导航

Acta Aeronautica et Astronautica Sinica ›› 2025, Vol. 46 ›› Issue (20): 531936.doi: 10.7527/S1000-6893.2025.31936

• Special Issue: Key Technologies for Supersonic Civil Aircraft • Previous Articles    

Sonic boom prediction of supersonic passenger aircraft based on multi-fidelity deep neural network

Yutong WANG1,2, Xiao LUO1,2, Hongyang LIU1,2, Chao SONG1,2, Ying ZHAO1,3, Zhu ZHOU1,2()   

  1. 1.Institute of Computational Aerodynamics,China Aerodynamics Research and Development Center,Mianyang 621000,China
    2.State Key Laboratory of Aerodynamics,Mianyang 621000,China
    3.School of Aeronautics,Northwestern Polytechnical University,Xi’an 710072,China
  • Received:2025-03-05 Revised:2025-03-18 Accepted:2025-04-27 Online:2025-05-14 Published:2025-05-13
  • Contact: Zhu ZHOU E-mail:f-yforever@126.com

Abstract:

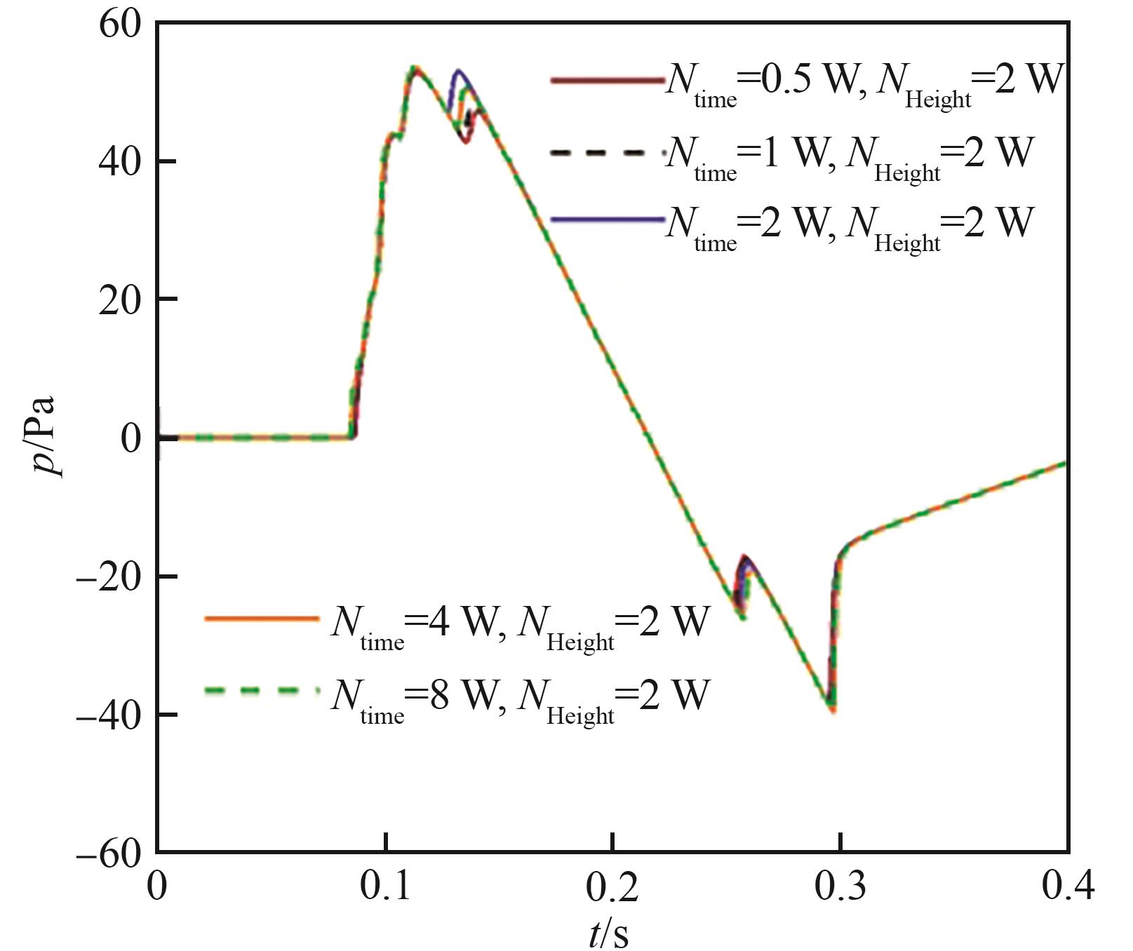
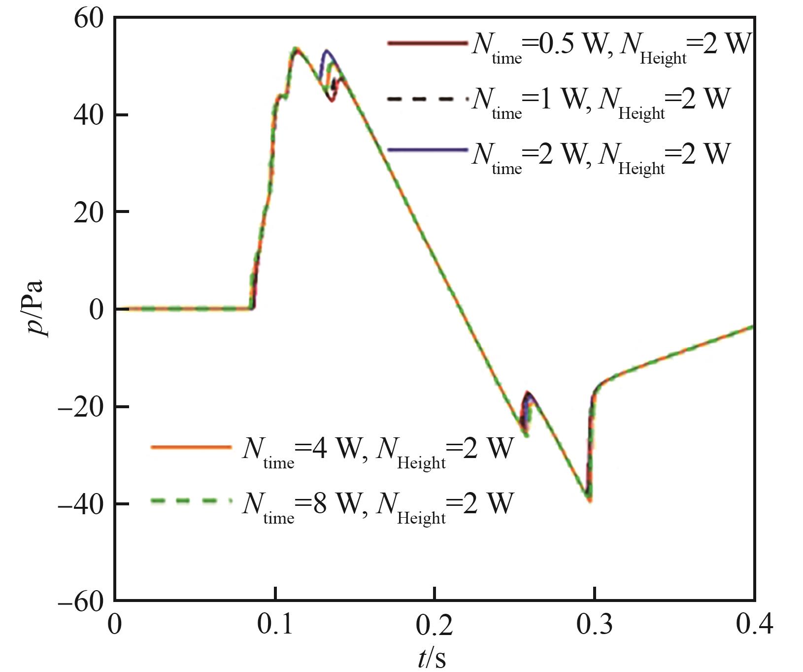
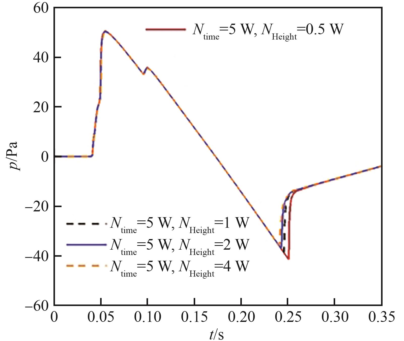
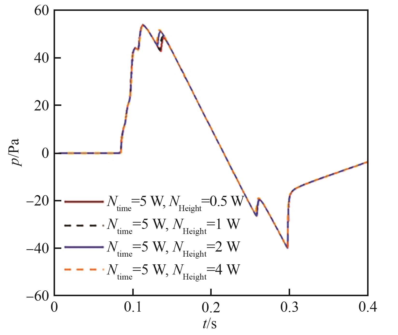
Sonic boom is a core issue restricting the development of supersonic passenger aircraft. Accurate prediction of sonic boom signatures is a prerequisite for the noise reduction design of supersonic passenger aircraft. In engineering, the sonic boom prediction method mainly combines Computational Fluid Dynamics (CFD) and acoustic propagation theory, in which the calculation accuracy of the near-field overpressure distribution is crucial, but the acquisition cost of high-precision solutions is high. To alleviate the contradiction between the cost and accuracy of sonic boom prediction, this paper uses a multi-fidelity deep neural network to construct the mapping relationship between the aerodynamic shape and the near-field overpressure distribution, and combines the acoustic propagation theory to achieve fast and accurate sonic boom prediction. Based on the analysis of the correlation characteristics between the high and low fidelity near-field overpressure data, this study explores the construction methods and prediction performance of deep neural networks under two different multi-fidelity modeling strategies. The experimental results show that by adding an adaptive search method, the MF-DNN based on the linear/nonlinear comprehensive correction strategy has both robustness and performance advantages, and by carefully designing the normalization method and regularization coefficient,the TF-DNN based on transfer learning achieves the smallest prediction error. Compared with the single-fidelity deep neural network, both models can significantly improve the prediction accuracy of the near-field overpressure distribution and sonic boom value by combining low-fidelity data under the condition of less high-fidelity data. Relevant research results provide support for the high-efficiency and low-sonic-boom design of supersonic passenger aircraft.

Key words: supersonic passenger aircraft, sonic boom, multi-fidelity, transfer learning, deep neural network

CLC Number: