航空学报 > 2025, Vol. 46 Issue (23): 231823-231823   doi: 10.7527/S1000-6893.2025.31823

固体力学与飞行器总体设计

基于叶端定时的航空发动机压气机叶片裂纹识别

张赟1, 刘晨光1(), 张宇坤2, 李朋1   

  1. 1.海军航空大学 航空基础学院,烟台 264001
    2.海军航空大学 青岛校区,青岛 266041
  • 收稿日期:2025-01-20 修回日期:2025-02-10 接受日期:2025-02-15 出版日期:2025-07-01 发布日期:2025-02-28
  • 通讯作者: 刘晨光 E-mail:17370228702@163.com
  • 基金资助:
    军队高层次科技创新人才工程计划

Crack identification of aeroengine compressor blades based on blade tip timing

Yun ZHANG1, Chenguang LIU1(), Yukun ZHANG2, Peng LI1   

  1. 1.Aeronautical Foundation Institute,Naval Aeronautical University,Yantai 264001,China
    2.Qingdao Campus,Naval Aeronautical University,Qingdao 266041,China
  • Received:2025-01-20 Revised:2025-02-10 Accepted:2025-02-15 Online:2025-07-01 Published:2025-02-28
  • Contact: Chenguang LIU E-mail:17370228702@163.com
  • Supported by:
    Military High-Level Scientific and Technological Innovation Talents Engineering Program

摘要:

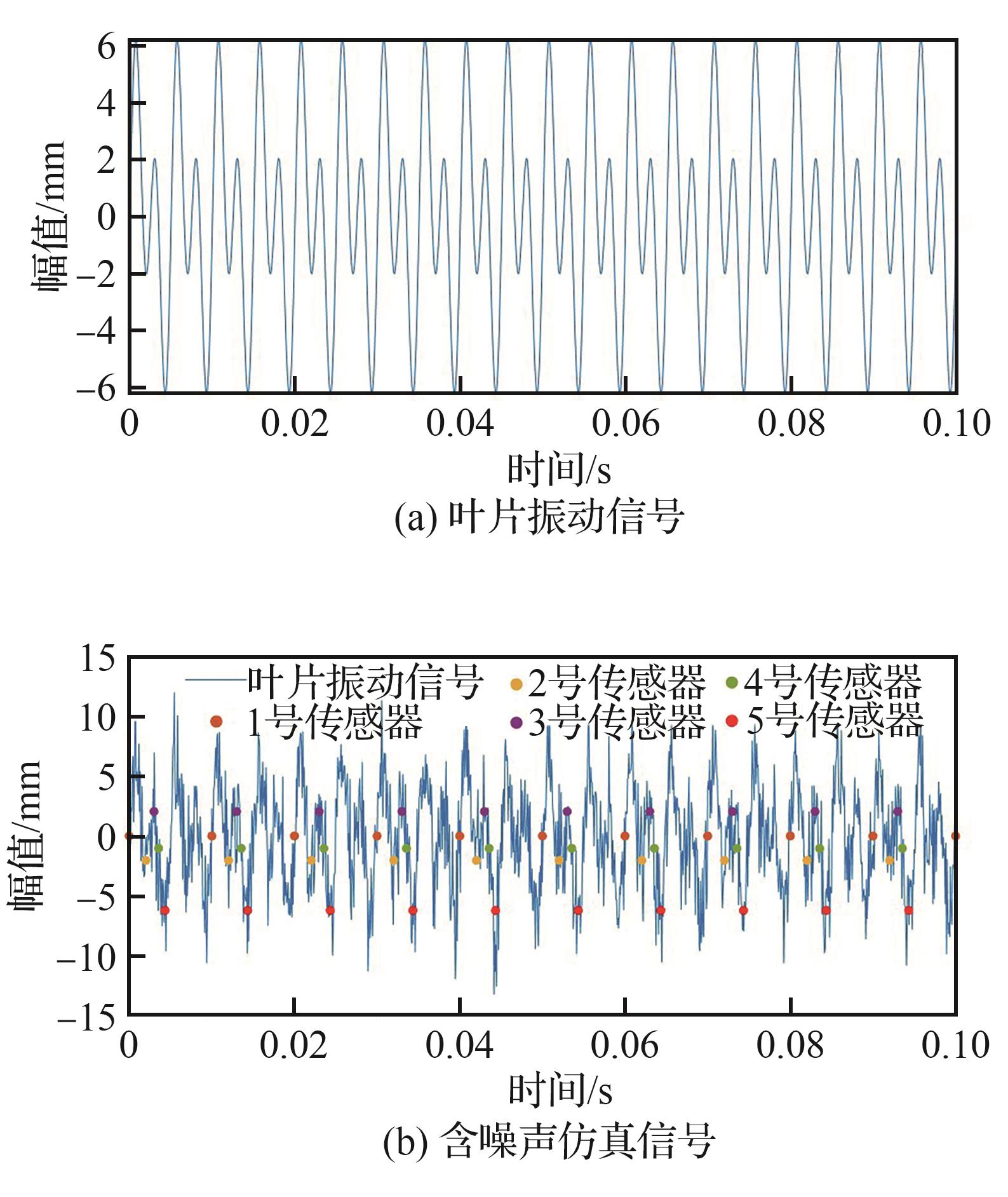
叶端定时(BTT)方法能够以非接触测振的方式实现旋转叶片裂纹在线实时监测,欠采样叶端定时信号的重构是其核心问题之一。将聚类收缩正交匹配追踪(CS-OMP)算法引入叶端定时欠采样振动重构,建立了一种基于CS-OMP算法的航空发动机压气机叶片欠采样振动重构方法,以提高叶片振动信号重构的精度及实时性,并通过监测压气机旋转叶片一阶动频变化实现叶片裂纹识别。采用仿真分析验证了该方法能够准确辨识叶片单模态和多模态振动参数,进一步采用某型航空发动机压气机缩比试验件开展叶片裂纹识别实验,结果表明该方法对叶片振动的重构效果优于传统正交匹配追踪(OMP)算法,能够实现叶片裂纹的准确识别。

关键词: 叶端定时, 共振识别, 稀疏重构, 裂纹识别, 航空发动机

Abstract:

The Blade Tip Timing (BTT) method facilitates non-contact vibration measurement for real-time online monitoring of rotating blade cracks. One of its primary challenges is the reconstruction of undersampled blade tip timing signals. This paper introduces the Cluster contraction Stage wise Orthogonal Matching Pursuit (CS-OMP) algorithm to address this issue, proposing a CS-OMP-based method for reconstructing undersampled vibration signals of compressor blades in aeroengines. The proposed method aims to improve the reconstruction accuracy and real-time performance of blade vibration signals. Additionally, it identifies blade cracks by detecting changes in the first-order modal frequency of rotating compressor blades. The simulation analysis verifies that this method can accurately identify the single-modal and multi-modal vibration parameters of blades. Furthermore, blade crack identification experiments were conducted using a scaled-down compressor test component of an aero-engine. The results demonstrate that this method outperforms the traditional Orthogonal Matching Pursuit (OMP) algorithm in blade vibration reconstruction and achieves accurate identification of blade cracks.

Key words: blade tip timing, resonance identification, sparse reconstruction, crack identification, aeroengine

中图分类号: