谢海卫, 张冬冬(
), 徐铮, 侯廙, 谭建国, 丁猛, 周芸帆
收稿日期:2024-12-17
修回日期:2025-01-10
接受日期:2025-02-08
出版日期:2025-02-19
发布日期:2025-02-18
通讯作者:
张冬冬
E-mail:zhangdd0902@163.com
基金资助:
Haiwei XIE, Dongdong ZHANG(
), Zheng XU, Yi HOU, Jianguo TAN, Meng DING, Yunfan ZHOU
Received:2024-12-17
Revised:2025-01-10
Accepted:2025-02-08
Online:2025-02-19
Published:2025-02-18
Contact:
Dongdong ZHANG
E-mail:zhangdd0902@163.com
Supported by:摘要:
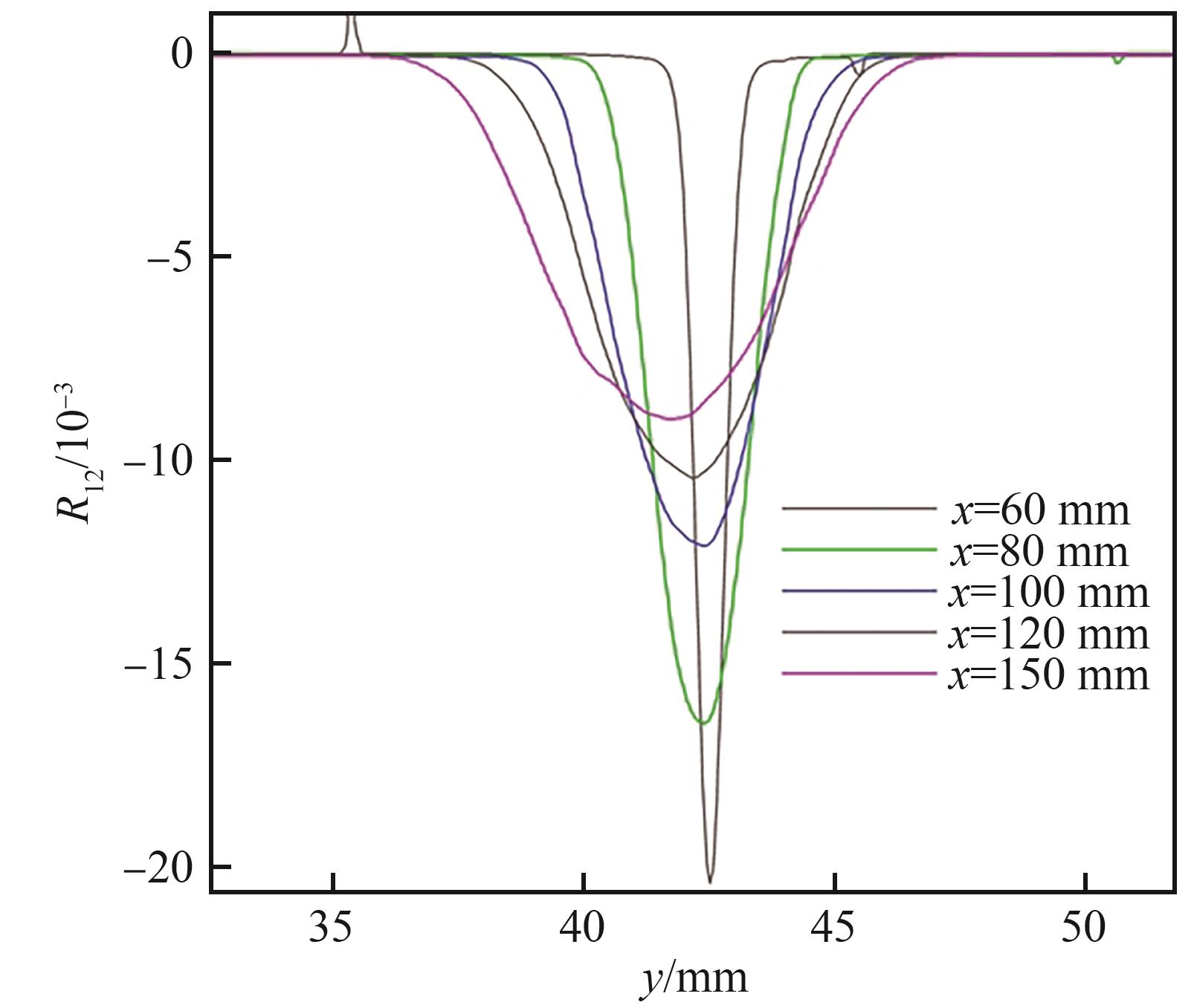
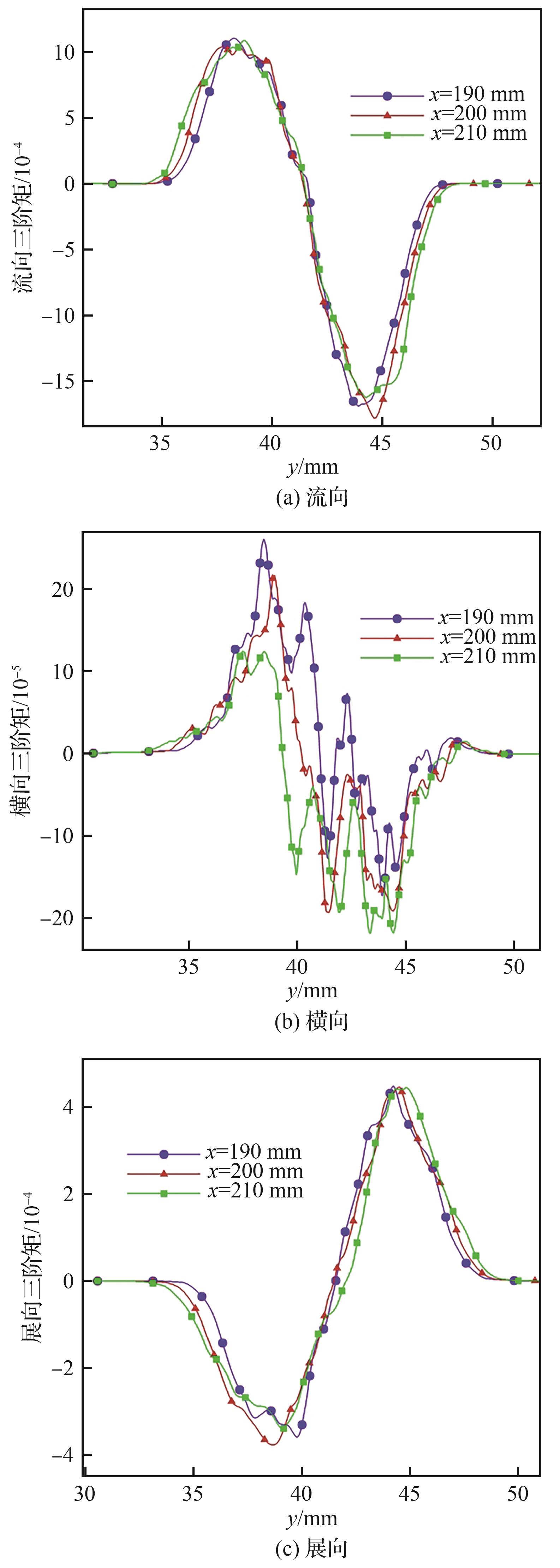
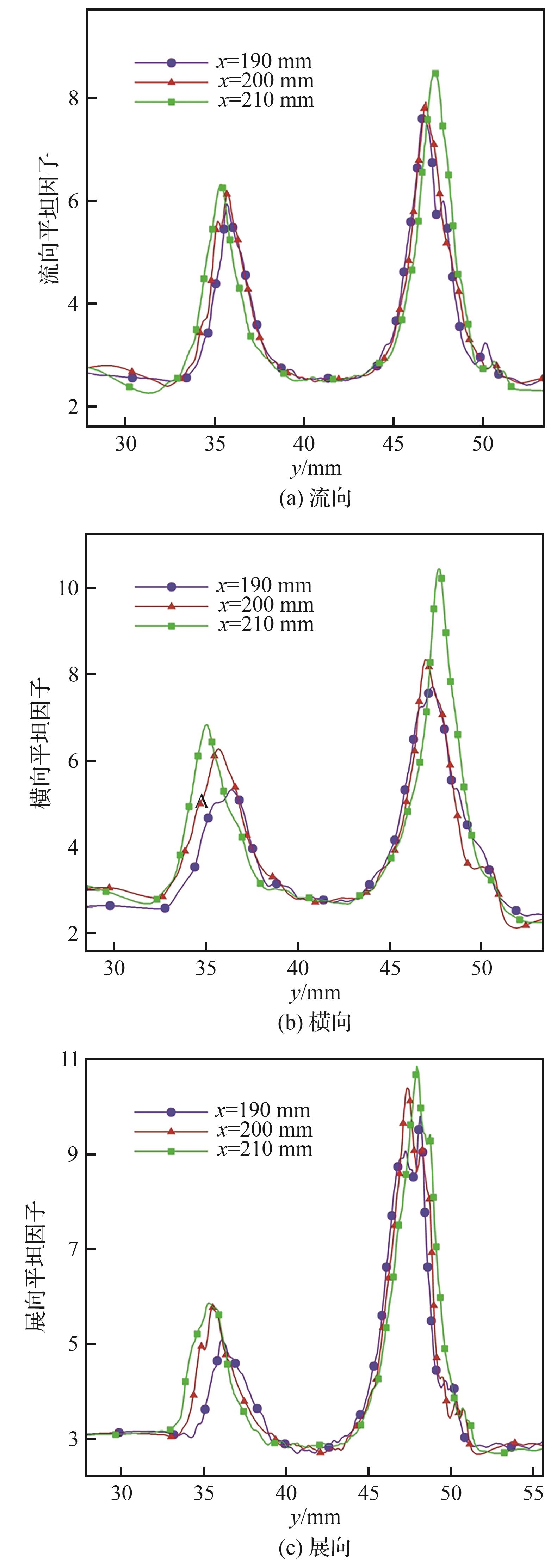
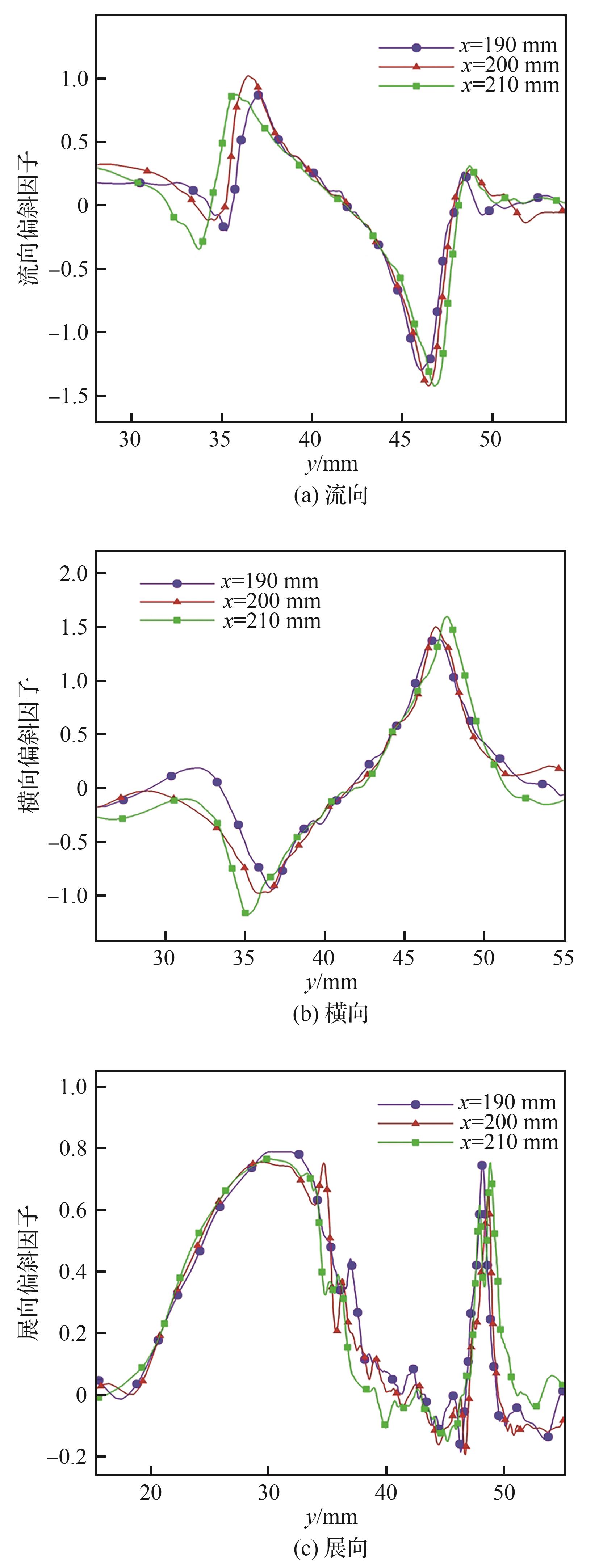
高速燃气与空气在隔板后相遇形成的混合层流动模型在高超声速飞行器动力系统中广泛存在,已有的针对超声速混合层流动过程和机理的高精度数值模拟研究多忽略隔板,针对超声速带隔板混合层的直接数值模拟工作十分有限。以来流对流马赫数为0.8、隔板厚度为4 mm的三维超声速带隔板混合层为研究对象,采用自主开发的高精度直接数值模拟程序,系统开展了流场精细结构演化和湍流统计特性研究。研究结果表明,两股超声速来流在隔板尾缘形成回流区后汇合成超声速混合层,经过很短距离便开始转捩,最后进入自相似区域。在转捩区域发现了各种典型涡结构,其中由Λ涡发展形成的发卡涡结构主导了转捩区流场的演化。在转捩后期,发卡涡脱落、缠绕形成了多重链状涡结构。在自相似区域,流向涡结构主导着流场,且大量小尺度涡结构充斥其中。与无隔板混合层流动不同,隔板显著促进了流动转捩且带来了强烈的三维特性,在展向不同位置处,流场结构演化速度有显著差异,同时涡结构在展向方向相互作用更加剧烈。湍流统计分析表明,带隔板混合层转捩阶段雷诺剪切应力呈单峰分布;自相似区域雷诺切应力项与实验结果相符,其中,横向雷诺应力项较无隔板研究结果显著增长,这说明隔板的出现给流场带来了较大的横向扰动;在混合层中心区域,平坦因子接近3,说明自相似区域已达到各向同性状态。获得的超声速带隔板混合层的三维涡结构演化、混合层生长过程量化表征、流场湍流统计结果,可为相关的实验和数值模拟研究提供数据参考。
中图分类号:
谢海卫, 张冬冬, 徐铮, 侯廙, 谭建国, 丁猛, 周芸帆. 超声速带隔板混合层流场结构与湍流特性[J]. 航空学报, 2025, 46(23): 131675.
Haiwei XIE, Dongdong ZHANG, Zheng XU, Yi HOU, Jianguo TAN, Meng DING, Yunfan ZHOU. Flow structure and turbulence statistics of super-sonic mixing layer influenced by splitter plate[J]. Acta Aeronautica et Astronautica Sinica, 2025, 46(23): 131675.
| [1] | 段鹏飞, 高书亮, 王恩亮, 等. 吸气式高超声速机动飞行样式及其关键技术分析[J]. 航空兵器, 2024, 31(2): 99-105. |
| DUAN P F, GAO S L, WANG E L, et al. Analysis of air-breathing hypersonic maneuver flight styles and key technologies[J]. Aero Weaponry, 2024, 31(2): 99-105 (in Chinese). | |
| [2] | REN Z X, WANG B, ZHENG L X. Numerical analysis on interactions of vortex, shock wave, and exothermal reaction in a supersonic planar shear layer laden with droplets[J]. Physics of Fluids, 2018, 30(3): 036101. |
| [3] | ISONO T, NAKANO R, TOMIOKA S, et al. Prediction of mixing efficiency between incoming air and embedded rocket exhaust within an RBCC engine[C]∥ 52nd AIAA/SAE/ASEE Joint Propulsion Conference.Reston: AIAA, 2016. |
| [4] | SEGAL C. The scramjet engine[M]. Cambridge: Cambridge University Press, 2009. |
| [5] | 崔朋, 徐万武, 陈健, 等. 火箭基组合循环燃烧组织研究现状[J]. 火箭推进, 2015, 41(4): 1-7. |
| CUI P, XU W W, CHEN J, et al. Research progress about rocket based combined cycle combustion organization[J]. Journal of Rocket Propulsion, 2015, 41(4): 1-7 (in Chinese). | |
| [6] | 刘小勇, 王明福, 刘建文, 等. 超燃冲压发动机研究回顾与展望[J]. 航空学报, 2024,45(5): 529878. |
| LIU X Y, WANG M F, LIU J W, et al. Review and prospect of research on scramjet[J]. Acta Aeronautica et Astronautica Sinica, 2024,45(5): 529878 (in Chinese). | |
| [7] | 夏智勋, 冯运超, 马立坤, 等. 固体火箭超燃冲压发动机燃烧技术研究进展[J]. 航空学报, 2023, 44(15): 528793. |
| XIA Z X, FENG Y C, MA L K,et al. Research progress of solid rocket scramjet combustion technology[J]. Acta Aeronautica et Astronautica Sinica, 2023, 44(15): 528793 (in Chinese). | |
| [8] | 纪鉴恒, 蔡尊, 王泰宇, 等. 宽速域超燃冲压发动机流动燃烧过程研究进展[J]. 航空学报, 2024, 45(3): 028696. |
| JI J H, CAI Z, WANG T Y, et al. Flow and combustion process for wide speed range scramjet: Review[J]. Acta Aeronautica et Astronautica Sinica, 2024, 45(3): 028696 (in Chinese). | |
| [9] | 易仕和, 陈植, 朱杨柱, 等. (高)超声速流动试验技术及研究进展[J]. 航空学报, 2015, 36(1): 98-119. |
| YI S H, CHEN Z, ZHU Y Z, et al. Progress on experimental techniques and studies of hypersonic/supersonic flows[J]. Acta Aeronautica et Astronautica Sinica, 2015, 36(1): 98-119 (in Chinese). | |
| [10] | TIAN L F, YI S H, ZHAO Y X, et al. Study of density field measurement based on NPLS technique in supersonic flow[J]. Science in China Series G: Physics, Mechanics and Astronomy, 2009, 52(9): 1357-1363. |
| [11] | 晏至辉, 刘卫东, 范周琴. 超声速混合层混合LES/RANS模拟[J]. 弹箭与制导学报, 2011, 31(6): 141-145. |
| YAN Z H, LIU W D, FAN Z Q. Numerical simulation of supersonic mixing layers by hybrid LES/RANS method[J]. Journal of Projectiles, Rockets, Missiles and Guidance, 2011, 31(6): 141-145 (in Chinese). | |
| [12] | 徐晶磊, 宋友富, 张扬, 等. 用于可压缩自由剪切流动的湍流混合长度[J]. 航空学报, 2016, 37(6): 1841-1850. |
| XU J L, SONG Y F, ZHANG Y, et al. Turbulence mixing length for compressible free shear flows[J]. Acta Aeronautica et Astronautica Sinica, 2016, 37: 1841-1850 (in Chinese). | |
| [13] | 李新亮. 高超声速湍流直接数值模拟技术[J]. 航空学报, 2015, 36(1): 147-158. |
| LI X L. Direct numerical simulation techniques for hypersonic turbulent flows[J]. Acta Aeronautica et Astronautica Sinica, 2015, 36(1): 147-158 (in Chinese). | |
| [14] | PANTANO C, SARKAR S. A study of compressibility effects in the high-speed turbulent shear layer using direct simulation[J]. Journal of Fluid Mechanics, 2002, 451(1): 329-371. |
| [15] | QAWASMEH B R, WEI M J. Low-dimensional models for compressible temporally developing shear layers[J]. Journal of Fluid Mechanics, 2013, 731: 364-393. |
| [16] | YILMAZ I, EDIS F O, SAYGIN H, et al. Parallel implicit DNS of temporally-evolving turbulent shear layer instability[J]. Journal of Computational and Applied Mathematics, 2014, 259: 651-659. |
| [17] | FERRER P J M, LEHNASCH G, MURA A. Compressibility and heat release effects in high-speed reactive mixing layers Ⅱ. Structure of the stabilization zone and modeling issues relevant to turbulent combustion in supersonic flows[J]. Combustion and Flame, 2017, 180: 304-320. |
| [18] | ZHOU Q, HE F, SHEN M Y. Direct numerical simulation of a spatially developing compressible plane mixing layer: Flow structures and mean flow properties[J]. Journal of Fluid Mechanics, 2012, 711: 437-468. |
| [19] | DAI Q, JIN T, LUO K, et al. Direct numerical simulation of a three-dimensional spatially evolving compressible mixing layer laden with particles. Ⅱ. Turbulence anisotropy and growth rate[J]. Physics of Fluids, 2019, 31(8): 083303. |
| [20] | ZHANG D D, TAN J G, YAO X. Direct numerical simulation of spatially developing highly compressible mixing layer: Structural evolution and turbulent statistics[J]. Physics of Fluids, 2019, 31(3): 036102. |
| [21] | 禹旻, 杨武兵, 沈清. 超声速尾迹-剪切流的混合增强[J]. 航空学报, 2021, 42(12): 625876. |
| YU M, YANG W B, SHEN Q. Mixing enhancement of supersonic wake shear layer[J]. Acta Aeronautica et Astronautica Sinica, 2021, 42(12): 625876 (in Chinese). | |
| [22] | LAIZET S, LARDEAU S, LAMBALLAIS E. Direct numerical simulation of a mixing layer downstream a thick splitter plate[J]. Physics of Fluids, 2010, 22(1): 015104. |
| [23] | ZHANG D D, TAN J G, YAO X. Vortex evolution and flame propagation driven by oblique shock wave in supersonic reactive mixing layer[J]. Aerospace Science and Technology, 2021, 118: 106993. |
| [24] | YAO X, TAN J G, ZHANG D D, et al. Combustion of H2/air supersonic mixing layers with splitter plate: Flame structure and statistical characteristics[J]. Acta Astronautica, 2020, 173: 279-293. |
| [25] | CANTWELL B J. Organized motion in turbulent flow[J]. Annual Review of Fluid Mechanics, 1981, 13: 457-515. |
| [26] | LI N, BALARAS E, PIOMELLI U. Inflow conditions for large-eddy simulations of mixing layers[J]. Physics of Fluids, 2000, 12(4): 935-938. |
| [27] | KEMPF A, KLEIN M, JANICKA J. Efficient generation of initial- and inflow-conditions for transient turbulent flows in arbitrary geometries[J]. Flow, Turbulence and Combustion, 2005, 74(1): 67-84. |
| [28] | FENG J H, LU J Y, SHEN C B. Transverse forcing on supersonic, spatially evolving mixing layers[J]. Journal of Aerospace Engineering, 2020, 33(4): 04020036. |
| [29] | SANDHAM N D, REYNOLDS W C. Compressible mixing layer-linear theory and direct simulation[J]. AIAA Journal, 1990, 28(4): 618-624. |
| [30] | QIN S J, YANG Y, HUANG Y X, et al. Is a direct numerical simulation (DNS) of Navier-Stokes equations with small enough grid spacing and time-step definitely reliable/correct?[J]. Journal of Ocean Engineering and Science, 2024, 9(3): 293-310. |
| [31] | PAPAMOSCHOU D, ROSHKO A. The compressible turbulent shear layer: An experimental study[J]. Journal of Fluid Mechanics, 1988, 197: 453-477. |
| [32] | CHONG D T, BAI Y P, ZHAO Q B, et al. Direct numerical simulation of vortex structures during the late stage of the transition process in a compressible mixing layer[J]. Physics of Fluids, 2021, 33(5): 054108. |
| [33] | 方昕昕. 超声速混合层高精度数值模拟及流向涡混合增强实验研究[D]. 长沙: 国防科技大学, 2020. |
| FANG X X. High-order accurate numerical simulation on supersonic mixing layer and experimental study on mixing enhancement with streamwise vortices[D]. Changsha: National University of Defense Technology, 2020 (in Chinese). | |
| [34] | 冯军红. 超声速混合层增长特性及混合增强机理研究[D]. 长沙: 国防科学技术大学, 2016. |
| FENG J H. Study on growth characteristics and mixing enhancement mechanisms of supersonic mixing layers[D]. Changsha: National University of Defense Technology, 2016 (in Chinese). | |
| [35] | TAN J G, ZHANG D D, LV L. A review on enhanced mixing methods in supersonic mixing layer flows[J]. Acta Astronautica, 2018, 152: 310-324. |
| [36] | ZHANG D D, TAN J G, HOU J W. Structural and mixing characteristics influenced by streamwise vortices in supersonic flow[J]. Applied Physics Letters, 2017, 110(12): 124101. |
| [37] | SANDHAM N D, REYNOLDS W C. Three-dimensional simulations of large eddies in the compressible mixing layer[J]. Journal of Fluid Mechanics, 1991, 224: 133-158. |
| [38] | LUO K H, SANDHAM N D. Direct simulation of scalar mixing in a compressible mixing layer[C]∥ Advances in Turbulence V. Dordrecht: Springer Netherlands, 1995: 340-345. |
| [39] | CHEN L, LIU C Q. Numerical study on mechanisms of second sweep and positive spikes in transitional flow on a flat plate[J]. Computers & Fluids, 2011, 40(1): 28-41. |
| [40] | FENG J H, SHEN C B, WANG Q C, et al. Experimental and numerical study of mixing characteristics of a rectangular lobed mixer in supersonic flow[J]. The Aeronautical Journal, 2015, 119(1216): 701-725. |
| [41] | MCMULLAN A, GAO S A, COATS C. Investigation of coherent structures in turbulent mixing layers using large eddy simulation[C]∥ 48th AIAA Aerospace Sciences Meeting Including the New Horizons Forum and Aerospace Exposition. Reston: AIAA, 2010. |
| [42] | MCMULLAN W, COATS C, GAO S A. Analysis of the variable density mixing layer using large eddy simulation[C]∥ 41st AIAA Fluid Dynamics Conference and Exhibit. Reston: AIAA, 2011. |
| [43] | MARTHA C S, BLAISDELL G A, LYRINTZIS A S. Large eddy simulations of 2-D and 3-D spatially developing mixing layers[J]. Aerospace Science and Technology, 2013, 31(1): 59-72. |
| [44] | ARMS R J, HAMA F R. Localized-induction concept on a curved vortex and motion of an elliptic vortex ring[J]. Physics of Fluids, 1965, 8(4): 553-559. |
| [45] | GOEBEL S G, DUTTON J C. Experimental study of compressible turbulent mixing layers[J]. AIAA Journal, 1991, 29(6): 538-546. |
| [46] | SAMIMY M, ELLIOTT G S. Effects of compressibility on the characteristics of free shear layers[J]. AIAA Journal, 1990, 28(3): 439-445. |
