航空学报 > 2025, Vol. 46 Issue (24): 331840-331840   doi: 10.7527/S1000-6893.2025.31840

无人机拖曳式空中回收机翼折叠过程预设性能抗摆动控制

严国乘1,2, 王宏伦1,2(), 王延祥1,2,3,4, 伦岳斌1,2,3, 朱俊帆1,2   

  1. 1.北京航空航天大学 自动化科学与电气工程学院,北京 100191
    2.北京航空航天大学 飞行器控制一体化技术重点实验室,北京 100191
    3.北京航空航天大学 沈元学院,北京 100191
    4.北京宇航系统工程研究所,北京 100076
  • 收稿日期:2025-01-23 修回日期:2025-05-07 接受日期:2025-07-25 出版日期:2025-08-12 发布日期:2025-08-11
  • 通讯作者: 王宏伦 E-mail:wang_hl_12@126.com
  • 基金资助:
    国家自然科学基金(62173022);国家自然科学基金(61673042)

Prescribed performance anti-swing control for wing rotation process of UAV towed aerial recovery

Guocheng YAN1,2, Honglun WANG1,2(), Yanxiang WANG1,2,3,4, Yuebin LUN1,2,3, Junfan ZHU1,2   

  1. 1.School of Automation Science and Electrical Engineering,Beihang University,Beijing 100191,China
    2.Science and Technology on Aircraft Control Laboratory,Beihang University,Beijing 100191,China
    3.Shenyuan Honors College,Beihang University,Beijing 100191,China
    4.Beijing Institute of Astronautical Systems Engineering,Beijing 100076,China
  • Received:2025-01-23 Revised:2025-05-07 Accepted:2025-07-25 Online:2025-08-12 Published:2025-08-11
  • Contact: Honglun WANG E-mail:wang_hl_12@126.com
  • Supported by:
    National Natural Science Foundation of China(62173022)

摘要:

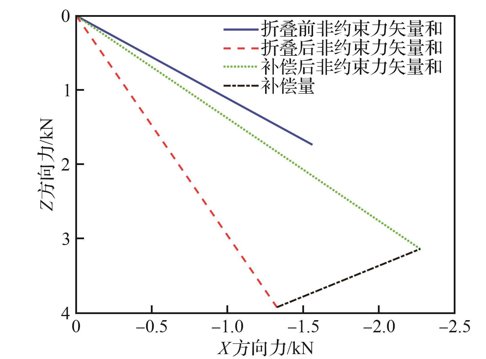
针对无人机拖曳式空中回收机翼折叠过程的抗摆动控制问题,提出基于指定时间预设性能控制的抗摆动控制方法。首先,分析空中回收无人机的特性,采用牛顿-欧拉法建立浮标-无人机组合体6自由度非线性运动学和动力学模型,分析机翼折叠过程造成的附加力和附加力矩;其次,针对机翼折叠过程中气动力和气动力矩变化具有强烈的非线性特性的问题,采用计算流体力学方法对这一过程中的气动力和气动力矩进行建模;在此基础上,将6自由度非线性模型进行仿射非线性处理,提出一种基于非约束力矢量和方向控制机理和指定时间预设性能的稳定控制方法,并进行了对比仿真。结果表明,所提方法的最大纵向飘摆距离为0.16 m,最大横向飘摆距离为0.18 m,验证了所提方法的有效性。

关键词: 无人机(UAV), 空中回收, 旋转翼, 动力学建模, 预设性能

Abstract:

To address the swing suppression control problem for wing rotation process of UAV towed aerial recovery assembly, an anti-swing control method based on appointed-time preset performance control is proposed. Firstly, the characteristics of the aerial recovery assembly are analyzed. A six degree of freedom nonlinear model of the aerial recovery assembly is established using the Newton-Euler method, the additional forces and moments caused by the wing rotation are analyzed, and additional force and additional moment models containing the wing rotation angle are established. Secondly, in response to the strong nonlinear characteristics of aerodynamic force and aerodynamic torque changes during wing rotation, this paper adopts unsteady computational fluid dynamics methods to calculate the aerodynamic force and moments during this process, and establishes aerodynamic force and aerodynamic moments models containing the wing rotation angle. On this basis, the six degrees of freedom nonlinear models are transformed to affine nonlinear form, and a composite anti-swing control method integrating a non-constraining force vector sum direction feedforward compensation controller with an appointed-time prescribed performance control feedback controller is proposed. A simulation is carried out and the results show that, the maximum longitudinal displacement of the proposed method is 0.16 m, and the maximum lateral displacement is 0.18 m, demonstrating significant advantages of the proposed method.

Key words: Unmanned aerial vehicle (UAV), aerial recovery, rotary wing, dynamics modeling, prescribed performance

中图分类号: