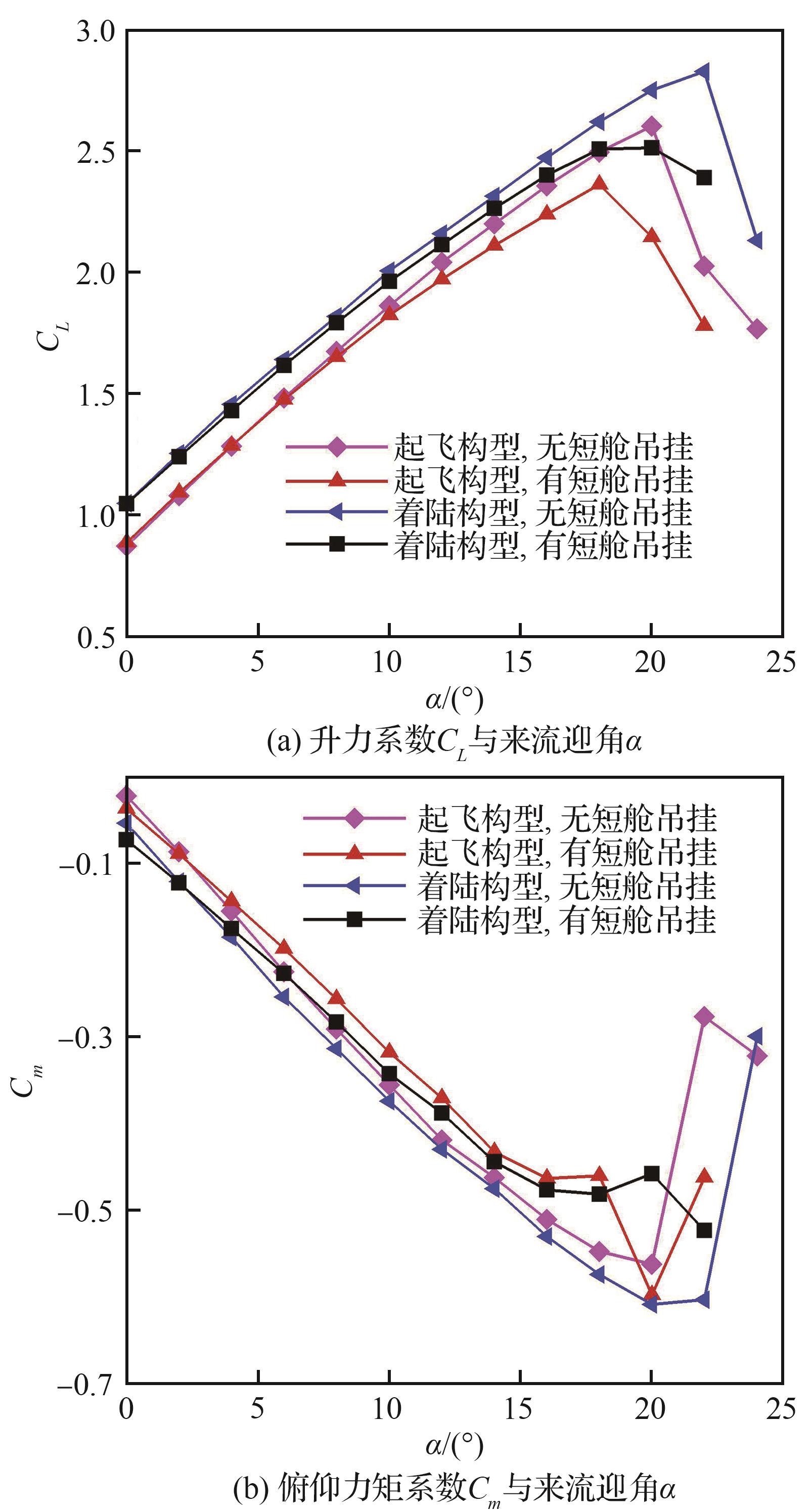
| 数据库构建及应用 | 2010年启动研 制,2013年起在 FL-19、FL-62、 FL-51、DNW- HST、DNW- LLF等风洞先后开展了巡航构型、增升构型的气动力、气动载荷、气动噪声、流动显示等试验,作为2016年首届CFD与风洞数据相关性研究国际研讨会的核心研究模型进行了公开发布 | 2010年启动研 制,2012年起 在DNW-LLF、ETW、FL-11、FL-12、FL-13、FL-17、FL-26等风洞先后开展了巡航构型的气动力、气动载荷、流动显示等试验,作为2018年第一届航空CFD可信度研讨会(AeCW-1)的核心研究模型进行了公开发布 | 2015年启动研制,2018年起在FL-13、FL-17、FL-26、CTW等风洞先后开展了巡航构型气动力等高/低速试验,2022年起还开展了对应增升装置、动力短舱、层流机翼等特殊构型气动力试验,支撑即将召开的第二届航空CFD可信度研讨会(AeCW-2) | 2007年启动研制,2010年起在美国NTF、11英尺跨声速、欧洲ETW、日本JTWT等风洞先后开展巡航构型、增升构型的气动力、表面压力、机翼弹性变形、流动显示等试验,支撑了阻力预测会议DPW-Ⅳ~Ⅵ、高升力预测会议HiLiftPW-3 和HiLiftPW-5 等研讨会 | 20世纪70年代启动研制,先后在VTI的T-35、T-38、巴西TA-2、日本JTWT等风洞开展相关试验,1979年构建了包含气动力、表面压力、表面流动等信息的数据库,为欧洲空客和美国波音民用飞机的研究发展做出了贡献 | 20世纪80年代启动研制,先后在法国S2MA、德国B-LSWT、欧洲ETW、英国ARA和DNW所辖风洞等风洞开展了巡航构型、增升构型的气动力、表面流动、转捩等试验,支撑了DPW-Ⅰ~Ⅲ、HiLiftPW-2等研讨会 | |
表3
中国民机标模体系及数据库构成
| 特性领域 | 标模 | 构型 | 数据特色 |
|---|---|---|---|
| 基础气动特性 | CHN-T1 CHN-T2 CAE-AVM | CHN-T1巡航构型 CHN-T2巡航构型 CAE-AVM巡航构型 | 基础气动特性数据库包含高/低速气动力、气动载荷、流场信息等风洞试验和数值计算数据,以及支撑干扰、洞壁干扰、模型变形等修正数据,主要用于CFD方法校验、风洞试验技术研发、流场品质检查、试验质量控制和风洞试验能力适配性综合评估等 |
| 雷诺数影响特性 | CHN-T2 CAE-AVM | CHN-T2巡航构型 CAE-AVM巡航构型 | 雷诺数影响特性数据库包含不同雷诺数下气动力、气动载荷、抖振特性、阻力发散特性等风洞试验和数值计算数据,主要用于雷诺数效应预测与评估技术验证 |
| 层流转捩特性 | CHN-T2 | CHN-T2层流机翼构型 | 层流转捩特性数据库包含不同后掠角、不同马赫数、不同雷诺数等状态下机翼层流转捩的风洞试验和数值计算数据,主要用于层流设计与转捩评估技术验证 |
| 增升降噪特性 | CHN-T2-HL CAE-AVM-HL | CHN-T2机械增升构型 CAE-AVM机械增升构型 | 增升降噪特性数据库包含增升装置打开状态下的起降构型气动力、气动载荷、气动噪声等风洞试验和数值计算数据,主要用于增升装置方案设计与特性评估技术验证 |
| 动力影响特性 | CHN-T2-EN | CHN-T2动力短舱构型 | 动力影响数据库包含涡扇动力影响、短舱反推影响、动力系统典型部件流场结构等风洞试验和数值计算数据,主要用于动力短舱设计与动力效应评估技术验证 |
| 射流流动控制特性 | CHN-T2-WJET CHN-T2-VJET | CHN-T2射流增升构型 CHN-T2射流增控构型 | 射流流动控制数据库包含垂尾射流流动控制、后缘襟翼射流流动控制、大尺度翼段射流流动控制等风洞试验和数值计算数据,主要用于射流流动控制方案设计及效能综合评估技术验证 |
| 防除冰特性 | CHN-T2-ICE | CHN-T2防除冰翼段构型 | 防除冰特性数据库包含超疏水表面基础信息、超疏水表面气动影响信息和超疏水表面防除冰影响等风洞试验和数值计算数据,主要用于复合式防除冰系统的气动性能影响评估及防除冰方案设计技术验证 |
| [1] | HULST D. Commercial market outlook 2024-2043[EB/OL]. Crystal City: The Boeing Company, 2024. (2024-07-16) [2025-03-24]. . |
| [2] | 中国(上海)自由贸易试验区临港新片区民用航空产业专项规划( 2021—2025)[EB/OL]. (2021-8-28) [2025-03-24]. . |
| Special plan for the civil aviation industry in China (Shanghai) pilot free trade zone Lingang new area (2021—2025)[EB/OL]. (2021-8-28) [2025-03-24]. (in Chinese). | |
| [3] | 方向, 于连超, 任思源, 等. 标准参考数据的科学内涵及发展战略研究[J]. 中国工程科学, 2023, 25(3): 230-238. |
| FANG X, YU L C, REN S Y, et al. Scientific connotation and development strategy of standard reference data[J]. Strategic Study of CAE, 2023, 25(3): 230-238 (in Chinese). | |
| [4] | RIVERS M B. NASA common research model: A history and future plans[C]∥AIAA Aviation 2019 Forum. Reston: AIAA, 2019. |
| [5] | HUE D, GAZAIX M, ESQUIEU S. Computational drag and moment prediction of the DPW4 configuration using the elsA software[C]∥28th AIAA Applied Aerodynamics Conference. Reston: AIAA, 2010. |
| [6] | 刘银辉, 吴东润, 杜玺, 等. 跨声速自然层流标模CRM-NLF风洞试验快速转捩预测[J]. 空气动力学学报, 2023, 41(7): 36-47. |
| LIU Y H, WU D R, DU X, et al. Fast transition prediction for wind tunnel testing of the transonic natural laminar flow standard model CRM-NLF[J]. Acta Aerodynamica Sinica, 2023, 41(7): 36-47 (in Chinese). | |
| [7] | 战培国, 罗月培. 飞行器风洞试验标模体系研究初探[J]. 标准科学, 2011(11): 28-31. |
| ZHAN P G, LUO Y P. Primary research on the standard system of air vehicle calibration models used in wind tunnel test[J]. Standard Science, 2011(11): 28-31 (in Chinese). | |
| [8] | OKI Y, UCHIYAMA N. Evaluation of transonic flow analysis around ONERA model M5 configuration using casper-hybrid unstructured Navier-Stokes code[C]∥ 24th International Congress of the Aeronautical Sciences. 2004. |
| [9] | DAMLJANOVIĆ D, VUKOVIĆ Đ, OCOKOLJIĆ G, et al. Wind tunnel testing of ONERA-M, AGARD-B and HB-2 standard models at off-design conditions[J]. Aerospace, 2021, 8(10): 275. |
| [10] | YOSHIDA K, UEDA Y, NOGUCHI M. Experimental and numerical analysis on lift and transition characteristics of ONERA-M5 configuration model[C]∥25th International Congress of the Aeronautical Sciences. 2006. |
| [11] | REIS M C, SOUZA M S, ARAÚJO M C, et al. Aerodynamic loads acting on the M5/ONERA/IAE aeronautical standard model[J]. Journal of Physics: Conference Series, 2019, 1379(1): 012009. |
| [12] | 李权, 郭兆电, 邓一菊, 等. 运输类飞机巡航阻力CFD计算分析[J]. 航空工程进展, 2011, 2(4): 402-408. |
| LI Q, GUO Z D, DENG Y J, et al. CFD analysis for transport’s cruise drag prediction[J]. Advances in Aeronautical Science and Engineering, 2011, 2(4): 402-408 (in Chinese). | |
| [13] | 李权, 魏剑龙, 张彦军. 考虑转捩影响的DLR-F4翼身组合体阻力计算[J]. 计算机辅助工程, 2011, 20(4): 72-76. |
| LI Q, WEI J L, ZHANG Y J. Drag calculation of DLR-F4 wing-body combination considering transition effect[J]. Computer Aided Engineering, 2011, 20(4): 72-76 (in Chinese). | |
| [14] | 华俊, 钟敏, 郑遂, 等. CAE-AVM标模巡航构型的设计和数据库应用[J]. 空气动力学学报, 2022, 40(4): 133-147, 132. |
| HUA J, ZHONG M, ZHENG S, et al. Design and database applications of CAE-AVM model cruise configuration[J]. Acta Aerodynamica Sinica, 2022, 40(4): 133-147, 132 (in Chinese). | |
| [15] | 王浩, 华俊, 钟敏. CAE-AVM模型巡航构型风洞试验[J]. 空气动力学学报, 2022, 40(4): 148-157. |
| WANG H, HUA J, ZHONG M. Wind-tunnel test of cruise configuration of CAE-AVM model[J]. Acta Aerodynamica Sinica, 2022, 40(4): 148-157 (in Chinese). | |
| [16] | 钟敏, 华俊, 王浩, 等. 民机标模高升力构型CAE-AVM-HL设计及验证[J]. 空气动力学学报, 2022, 40(4): 158-167. |
| ZHONG M, HUA J, WANG H, et al. Design and verification of high-lift configuration of civil aircraft standard model CAE-AVM-HL[J]. Acta Aerodynamica Sinica, 2022, 40(4): 158-167 (in Chinese). | |
| [17] | 余永刚, 周铸, 黄江涛, 等. 单通道客机气动标模CHN-T1设计[J]. 空气动力学学报, 2018, 36(3): 505-513. |
| YU Y G, ZHOU Z, HUANG J T, et al. Aerodynamic design of a standard model CHN-T1 for single-aisle passenger aircraft[J]. Acta Aerodynamica Sinica, 2018, 36(3): 505-513 (in Chinese). | |
| [18] | 李强, 刘大伟, 许新, 等. CHN-T1标模2.4米风洞气动特性试验研究[J]. 空气动力学学报, 2019, 37(2): 337-344. |
| LI Q, LIU D W, XU X, et al. Experimental study of aerodynamic characteristics of CHN-T1 standard model in 2.4 m transonic wind tunnel[J]. Acta Aerodynamica Sinica, 2019, 37(2): 337-344 (in Chinese). | |
| [19] | 刘红阳, 周铸, 余永刚, 等. 宽体客机气动标模CHN-T2设计[J]. 空气动力学学报, 2023, 41(10): 15-29. |
| LIU H Y, ZHOU Z, YU Y G, et al. Design of a standard aerodynamic model CHN-T2 for wide-body aircraft[J]. Acta Aerodynamica Sinica, 2023, 41(10): 15-29 (in Chinese). | |
| [20] | 王运涛. DPW Ⅳ~DPW Ⅵ数值模拟技术综述[J]. 航空学报, 2018, 39(4): 021836. |
| WANG Y T. An overview of DPW Ⅳ-DPW Ⅵ numerical simulation technology[J]. Acta Aerodynamica et Astronautica Sinia, 2018, 39(4): 021836 (in Chinese). | |
| [21] | 王运涛. HiLiftPW-1~HiLiftPW-3数值模拟技术综述[J]. 航空学报, 2018, 39(7): 021997. |
| WANG Y T. An overview of HiLiftPW-1 to HiLiftPW-3 numerical simulation technologies[J]. Acta Aeronautica et Astronautica Sinica, 2018, 39(7): 021997 (in Chinese). | |
| [22] | 洪俊武, 王运涛, 李伟, 等. HiLiftPW-3高升力构型数值模拟[J]. 航空学报, 2019, 40(3): 122391. |
| HONG J W, WANG Y T, LI W, et al. Numerical simulation of high-lift configuration from HiLiftPW-3[J]. Acta Aeronautica et Astronautica Sinica, 2019, 40(3): 122391 (in Chinese). | |
| [23] | VOS J, SANCHI S, GEHRI A. DPW4 results using different grids including near-field/far-field drag analysis[C]∥28th AIAA Applied Aerodynamics Conference. Reston: AIAA, 2010. |
| [24] | 张耀冰, 邓有奇, 吴晓军, 等. DLR-F6翼身组合体数值计算[J]. 空气动力学学报, 2011, 29(2): 163-169. |
| ZHANG Y B, DENG Y Q, WU X J, et al. Drag prediction of DLR-F6 using MFlow unstructured mesh solver[J]. Acta Aerodynamica Sinica, 2011, 29(2): 163-169 (in Chinese). | |
| [25] | 李广宁, 李凤蔚, 周志宏. 运输类飞机气动力分析软件ATTF的开发与验证[J]. 西北工业大学学报, 2011, 29(1): 148-152. |
| LI G N, LI F W, ZHOU Z H. Validation of a new developed aerodynamics analysis toolkit for civil aircraft configurations[J]. Journal of Northwestern Polytechnical University, 2011, 29(1): 148-152 (in Chinese). | |
| [26] | 李强,刘大伟,陈德华,等. 高速风洞中大型飞机典型支撑方式干扰特性研究[J].空气动力学学报,2019,37(1):68-74. |
| Li Q, LIU D W, CHEN D H, et al. The study of intererence characteristics of typical support struts on large aircraft in high-speed wind tunnels[J]. Acta Aerodynamica Sinica, 2019, 37(1): 68-74 (in Chinese). | |
| [27] | 钟敏, 华俊, 孙侠生, 等. 空气动力学验证模型与CFD-风洞数据相关性[J]. 航空科学技术, 2020, 31(1): 1-16. |
| ZHONG M, HUA J, SUN X S, et al. Data correlation between aerodynamic validation model and CFD-wind tunnel[J]. Aeronautical Science & Technology, 2020, 31(1): 1-16 (in Chinese). | |
| [28] | HUA J, ZHENG S, ZHONG M, et al. Recent development of a CFD-wind tunnel correlation study based on CAE-AVM investigation[J]. Chinese Journal of Aeronautics, 2018, 31(3): 419-428. |
| [29] | ZHONG M, ZHENG S, WANG G L, et al. Correlation analysis of combined and separated effects of wing deformation and support system in the CAE-AVM study[J]. Chinese Journal of Aeronautics, 2018, 31(3): 429-438. |
| [30] | GEBBINK R, WANG G L, ZHONG M. High-speed wind tunnel test of the CAE aerodynamic validation model[J]. Chinese Journal of Aeronautics, 2018, 31(3): 439-447. |
| [31] | 张晖, 范利涛. CHN-T1标模大型低速风洞试验结果相关性分析[J]. 实验流体力学, 2019, 33(3): 106-111. |
| ZHANG H, FAN L T. Correlation analysis of large low speed wind tunnel test on CHN-T1 calibration model[J]. Journal of Experiments in Fluid Mechanics, 2019, 33(3): 106-111 (in Chinese). | |
| [32] | 李伟, 王运涛, 洪俊武, 等. 采用TRIP3.0模拟CHN-T1模型气动特性[J]. 空气动力学学报, 2019, 37(2): 272-279. |
| LI W, WANG Y T, HONG J W, et al. Aerodynamic characteristics simulation of CHN-T1 model with TRIP 3.0[J]. Acta Aerodynamica Sinica, 2019, 37(2): 272-279 (in Chinese). | |
| [33] | 李浩然, 李亚坤, 张宇飞, 等. CHN-T1标模的数值计算及气动特性研究[J]. 空气动力学学报, 2019, 37(2): 329-336. |
| LI H R, LI Y K, ZHANG Y F, et al. Numerical simulation and aerodynamic performance analysis of the standard model CHN-T1[J]. Acta Aerodynamica Sinica, 2019, 37(2): 329-336 (in Chinese). | |
| [34] | 王年华, 常兴华, 赵钟, 等. 基于HyperFLOW平台的客机标模CHN-T1气动性能预测及可信度研究[J]. 空气动力学学报, 2019, 37(2): 301-309. |
| WANG N H, CHANG X H, ZHAO Z, et al. Aerodynamic performance prediction and credibility study of the transport model CHN-T1 based on HyperFLOW solver[J]. Acta Aerodynamica Sinica, 2019, 37(2): 301-309 (in Chinese). | |
| [35] | 聂胜阳, 王垠, 刘志强, 等. 基于S-A与SSG/LRR-ω两种湍流模型的CHN-T1标模计算与分析[J]. 空气动力学学报, 2019, 37(2): 310-319, 328. |
| NIE S Y, WANG Y, LIU Z Q, et al. Numerical inverstigation and discussion on CHN-T1 benchmark model using Spalart-Allmaras model and SSG/LRR-ω model[J]. Acta Aerodynamica Sinica, 2019, 37(2): 310-319, 328 (in Chinese). | |
| [36] | 张耀冰, 唐静, 陈江涛, 等. 基于非结构混合网格的CHN-T1标模气动特性预测[J]. 空气动力学学报, 2019, 37(2): 262-271. |
| ZHANG Y B, TANG J, CHEN J T, et al. Aerodynamic characteristics prediction of CHN-T1 standard model with unstructured grid[J]. Acta Aerodynamica Sinica, 2019, 37(2): 262-271 (in Chinese). | |
| [37] | 杜一鸣, 庞超, 舒博文, 等. 基于嵌套网格的CHN-T1标模数值模拟[J]. 空气动力学学报, 2019, 37(2): 280-290. |
| DU Y M, PANG C, SHU B W, et al. Numerical simulation of the standard model CHN-T1 based on overset grid[J]. Acta Aerodynamica Sinica, 2019, 37(2): 280-290 (in Chinese). | |
| [38] | 章锦威, 张小亮, 孙晓玲, 等. 运输机标模CHN-T1的验证确认计算研究[J]. 空气动力学学报, 2019, 37(2): 320-328. |
| ZHANG J W, ZHANG X L, SUN X L, et al. Research on validation and verification of Chinese transport model CHN-T1[J]. Acta Aerodynamica Sinica, 2019, 37(2): 320-328 (in Chinese). | |
| [39] | 王运涛, 刘刚, 陈作斌. 第一届航空CFD可信度研讨会总结[J]. 空气动力学学报, 2019, 37(2): 247-261, 246. |
| WANG Y T, LIU G, CHEN Z B. Summary of the first aeronautical computational fluid dynamics credibility workshop[J]. Acta Aerodynamica Sinica, 2019, 37(2): 247-261, 246 (in Chinese). | |
| [40] | 豆子皓, 吴军强, 高传强, 等. CHN-T2标模跨声速抖振特性及雷诺数效应研究[J]. 空气动力学学报, 2024, 42(8): 93-107. |
| DOU Z H, WU J Q, GAO C Q, et al. Transonic buffet characteristics and Reynolds number effects of CHN-T2 standard model[J]. Acta Aerodynamica Sinica, 2024, 42(8): 93-107 (in Chinese). | |
| [41] | 冯姣, 杨福军, 唐怡, 等. 基于标签的民机气动主题数据库研究与应用[J]. 计算机测量与控制, 2024, 32(6): 269-275. |
| FENG J, YANG F J, TANG Y, et al. Research and application on label-based aerodynamic subject database for civil aircraft[J]. Computer Measurement & Control, 2024, 32(6): 269-275 (in Chinese). | |
| [42] | 孟钰博, 史经纬, 周莉, 等. 异型喷口的多维偏转S弯喷管设计方法[J]. 航空学报, 2024, 45(8): 128930. |
| MENG Y B, SHI J W, ZHOU L, et al. Design method for multi-dimensional deflected serpentine nozzle with abnormal exit[J]. Acta Aeronautica et Astronautica Sinica, 2024, 45(8): 128930 (in Chinese). | |
| [43] | 孔垂欢, 吴大卫, 谭兆光, 等. 三翼面验证机纯电方案设计[J]. 航空学报, 2024, 45(6): 629618. |
| KONG C H, WU D W, TAN Z G, et al. Design of fully electric scheme for three-surface verification aircraft[J]. Acta Aeronautica et Astronautica Sinica, 2024, 45(6): 629618 (in Chinese). | |
| [44] | 李军府, 陈晴, 王伟, 等. 一种先进超声速民机低声爆高效气动布局设计[J]. 航空学报, 2024, 45(6): 629613. |
| LI J F, CHEN Q, WANG W, et al. Design of low sonic boom high efficiency layout for advanced supersonic civil aircraft[J]. Acta Aeronautica et Astronautica Sinica, 2024, 45(6): 629613 (in Chinese). |
| [1] | 王科雷, 周洲, 李明浩. 动力翼单元松耦合设计方法研究及试验验证[J]. 航空学报, 2025, 46(9): 212-229. |
| [2] | 魏礼响, 徐惊雷, 陈匡世, 黄帅, 葛建辉, 宋光韬. 宽域高超声速飞行器可调矢量喷管方案设计与性能研究[J]. 航空学报, 2025, 46(8): 631086-631086. |
| [3] | 易贤, 任靖豪, 赖庆仁, 刘宇, 王强. 大型飞机全尺寸多段翼结冰特性计算和试验[J]. 航空学报, 2025, 46(5): 531575-531575. |
| [4] | 李旭东, 钟伟, 王震, 王同光, 李金龙. 涵道螺旋桨桨盘推力占总推力比值规律研究[J]. 航空学报, 2025, 46(4): 230829-230829. |
| [5] | 万志强, 张珊珊, 王晓喆, 马靓, 许翱, 吴志刚, 杨超. 弹性飞机机动载荷分析与减缓技术综述[J]. 航空学报, 2025, 46(3): 30279-030279. |
| [6] | 梁彬, 赵俊波, 付增良, 周家检, 周平, 张石玉, 孙玮琪. 气体质量引射对钝锥俯仰特性的影响[J]. 航空学报, 2025, 46(3): 130822-130822. |
| [7] | 谢睿轩, 章子洋, 李锦烨, 包晗, 陆方寒, 王祁旻, 吴大卫. 远程超声速客机低声爆气动设计及评估[J]. 航空学报, 2025, 46(20): 531589-531589. |
| [8] | 王伟, 李军府, 钱丰学, 谭玉婷, 赵彦, 赵博文, 陈晴, 宋科. 一种超声速民机低声爆高效气动布局风洞试验[J]. 航空学报, 2025, 46(20): 531941-531941. |
| [9] | 张辉, 艾俊强, 秦坤, 唐祥希, 季军. 超声速引射排气系统推力特性风洞试验[J]. 航空学报, 2025, 46(20): 531934-531934. |
| [10] | 陈正武, 姜裕标, 卢翔宇, 李抢斌. 开式转子气动噪声风洞试验[J]. 航空学报, 2025, 46(2): 130425-130425. |
| [11] | 李学良, 李创创, 张亚寒, 苏伟, 吴杰. 分布式烧蚀形貌对高超声速平板边界层不稳定性影响[J]. 航空学报, 2025, 46(2): 130464-130464. |
| [12] | 蔡明, 高丽敏, 李瑞宇, 欧阳波, 刘波. 亚声速压气机平面叶栅风洞标准模型建立[J]. 航空学报, 2025, 46(2): 130547-130547. |
| [13] | 李瑞宇, 蔡明, 欧阳波, 高丽敏, 刘波, 刘宝杰. 典型高负荷大弯角压气机叶型的标准叶栅试验[J]. 航空学报, 2025, 46(16): 131651-131651. |
| [14] | 朱舟, 林麒, 何聪, 师璐, 詹磊, 沈楚伦, 韩东博. 基于绳牵引并联机器人悬挂支撑的旋转弹箭耦合运动风洞试验[J]. 航空学报, 2025, 46(16): 131683-131683. |
| [15] | 惠旭龙, 刘小川, 白春玉, 韩鹤朝, 张欣玥, 李肖成, 薛璞, 牟让科, 杨先锋. 民机机身框段和全机坠撞响应对比[J]. 航空学报, 2025, 46(15): 231597-231597. |
| 阅读次数 | ||||||
|
全文 |
|
|||||
|
摘要 |
|
|||||
版权所有 © 航空学报编辑部
版权所有 © 2011航空学报杂志社
主管单位:中国科学技术协会 主办单位:中国航空学会 北京航空航天大学

