航空学报 > 2026, Vol. 47 Issue (6): 132575-132575   doi: 10.7527/S1000-6893.2025.32575

面向增强下游高速进气道流量捕获的涡流发生器调控机理及设计

孙士珺1(), 解潇1, 马凯夫2, 申丽辉2   

  1. 1.北京理工大学 宇航学院,北京 100081
    2.北京机电工程总体设计部,北京 100854
  • 收稿日期:2025-07-16 修回日期:2025-08-21 接受日期:2025-09-18 出版日期:2025-10-10 发布日期:2025-10-09
  • 通讯作者: 孙士珺 E-mail:sunshijun@bit.edu.cn
  • 基金资助:
    国家自然科学基金(52006011);北京理工大学青年教师学术启动计划(XSQD-202201002)

Vortex generator control mechanism and design for enhancing downstream high‑speed inlet flow capture

Shijun SUN1(), Xiao XIE1, Kaifu MA2, Lihui SHEN2   

  1. 1.School of Aerospace Engineering,Beijing Institute of Technology,Beijing 100081,China
    2.Beijing System Design Institute of Electro Mechanic Engineering,Beijing 100854,China
  • Received:2025-07-16 Revised:2025-08-21 Accepted:2025-09-18 Online:2025-10-10 Published:2025-10-09
  • Contact: Shijun SUN E-mail:sunshijun@bit.edu.cn
  • Supported by:
    National Natural Science Foundation of China(52006011);Beijing Institute of Technology Research Fund Program for Young Scholars(XSQD-202201002)

摘要:

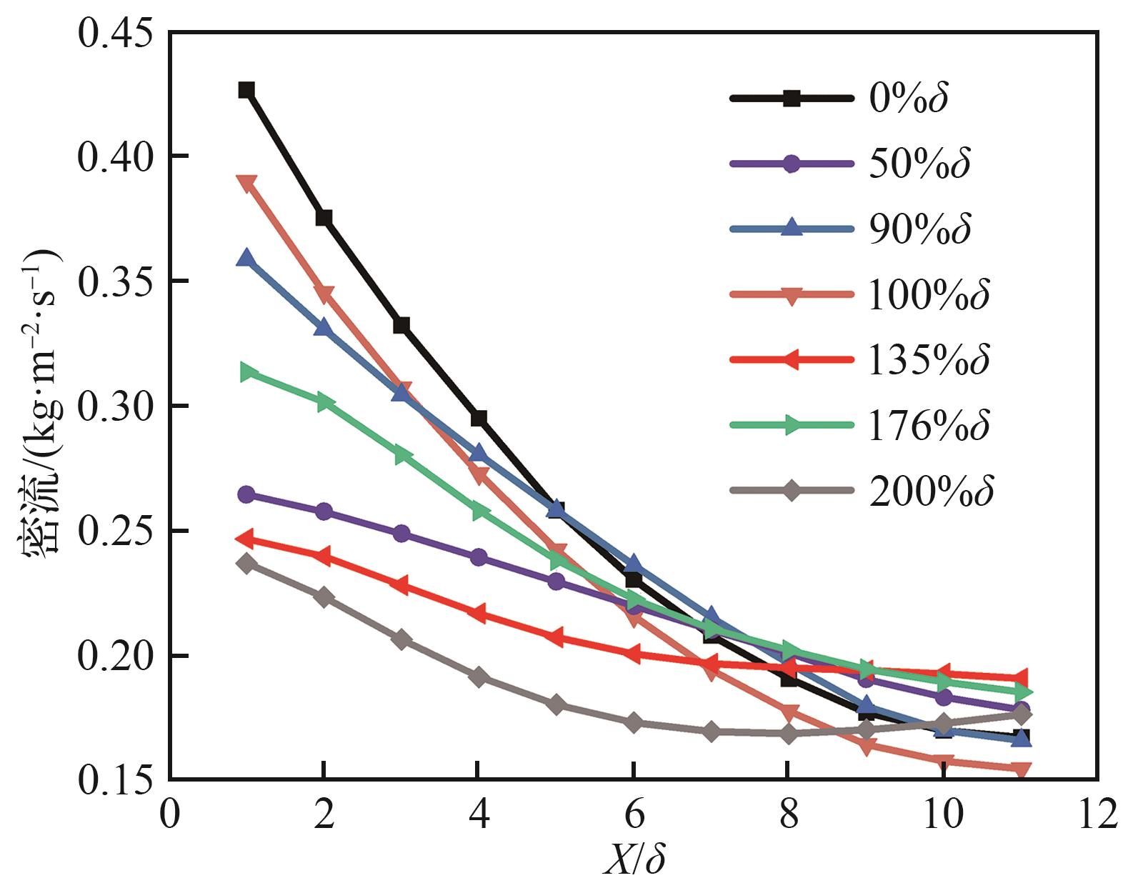
高速进气道捕获流量因上游边界层增厚而下降,这将制约组合式动力的性能。以飞发一体化飞行器进气道上游部分为研究对象,采用数值仿真方法,开展了涡流发生器(VG)调控横截面密流分布的涡动力学机理研究,提出了以最大化进气道捕获流量为目的的对置型VG结构。结果表明,来流马赫数Ma=8时,该VG可使进气道捕获流量提升173%。VG通过诱导一对旋向相反的流向涡实现流量调控。在流向涡上洗侧,边界层内低能流体被卷入主流,速度剖面亏损,密流下降;在下洗侧,高能主流被输运至边界层,速度剖面饱满,边界层变薄,密流上升。若下洗强于上洗作用,流向涡整体表现为对流量捕获的增益。当流向涡在下洗侧相切时,其相互作用将强化下洗流动,增强高能主流向边界层的输运,提升流量捕获。相反,若在上洗侧相切,则上洗效应增强,不利于流量捕获。对置型VG,通过强化反向流向涡对下洗效应,提升输运主流至边界层的能力,从而增强下游进气道流量捕获。

关键词: 高超声速, 边界层, 流动控制, 涡流发生器, 旋涡结构

Abstract:

High‑speed inlet capture mass flow decreases when the upstream boundary layer thickens, which limits combined‑cycle propulsion performance. Focusing on the upstream part of the inlet of the integrated flight engine aircraft, numerical simulation methods were used to study the vortex dynamics mechanism of the Vortex Generator (VG) regulating the cross-sectional velocity density distribution. An opposed VG structure was proposed with the aim of maximizing the inlet capture mass flow rate. The results indicate that when the incoming Mach number Ma=8, the VG can increase the inlet capture mass flow by 173%. VG achieves flow control by inducing a pair of vortices with opposite directions of rotation. On the up-wash side of the streamwise vortex, low-energy fluid in the boundary layer is swept into the mainstream, resulting in a loss of velocity profile and a decrease in velocity density; on the down-wash side, high-energy mainstream is transported to the boundary layer, with a full velocity profile, thinning of the boundary layer, and rising of velocity density. If the down-wash effect is stronger than the up-wash effect, the overall performance of the streamwise vortex is a gain in mass flow capture. When the streamwise vortex is tangent to the down-wash side, its interaction will strengthen the down-wash flow, enhance the transport of high-energy mainstream to the boundary layer, and improve mass flow capture. On the contrary, if the up-wash side is tangent, the up-wash effect is enhanced, which is not conducive to mass flow capture. Opposed VG enhances the ability to transport mainstream to the boundary layer by strengthening the down-wash effect of streamwise vortices, thereby increasing downstream inlet mass flow capture.

Key words: hypersonic, boundary layer, flow control, vortex generator, vortex structure

中图分类号: