航空学报 > 2025, Vol. 46 Issue (16): 231600-231600   doi: 10.7527/S1000-6893.2025.31600

固体力学与飞行器总体设计

航空发动机CFRP复合材料界面力学性能、损伤机理与强化策略研究进展

彭苗娇1,2, 黄锦文1,2, 胡殿印3, 王荣桥4, 杨俊杰5, 贾志刚6, 陈清林1,2, 孙义沣1,2, 蔡应强1,2(), 范宽1,2, 朱兆一1,2, 李晓文1,2   

  1. 1.集美大学 轮机工程学院,厦门 361021
    2.福建省船舶与海洋工程重点实验室,厦门 361021
    3.北京航空航天大学 航空发动机研究院,北京 100191
    4.北京航空航天大学 能源与动力工程学院,北京 100191
    5.清华大学 航空发动机研究院,北京 100084
    6.中国航空发动机集团 中国航空发动机研究院,北京 101304
  • 收稿日期:2024-12-03 修回日期:2024-12-13 接受日期:2025-02-10 出版日期:2025-02-27 发布日期:2025-02-25
  • 通讯作者: 蔡应强 E-mail:cai202@jmu.edu.cn
  • 基金资助:
    国家自然科学基金(52022007);国家自然科学基金(52275142);国家自然科学基金(52405270);福建省自然科学基金(2023J01788);福建省科技厅对外合作项目(2022I0019);厦门市自然科学基金(3502Z202471043);集美大学科研启动基金(ZQ2020022)

Research progress on interfacial mechanical properties, damage mechanisms, and reinforcement strategies of CFRP composites for aero-engines

Miaojiao PENG1,2, Jinwen HUANG1,2, Dianyin HU3, Rongqiao WANG4, Junjie YANG5, Zhigang JIA6, Qinglin CHEN1,2, Yifeng SUN1,2, Yingqiang CAI1,2(), Kuan FAN1,2, Zhaoyi ZHU1,2, Xiaowen LI1,2   

  1. 1.School of Marine Engineering,Jimei University,Xiamen 361021,China
    2.Fujian Province Key Laboratory of Naval Architecture and Marine Engineering,Xiamen 361021,China
    3.Research Institute of Aero-Engine,Beihang University,Beijing 100191,China
    4.School of Energy and Power Engineering,Beihang University,Beijing 100191,China
    5.Institute for Aero-Engine,Tsinghua University,Beijing 100084,China
    6.Aero Engine Academy of China,Aero Engine Corporation of China,Beijing 101304,China
  • Received:2024-12-03 Revised:2024-12-13 Accepted:2025-02-10 Online:2025-02-27 Published:2025-02-25
  • Contact: Yingqiang CAI E-mail:cai202@jmu.edu.cn
  • Supported by:
    National Natural Science Foundation of China(52022007);Natural Science Foundation of Fujian Province(2023J01788);Foreign Cooperation Project of Department of Science and Technology of Fujian Province(2022I0019);Natural Science Foundation of Xiamen(3502Z202471043);Scientific Research Foundation of Jimei University(ZQ2020022)

摘要:

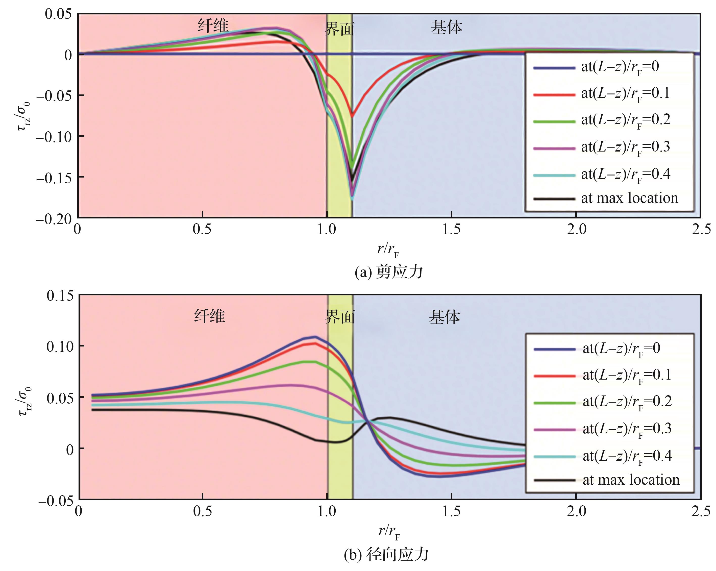
碳纤维增强树脂基(CFRP)复合材料凭借其优异的轻质高强特性,在航空发动机领域的应用日益受到重视。然而,纤维与树脂基体间的界面问题严重制约了其性能的充分发挥。围绕碳纤维/基体界面力学性能及研究方法、界面损伤机理及模拟方法、界面强化机制及策略3个方面,深入探讨了现有研究进展、存在的不足以及发展趋势。研究表明,通过试验测试、微观结构表征以及解析与仿真技术可有效揭示界面对CFRP复合材料宏观力学性能的影响;界面损伤呈现分层、脱粘、裂纹扩展等多模式特征,其演化过程受力学载荷、热-机械耦合及环境因素的协同作用,通过宏观有限元模拟、微细观力学模型和多尺度模拟等数值方法能够对其进行有效表征;界面改性、纳米增强及新型树脂基体开发等界面强化策略显著提升了界面粘附性能,进而提高了复合材料的力学性能。然而,CFRP复合材料在航空发动机极端服役环境下的应用仍面临以下挑战:现有界面力学性能表征技术存在局限性,多物理场多尺度耦合损伤机理研究不足,界面强化效果的长期稳定性有待提升。解决这些关键问题,将为提升CFRP复合材料在航空发动机等高端装备中的服役可靠性提供重要的理论指导和技术支持。

关键词: 碳纤维, 复合材料, 界面, 力学性能, 强化机制, 损伤模拟

Abstract:

Carbon Fiber-Reinforced Polymer (CFRP) composites, known for their exceptional lightweight and high-strength properties, are increasingly valued in the field of aero-engine applications. However, the interfacial issues between fibers and resin matrix significantly limit the full potential of CFRP composites. This paper provides an in-depth discussion on the research progress, existing challenges, and future trends in three key areas: interfacial mechanical properties of carbon fiber/matrix, interfacial damage mechanisms and simulation methods, and interfacial reinforcement mechanisms and strategies. The research indicates that experimental testing, microstructural characterization, and analytical simulation techniques can effectively reveal the influence of interface on the macroscopic mechanical properties of CFRP composites. Interfacial damage exhibits multiple modes including delamination, debonding, and crack propagation, whose evolution processes are governed by the synergistic effects of mechanical loading, thermo-mechanical coupling, and environmental factors. These damage mechanisms can be effectively characterized through numerical methods such as macroscopic finite element simulation, micro-and meso-mechanical models, and multi-scale simulations. Interfacial modification, nano-reinforcement, and novel resin matrix development strategies have significantly enhanced interfacial adhesion properties, thereby improving the mechanical performance of composites. Nevertheless, the application of CFRP composites in the extreme service environments of aero-engines still faces several challenges: limitations in existing interfacial mechanical property characterization techniques, insufficient research on multi-physics and multi-scale coupled damage mechanisms, and inadequate long-term stability of interfacial reinforcement effects. Addressing these critical issues will provide essential theoretical guidance and technical support for enhancing the service reliability of CFRP composites aero-engines and other high-end equipment applications.

Key words: carbon fiber, composite materials, interface, mechanical properties, strengthening mechanisms, damage simulation

中图分类号: