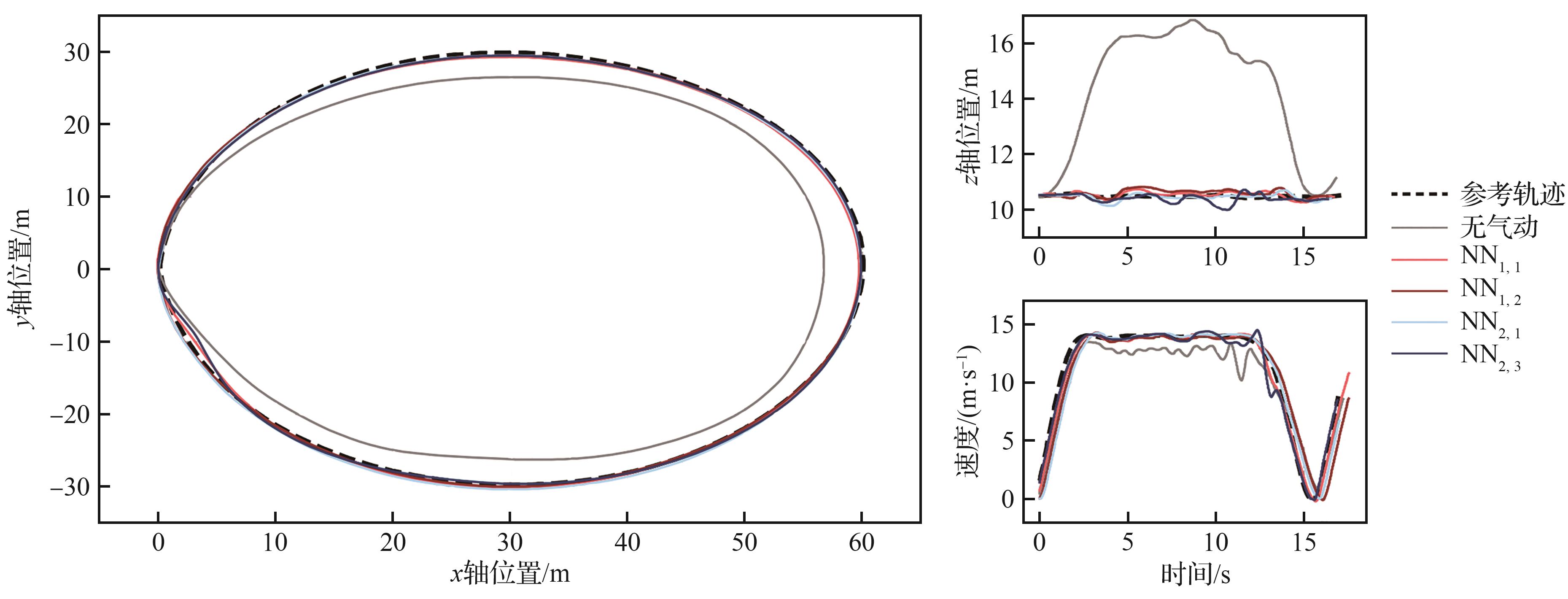
| [1] |
韦振鹏, 刘峰, 杨森. 垂直起降固定翼无人机发展现状与技术要点[J]. 飞机设计, 2024, 44(1): 5-13.
|
|
WEI Z P, LIU F, YANG S. Development and key technologies of vertical take-off and landing UAV with fixed wing[J]. Aircraft Design, 2024, 44(1): 5-13 (in Chinese).
|
| [2] |
王科雷, 周洲, 马悦文, 等. 垂直起降固定翼无人机技术发展及趋势分析[J]. 航空工程进展, 2022, 13(5): 1-13.
|
|
WANG K L, ZHOU Z, MA Y W, et al. Development and trend analysis of vertical takeoff and landing fixed wing UAV[J]. Advances in Aeronautical Science and Engineering, 2022, 13(5): 1-13 (in Chinese).
|
| [3] |
ZHOU Y M, ZHAO H R, LIU Y L. An evaluative review of the VTOL technologies for unmanned and manned aerial vehicles[J]. Computer Communications, 2020, 149: 356-369.
|
| [4] |
DUCARD G J J, ALLENSPACH M. Review of designs and flight control techniques of hybrid and convertible VTOL UAVs[J]. Aerospace Science and Technology, 2021, 118: 107035.
|
| [5] |
KE Y J, WANG K L, CHEN B M. Design and implementation of a hybrid UAV with model-based flight capabilities[J]. IEEE/ASME Transactions on Mechatronics, 2018, 23(3): 1114-1125.
|
| [6] |
BAPST R, RITZ R, MEIER L, et al. Design and implementation of an unmanned tail-sitter[C]∥2015 IEEE/RSJ International Conference on Intelligent Robots and Systems (IROS). Piscataway: IEEE Press, 2015: 1885-1890.
|
| [7] |
RITZ R, D’ANDREA R. A global controller for flying wing tailsitter vehicles[C]∥2017 IEEE International Conference on Robotics and Automation (ICRA). New York: ACM, 2017: 2731-2738.
|
| [8] |
FRISON G, DIEHL M. HPIPM: A high-performance quadratic programming framework for model predictive control[J]. IFAC-PapersOnLine, 2020, 53(2): 6563-6569.
|
| [9] |
CARLOS B B, SARTOR T, ZANELLI A, et al. An efficient real-time NMPC for quadrotor position control under communication time-delay[C]∥2020 16th International Conference on Control, Automation, Robotics and Vision (ICARCV). Piscataway: IEEE Press, 2020: 982-989.
|
| [10] |
TORRENTE G, KAUFMANN E, FÖHN P, et al. Data-driven MPC for quadrotors[J]. IEEE Robotics and Automation Letters, 2021, 6(2): 3769-3776.
|
| [11] |
SALZMANN T, KAUFMANN E, ARRIZABALAGA J, et al. Real-time neural MPC: deep learning model predictive control for quadrotors and agile robotic platforms[J]. IEEE Robotics and Automation Letters, 2023, 8(4): 2397-2404.
|
| [12] |
LI B Y, ZHOU W F, SUN J X, et al. Development of model predictive controller for a tail-sitter VTOL UAV in hover flight[J]. Sensors, 2018, 18(9): 2859.
|
| [13] |
ZHOU W F, LI B Y, SUN J X, et al. Position control of a tail-sitter UAV using successive linearization based model predictive control[J]. Control Engineering Practice, 2019, 91: 104125.
|
| [14] |
曹煜琪, 付皓然, 高飞, 等. 基于MPCC的鸭翼尾座式垂直起降无人机轨迹跟踪控制算法[J]. 航空学报, 2023, 44(S2): 729950.
|
|
CAO Y Q, FU H R, GAO F, et al. Trajectory tracking control algorithm for canard-equipped tail-sitting vertical takeoff and landing UAV based on MPCC[J]. Acta Aeronautica et Astronautica Sinica, 2023, 44(S2): 729950..
|
| [15] |
LU G Z, CAI Y X, CHEN N, et al. Trajectory generation and tracking control for aggressive tail-sitter flights[J]. International Journal of Robotics Research, 2024, 43(3): 241-280.
|
| [16] |
LYU X M, GU H W, WANG Y, et al. Design and implementation of a quadrotor tail-sitter VTOL UAV[C]∥2017 IEEE International Conference on Robotics and Automation (ICRA). Piscataway: IEEE Press, 2017: 3924-3930.
|
| [17] |
ZHANG F, LYU X M, WANG Y, et al. Modeling and flight control simulation of a quadrotor tailsitter VTOL UAV[C]∥AIAA Modeling and Simulation Technologies Conference. Reston: AIAA, 2017: 1561.
|
| [18] |
SÖPPER M, ZHANG J N, BÄHR N, et al. Required moment sets: enhanced controllability analysis for nonlinear aircraft models[J]. Applied Sciences, 2021, 11(8): 3456.
|
| [19] |
HAUSER J, HINDMAN R. Aggressive flight maneuvers[C]∥Proceedings of the 36th IEEE Conference on Decision and Control. Piscataway: IEEE Press, 1997: 4186-4191.
|
| [20] |
FLIESS M, LÉVINE J, MARTIN P, et al. Flatness and defect of non-linear systems: Introductory theory and examples[J]. International Journal of Control, 1995, 61(6): 1327-1361.
|
| [21] |
TAL E, KARAMAN S. Global incremental flight control for agile maneuvering of a tailsitter flying wing[J]. Journal of Guidance, Control, and Dynamics, 2022, 45(12): 2332-2349.
|
| [22] |
SMEUR E J J, BRONZ M, DE CROON G C H E. Incremental control and guidance of hybrid aircraft applied to a tailsitter unmanned air vehicle[J]. Journal of Guidance, Control, and Dynamics, 2019, 43(2): 274-287.
|
| [23] |
GROS S, ZANON M, QUIRYNEN R, et al. From linear to nonlinear MPC: Bridging the gap via the real-time iteration[J]. International Journal of Control, 2020, 93(1): 62-80.
|
| [24] |
VERSCHUEREN R, FRISON G, KOUZOUPIS D, et al. Acados: A modular open-source framework for fast embedded optimal control[J]. Mathematical Programming Computation, 2022, 14(1): 147-183.
|
| [25] |
ANDERSSON J A E, GILLIS J, HORN G, et al. CasADi: a software framework for nonlinear optimization and optimal control[J]. Mathematical Programming Computation, 2019, 11(1): 1-36.
|
| [26] |
MACENSKI S, FOOTE T, GERKEY B, et al. Robot Operating System 2: Design, architecture, and uses in the wild[J]. Science Robotics, 2022, 7(66): eabm6074.
|
| [27] |
WANG Z P, ZHOU X, XU C, et al. Geometrically constrained trajectory optimization for multicopters[J]. IEEE Transactions on Robotics, 2022, 38(5): 3259-3278.
|