导航

Acta Aeronautica et Astronautica Sinica ›› 2026, Vol. 47 ›› Issue (5): 432302.doi: 10.7527/S1000-6893.2025.32302

• Material Engineering and Mechanical Manufacturing • Previous Articles    

Role of configurational entropy in enhancing CMAS corrosion resistance of rare-earth zirconates

Shihua ZHANG1, Kunying DING1(), Zhongshen DONG2, Jianhai YU1, Yubo SUN1, Tao ZHANG1, Jiaxi YUAN1, Jintao LU1   

  1. 1.Tianjin Key Laboratory of Civil Aircraft Airworthiness and Maintenance,Civil Aviation University of China,Tianjin 300300,China
    2.Engineering & Technology Branch,China Southern Airlines Co. ,Ltd. ,Shenyang 110170,China
  • Received:2025-05-27 Revised:2025-06-30 Accepted:2025-08-04 Online:2025-08-12 Published:2025-08-11
  • Contact: Kunying DING E-mail:dingkunying@126.com
  • Supported by:
    National Key Research and Development Program(2023YFB4302400)

Abstract:

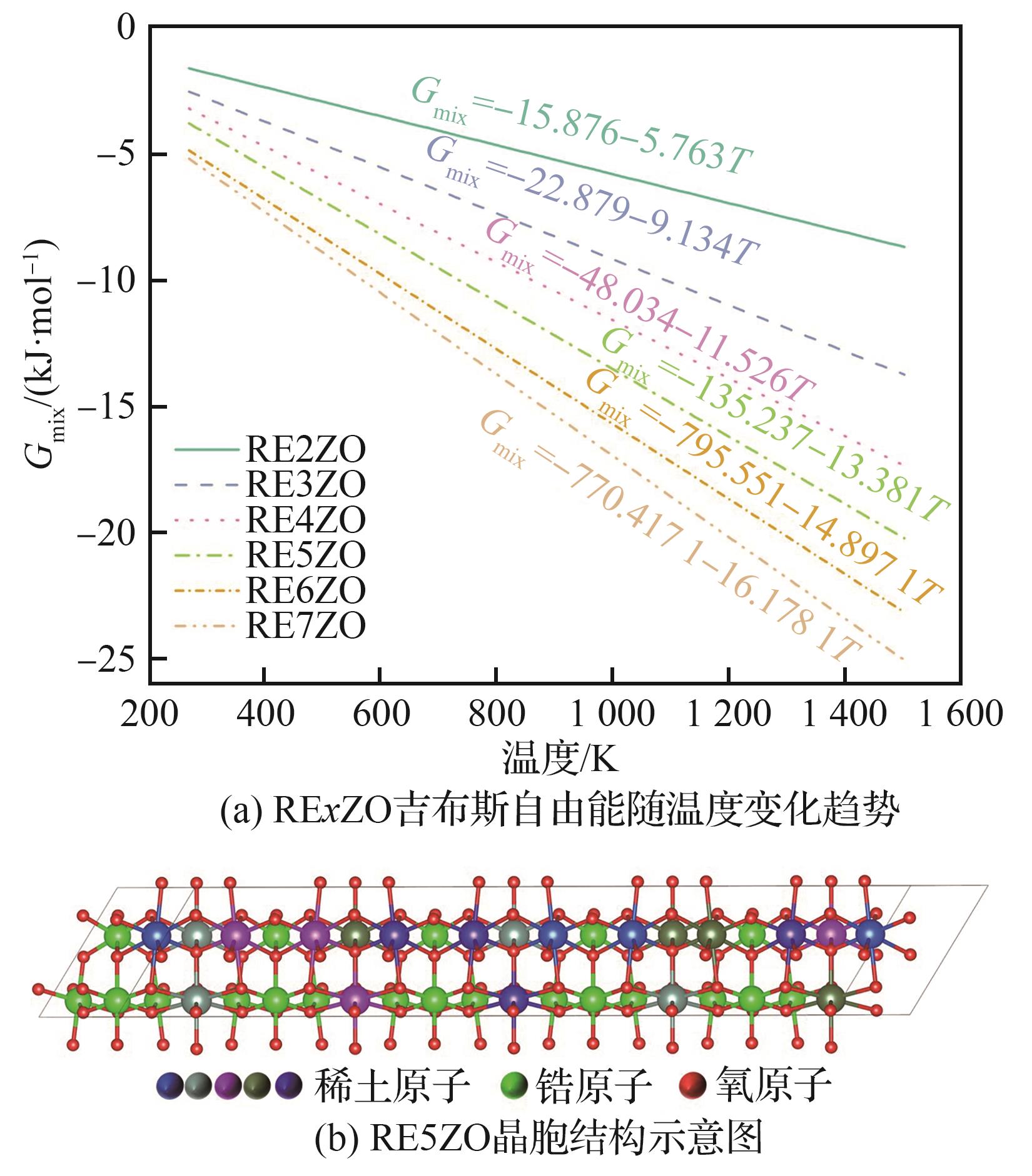
To investigate the influencing factors of CMAS corrosion resistance in rare-earth zirconates, seven low-, medium-, and high-entropy rare-earth zirconates RExZO (RE = Y, Ho, Dy, Er, Gd, Yb, Tm; x = 1-7) were prepared, and their CMAS corrosion behaviors at 1 300 ℃ were systematically studied. Results indicate that rare-earth zirconate materials undergo dissolution damage upon contact with CMAS at high temperatures, accompanied by the formation of a new apatite phase. The high-entropy structure facilitated the development of a dense reaction layer composed of apatite and fluorite phases through a “dissolution-reprecipitation” mechanism, significantly reducing the maximum infiltration depth from 80.6 μm for RE1ZO to 30.9 μm for RE7ZO (a 61.7% reduction). Influenced by ionic radius variations, dissolved rare-earth elements exhibited gradient diffusion into the apatite and fluorite phases. Correlation analyses reveal a significant positive relationship between corrosion depth and optical basicity difference, while showing significant negative correlations with configurational entropy and atomic size disorder. First-principles calculations and XPS results further confirm that high configurational entropy reduces the Gibbs free energy and oxygen vacancy concentration of rare-earth zirconates while enhancing elemental binding energy, thereby improving structural stability. Based on these findings, an optimization strategy for designing CMAS-resistant rare-earth zirconates is proposed: priority should be given to material combinations featuring low optical basicity difference, high configurational entropy, and high atomic size disorder.

Key words: rare-earth zirconate, configurational entropy, CMAS corrosion, thermal barrier coating, high-entropy ceramic

CLC Number: