导航

Acta Aeronautica et Astronautica Sinica ›› 2025, Vol. 46 ›› Issue (20): 531917.doi: 10.7527/S1000-6893.2025.31917

• Special Issue: Key Technologies for Supersonic Civil Aircraft • Previous Articles    

Design space geometric filtering and manifold reconstruction-enhanced gradient optimization design method for laminar flow wing

Jiecheng DU1,2, Hanyue RAO1,2, Tihao YANG1,2(), Junqiang AI3, Yifu CHEN1,2, Yayun SHI4,5, Junqiang BAI6,7   

  1. 1.School of Aeronautic,Northwestern Polytechnical University,Xi’an 710072,China
    2.National Key Laboratory of Aircraft Configuration Design,Xi’an 710072,China
    3.AVIC The First Aircraft Design Institute,Xi’an 710089,China
    4.School of Aerospace Engineering,Xi’an Jiaotong University,Xi’an 710049,China
    5.State Key Laboratory for Strength and Vibration of Mechanical Structures,Xi’an 710049,China
    6.Unmanned System Research Institute,Northwestern Polytechnical University,Xi’an 710072,China
    7.National Key Laboratory of Unmanned Aerial Vehicle Technology,Xi’an 710072,China
  • Received:2025-03-03 Revised:2025-04-01 Accepted:2025-04-29 Online:2025-05-20 Published:2025-05-19
  • Contact: Tihao YANG E-mail:yangtihao@nwpu.edu.cn

Abstract:

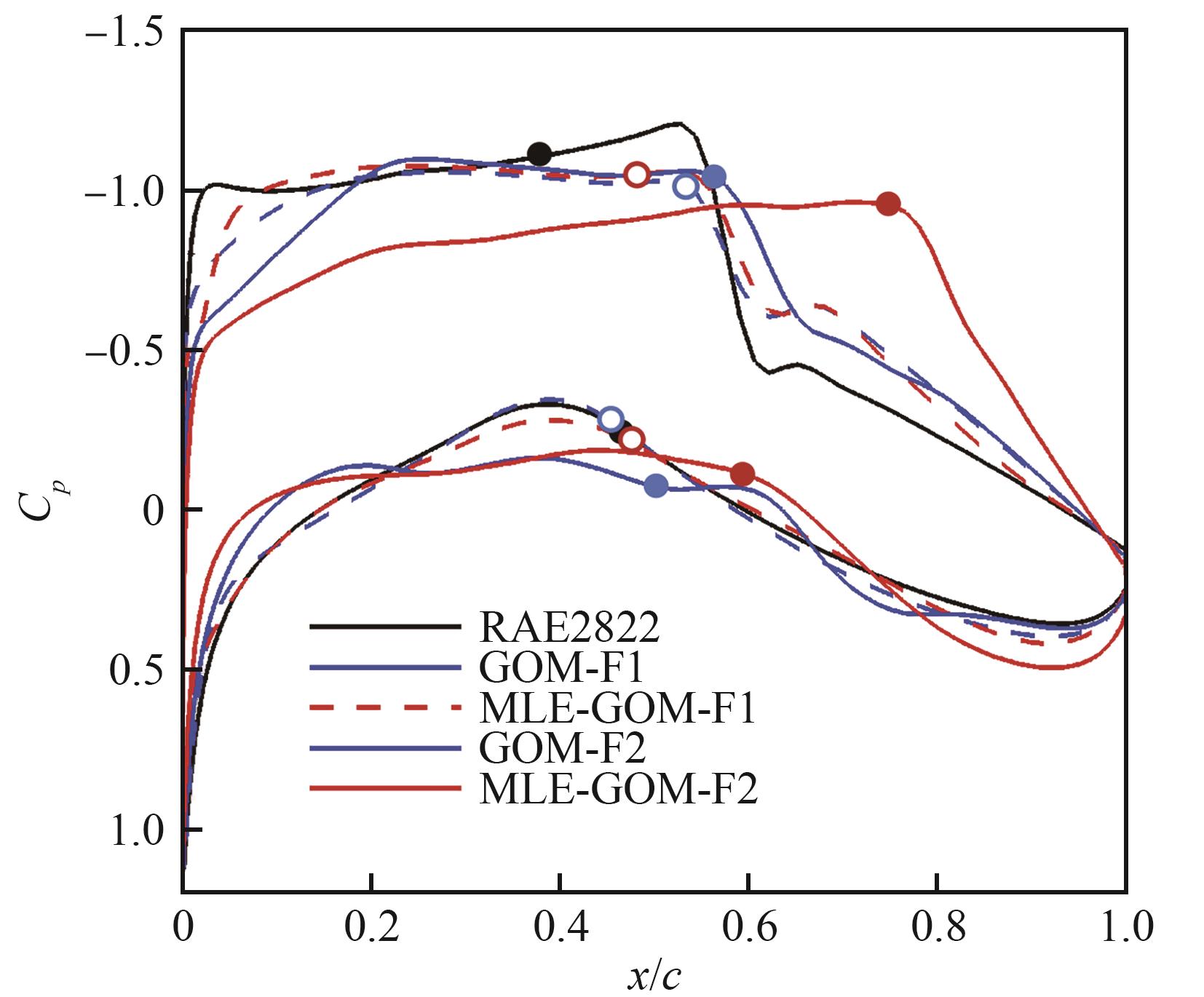
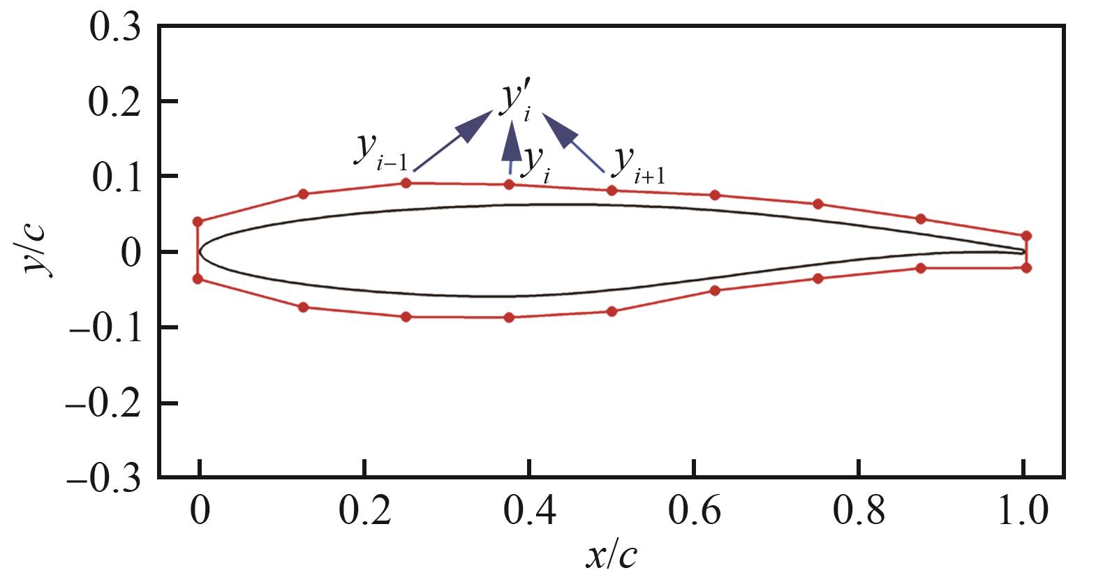
The discrete adjoint-based gradient optimization method is one of the pivotal technical approaches for achieving laminar drag reduction optimization. However, the sensitivity of laminar wing transition location and aerodynamic performance of laminar wings to variations in pressure distribution makes the aerodynamic optimization problem under multiple constraints highly nonlinear and prone to prominent multimodality. These challenges significantly increase the optimization difficulty of gradient-based methods and compromise their robustness. This paper introduces a design space reconstruction method based on geometric smoothing and the geometric representation of Grassmann manifolds, which filters out high geometrical distorted configurations and maps the high-dimensional design space to a more compact low-dimensional design space without geometric constraints. Coupled with the discrete adjoint method, a design space geometric filtering and manifold reconstruction-enhanced gradient optimization design method for laminar flow wings has been developed. Aerodynamic optimization studies on the RAE2822 airfoil using different geometric parameterization forms demonstrate that the proposed method significantly reduces the dependence of optimization results on specific parameterization schemes, and greatly improves algorithmic robustness compared to traditional gradient-based approaches. The gradient optimization method proposed in this paper is of significant importance for the development of efficient aerodynamic optimization technologies for full-aircraft laminar wings in practical engineering applications.

Key words: discrete adjoint, gradient optimization, Grassmann manifold, geometric smoothing, laminar flow drag reduction

CLC Number: