Acta Aeronautica et Astronautica Sinica ›› 2025, Vol. 46 ›› Issue (18): 131788.doi: 10.7527/S1000-6893.2025.31788
• Fluid Mechanics and Flight Mechanics • Previous Articles Next Articles
Xianju WU1,2, Zhijun WEI1(
), Yunhui WANG1, Ling ZHOU1, Ying FENG1
Received:2025-01-09
Revised:2025-02-18
Accepted:2025-05-06
Online:2025-09-25
Published:2025-05-08
Contact:
Zhijun WEI
E-mail:wzj@bit.edu.cn
Supported by:CLC Number:
Xianju WU, Zhijun WEI, Yunhui WANG, Ling ZHOU, Ying FENG. Combustion enhancement effect of dual combustor ramjet engines on boron-based propellants[J]. Acta Aeronautica et Astronautica Sinica, 2025, 46(18): 131788.
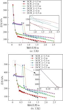
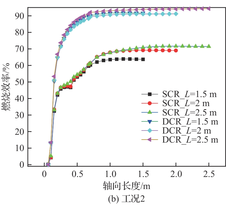
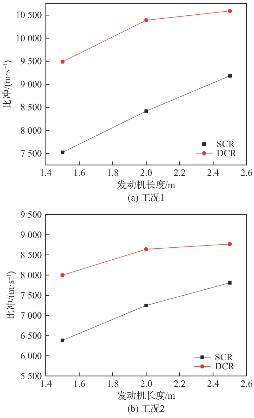
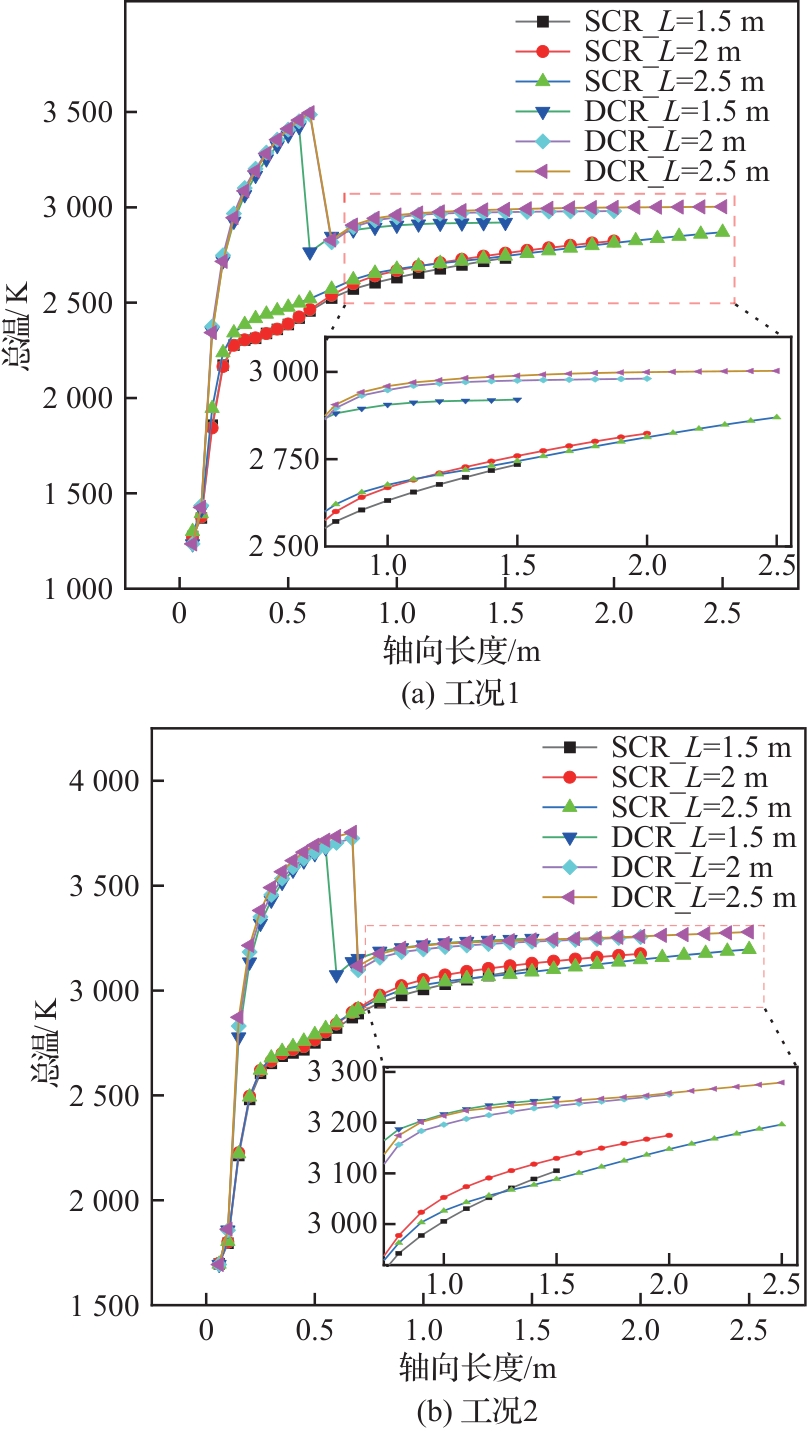
Table 4
Overall performance comparison of SCR and DCR
| 工况 | 类型 | 发动机长度/m | 总压恢复系数/% | 燃烧效率/% | 比冲/(m·s-1) |
|---|---|---|---|---|---|
| 工况1 | SCR | 1.5 | 10.1 | 64.6 | 7 524 |
| 2 | 9.4 | 65.9 | 8 418 | ||
| 2.5 | 11.1 | 69.8 | 9 184 | ||
| DCR | 1.5 | 25.6(16.9) | 91.2 | 9 489 | |
| 2 | 25.1(16.6) | 93.1 | 10 388 | ||
| 2.5 | 25.1(16.6) | 93.6 | 10 590 | ||
| 工况2 | SCR | 1.5 | 6.5 | 63.7 | 6 383 |
| 2 | 6.2 | 69.0 | 7 248 | ||
| 2.5 | 7.3 | 71.4 | 7 809 | ||
| DCR | 1.5 | 19.5(10.2) | 91.6 | 7 998 | |
| 2 | 19.5(10.2) | 91.3 | 8 641 | ||
| 2.5 | 19.5(10.2) | 94.3 | 8 769 |
| [1] | PANG W Q, DE LUCA L T, FAN X Z, et al. Boron-based fuel-rich propellant: properties, combustion, and technology aspects[M]. New York: CRC press, 2019. |
| [2] | 夏智勋, 陈斌斌, 黄利亚, 等. 固体火箭冲压发动机技术研究进展[J]. 上海航天, 2019, 36(6): 11-18. |
| XIA Z X, CHEN B B, HUANG L Y, et al. Research progresses in solid rocket-ramjet engine[J]. Aerospace Shanghai, 2019, 36(6): 11-18 (in Chinese). | |
| [3] | KADOSH H, NATAN B. Internal ballistics of a boron-containing solid fuel ramjet[J]. Combustion Science and Technology, 2021, 193(15): 2672-2691. |
| [4] | NATAN B, HADDAD A, ARIELI R. Performance assessments of a boron containing gel fuel ramjet[C]∥ 47th AIAA Aerospace Sciences Meeting including The New Horizons Forum and Aerospace Exposition. Reston: AIAA, 2009. |
| [5] | MEINKÖHN D. Metal-particle ignition and oxide-layer instability[J]. Combustion, Explosion and Shock Waves, 2006, 42(2): 158-169. |
| [6] | MEINKO¨HN D. Boron particle ignition and the Marangoni effect[J]. Combustion Science and Technology, 2004, 176(9): 1493-1536. |
| [7] | CHEN B H, SHAN S Q, LIU J Z. Evolution of solid-liquid coupling combustion characteristics of boron suspension fuel in O2/Ar atmosphere[J]. Combustion and Flame, 2022, 237: 111869. |
| [8] | PANG W Q, YETTER R A, DELUCA L T, et al. Boron-based composite energetic materials (B-CEMs): preparation, combustion and applications[J]. Progress in Energy and Combustion Science, 2022, 93: 101038. |
| [9] | HAN L K, WANG R D, CHEN W Y, et al. Preparation and combustion mechanism of boron-based high-energy fuels[J]. Catalysts, 2023, 13(2): 378. |
| [10] | YOUNG G, SULLIVAN K, ZACHARIAH M R, et al. Combustion characteristics of boron nanoparticles[J]. Combustion and Flame, 2009, 156(2): 322-333. |
| [11] | 席剑飞, 刘建忠, 李和平, 等. 促进硼颗粒点火和燃烧的方法的研究进展[J]. 含能材料, 2013, 21(4): 533-538. |
| XI J F, LIU J Z, LI H P, et al. Progress in methods of promoting the ignition and combustion of boron particles[J]. Chinese Journal of Energetic Materials, 2013, 21(4): 533-538 (in Chinese). | |
| [12] | CHINTERSINGH K L, SCHOENITZ M, DREIZIN E L. Effect of purity, surface modification and iron coating on ignition and combustion of boron in air[J]. Combustion Science and Technology, 2021, 193(9): 1567-1586. |
| [13] | 郝利峰, 张丽, 唐时敏, 等. 含硼富燃料推进剂的技术现状与发展趋势[J]. 化学推进剂与高分子材料, 2015, 13(3): 1-7, 20. |
| HAO L F, ZHANG L, TANG S M, et al. Technology status and development trends of boron-containing fuel-rich propellants[J]. Chemical Propellants & Polymeric Materials, 2015, 13(3): 1-7, 20 (in Chinese). | |
| [14] | LIU Y, WANG W, ZHAO B D, et al. Synergistic enhancement on ignition and combustion properties of boron via viton core-shell coating[J]. Langmuir, 2024, 40(23): 12239-12249. |
| [15] | CHINTERSINGH K L, SCHOENITZ M, DREIZIN E L. Combustion of boron and boron-iron composite particles in different oxidizers[J]. Combustion and Flame, 2018, 192: 44-58. |
| [16] | HUANG S D, DENG S L, JIANG Y, et al. Experimental effective metal oxides to enhance boron combustion[J]. Combustion and Flame, 2019, 205: 278-285. |
| [17] | MURSALAT M, SCHOENITZ M, DREIZIN E L. Effect of particle morphology on reactivity, ignition and combustion of boron powders[J]. Fuel, 2022, 324: 124538. |
| [18] | BILLIG F S, WALTRUP P J, STOCKBRIDGE R D. Integral-rocket dual-combustion ramjets: a new propulsion concept[J]. Journal of Spacecraft and Rockets, 1980, 17(5): 416-424. |
| [19] | 吴宪举, 魏志军, 王宁飞, 等. 双燃烧室冲压发动机增强燃烧及发动机性能研究[J]. 推进技术, 2024, 45(8): 117-129. |
| WU X J, WEI Z J, WANG N F, et al. Enhanced combustion and engine performance of dual-combustion ramjet[J]. Journal of Propulsion Technology, 2024, 45(8): 117-129 (in Chinese). | |
| [20] | WU X J, WEI Z J. Comparison of dual-combustion ramjet and scramjet performances considering combustion efficiency[J]. Applied Sciences, 2023, 13(1): 480. |
| [21] | WU X J, WEI Z J. Analysis of the characteristics of scramjet mode and ramjet mode of axisymmetric dual-combustion ramjet[J]. Acta Astronautica, 2023, 203: 125-134. |
| [22] | BROWN R C, KOLB C E, CHO S Y, et al. Kinetics of high temperature, hydrocarbon assisted boron combustion[M]∥ Gas Phase Metal Reactions. Amsterdam: Elsevier, 1992: 643-660. |
| [23] | YETTER R A, RABITZ H, DRYER F L, et al. Kinetics of high-temperature B/O/H/C chemistry[J]. Combustion and Flame, 1991, 83(1-2): 43-62. |
| [24] | ZHOU W, YETTER R A, DRYER F L, et al. Multi-phase model for ignition and combustion of boron particles[J]. Combustion and Flame, 1999, 117(1-2): 227-243. |
| [25] | KING M K. Boron ignition and combustion in air-augmented rocket afterburners[J]. Combustion Science and Technology, 1972, 5(1): 155-164. |
| [26] | KING M K. Boron particle ignition in hot gas streams[J]. Combustion Science and Technology, 1973, 8(5-6): 255-273. |
| [27] | KING M K. Ignition and combustion of boron particles and clouds[J]. Journal of Spacecraft and Rockets, 1982, 19(4): 294-306. |
| [28] | KING M K. A review of studies of boron ignition and combustion phenomena at Atlantic research corporation over the past decade[J]. International Journal of Energetic Materials and Chemical Propulsion, 1991, 2(1-6): 1-80. |
| [29] | LI S C. Experimental and theoretical studies of ignition and combustion of boron particles in wet and dry atmospheres[D]. USA: Princeton University, 1990. |
| [30] | LI S C, WILLIAMS F A. Ignition and combustion of boron in wet and dry atmospheres[J]. Symposium (International) on Combustion, 1991, 23(1): 1147-1154. |
| [31] | DREIZIN E L. Effect of phase changes on metal‐particle combustion processes[J]. Combustion, Explosion and Shock Waves, 2003, 39(6): 681-693. |
| [32] | YEH C L, KUO K K. Ignition and combustion of boron particles[J]. Progress in Energy and Combustion Science, 1996, 22(6): 511-541. |
| [33] | ULAS A, KUO K K, GOTZMER C. Ignition and combustion of boron particles in fluorine-containing environments[J]. Combustion and Flame, 2001, 127(1-2): 1935-1957. |
| [34] | HUSSMANN B, PFITZNER M. Extended combustion model for single boron particles-PartⅠ: Theory[J]. Combustion and Flame, 2010, 157(4): 803-821. |
| [35] | HUSSMANN B, PFITZNER M. Extended combustion model for single boron particles-Part Ⅱ: Validation[J]. Combustion and Flame, 2010, 157(4): 822-833. |
| [36] | KALPAKLI B, ACAR E B, ULAS A. Improved combustion model of boron particles for ducted rocket combustion chambers[J]. Combustion and Flame, 2017, 179: 267-279. |
| [37] | CHEN B B, XIA Z X, HUANG L Y, et al. Ignition and combustion model of a single boron particle[J]. Fuel Processing Technology, 2017, 165: 34-43. |
| [38] | WU X J, WEI Z J. Multiphase ignition and combustion model and its characteristics of boron particles based on dynamic experimental phenomena[J]. Combustion and Flame, 2024, 265: 113445. |
| [39] | 秦飞, 何国强, 刘佩进, 等. 圆形燃烧室支板火箭超燃冲压发动机数值模拟[J]. 固体火箭技术, 2011, 34(2): 150-155. |
| QIN F, HE G Q, LIU P J, et al. Numerical simulation of strut-rocket scramjet with circular combustor[J]. Journal of Solid Rocket Technology, 2011, 34(2): 150-155 (in Chinese). | |
| [40] | 于江飞, 晏至辉, 刘卫东. 双燃烧室冲压发动机为动力的高超声速飞行器[J]. 导弹与航天运载技术, 2008(5): 26-30. |
| YU J F, YAN Z H, LIU W D. Hypersonic vehicle with dual-combustor ramjet[J]. Missiles and Space Vehicles, 2008(5): 26-30 (in Chinese). | |
| [41] | LI C L, ZHAO X, XIA Z X, et al. Influence of the vortex generator on the performance of solid rocket scramjet combustor[J]. Acta Astronautica, 2019, 164: 174-183. |
| [1] | Shiqi WANG, Qinglan WEN, Peng ZHAO, Yixin CHENG, Liang MA, Zhigang JIA, Quan WEN. Experiments on afterburner combustion performance with self-excited sweeping nozzle in high speed and medium temperature air flow [J]. Acta Aeronautica et Astronautica Sinica, 2025, 46(9): 131261-131261. |
| [2] | Feiteng LUO, Zhenming QU, Haitao LI, Xinke LI, Dahao YAO, Wenjuan CHEN, Yaosong LONG, Baoxi WEI, Yanjin MAN, Fujiang YANG, Qiang CHENG, Wubin KONG. Research progress and key issues of inlet pre-injection at hypersonic condition [J]. Acta Aeronautica et Astronautica Sinica, 2025, 46(8): 631189-631189. |
| [3] | Jiajian ZHU, Tiangang LUO, Yifu TIAN, Minggang WAN, Mingbo SUN. Enhanced ignition method with synergy of multi-channel gliding arc plasma and fuel injection in a scramjet [J]. Acta Aeronautica et Astronautica Sinica, 2025, 46(7): 131037-131037. |
| [4] | Fan LI, Mingjiang LIU, Mingbo SUN, Guoyan ZHAO, Guangwei MA, Chenxiang ZHAO. Sensitive factors of ethylene combustion heat release under different combustion modes in scramjet engine [J]. Acta Aeronautica et Astronautica Sinica, 2025, 46(4): 130944-130944. |
| [5] | Fei LI, Fan LI, Xiaolong YANG, Jincheng ZHANG, Peibo LI, Hongbo WANG, Mingbo SUN. Numerical simulation on mixing process of a liquid kerosene jet in a cavity-based supersonic combustor [J]. Acta Aeronautica et Astronautica Sinica, 2025, 46(19): 531337-531337. |
| [6] | Xu WANG, Jiaxun LIU, Yongqi LIU, Suyi DOU, Qingyu LI, Xu XU, Qingchun YANG. Secondary combustion of magnesium powder to enhance kerosene-fueled scramjet thrust [J]. Acta Aeronautica et Astronautica Sinica, 2025, 46(18): 131786-131786. |
| [7] | Chaolong LI, Zhixun XIA, Lei BAO, Xianzhong GAO, Zhengtao GUO, Guobin ZHANG, Likun MA, Zhenbing LUO, Shuai SHAO, Xiangyue HE. Research progress on combustion organization technology of scramjet fueled by solid propellant [J]. Acta Aeronautica et Astronautica Sinica, 2025, 46(18): 131752-131752. |
| [8] | Chengke LI, Ge WANG, Zenan YANG, Yi LI. Specific impulse gain mechanism of micro-holes helium injected solid-gas hybrid rocket motor [J]. Acta Aeronautica et Astronautica Sinica, 2025, 46(16): 131693-131693. |
| [9] | Hongyu WANG, Gang WANG, Tao LI, Zhenhou CHAO, Feng GAO. Transverse jet mixing based on energy deposition control via pulsed discharge [J]. Acta Aeronautica et Astronautica Sinica, 2025, 46(14): 131520-131520. |
| [10] | Hongwei QIAO, Jianhan LIANG, Lin ZHANG, Mingbo SUN, Yuqiao CHEN. Research progress of probability density function approach in supersonic combustion [J]. Acta Aeronautica et Astronautica Sinica, 2024, 45(8): 28802-028802. |
| [11] | Xiaoyong LIU, Mingfu WANG, Jianwen LIU, Xin REN, Xuan ZHANG. Review and prospect of research on scramjet [J]. Acta Aeronautica et Astronautica Sinica, 2024, 45(5): 529878-529878. |
| [12] | Bing WAN, Jun CHEN, Hanchen BAI. Full flow path performance design method for wide range scramjet based on equivalent thermodynamic process [J]. Acta Aeronautica et Astronautica Sinica, 2024, 45(4): 128757-128757. |
| [13] | Jianheng JI, Zun CAI, Taiyu WANG, Mingbo SUN, Zhenguo WANG. Flow and combustion process for wide speed range scramjet: Review [J]. Acta Aeronautica et Astronautica Sinica, 2024, 45(3): 28696-028696. |
| [14] | Peng ZHENG, Jianjun WU, Yu ZHANG, Yuxuan ZHONG. Experimental testing of inductively coupled radiofrequency plasma thruster for atmosphere-breathing electric propulsion system [J]. Acta Aeronautica et Astronautica Sinica, 2024, 45(21): 130144-130144. |
| [15] | Wen SHI, Jialing LE, Ye TIAN. Vitiation effects on scramjet operational characteristics [J]. Acta Aeronautica et Astronautica Sinica, 2024, 45(19): 30027-030027. |
| Viewed | ||||||
|
Full text |
|
|||||
|
Abstract |
|
|||||
Address: No.238, Baiyan Buiding, Beisihuan Zhonglu Road, Haidian District, Beijing, China
Postal code : 100083
E-mail:hkxb@buaa.edu.cn
Total visits: 6658907 Today visits: 1341All copyright © editorial office of Chinese Journal of Aeronautics
All copyright © editorial office of Chinese Journal of Aeronautics
Total visits: 6658907 Today visits: 1341