| [47] | PAPAMOSCHOU D. Structure of the compressible turbulent shear layer[J]. AIAA Journal, 1991, 29(5): 680-681. |
| [48] | CLEMENS N T, MUNGAL M G. Large-scale structure and entrainment in the supersonic mixing layer[J]. Journal of Fluid Mechanics, 1995, 284: 171-216. |
| [49] | DAY M J, REYNOLDS W C, MANSOUR N N. The structure of the compressible reacting mixing layer: Insights from linear stability analysis[J]. Physics of Fluids, 1998, 10(4): 993-1007. |
| [50] | GOEBEL S G, DUTTON J C, KRIER H, et al. Mean and turbulent velocity measurements of supersonic mixing layers[J]. Experimentsin Fluids, 1990, 8(5): 263-272. |
| [51] | GRUBER M R, MESSERSMITH N L, DUTTON J C. Three-dimensional velocity field in a compressible mixing layer[J]. AIAA Journal, 1993, 31(11): 2061-2067. |
| [52] | FU S, LI Q B. Numerical simulation of compressible mixing layers[J]. International Journal of Heat and Fluid Flow, 2006, 27(5): 895-901. |
| [53] | SHARMA A, BHASKARAN R, LELE S. Large-eddy simulation of supersonic, turbulent mixing layers downstream of a splitter plate[C]∥ 49th AIAA Aerospace Sciences Meeting Including the New Horizons Forum and Aerospace Exposition. Reston: AIAA, 2011. |
| [54] | BARRE S, BRAUD P, CHAMBRES O, et al. Influence of inlet pressure conditions on supersonic turbulent mixing layers[J]. Experimental Thermal and Fluid Science, 1997, 14(1): 68-74. |
| [55] | LI Q B, FU S. Numerical simulation of high-speed planar mixing layer[J]. Computers & Fluids, 2003, 32(10): 1357-1377. |
| [1] | 李辰, 孙东, 刘朋欣, 郭启龙, 袁先旭. 等离子体激励超声速湍流边界层直接数值模拟[J]. 航空学报, 2025, 46(S1): 732187-732187. |
| [2] | 王成鹏, 郝晨光, 李昊, 薛龙生, 焦运, 吴思雨, 马张煜, 袁野, 李伟俊, 侯普晨. 最小熵增准则在激波/边界层干扰分析中的应用[J]. 航空学报, 2025, 46(8): 631458-631458. |
| [3] | 樊佳坤, 艾俊强, 董宁娟, 徐家宽, 乔磊, 白俊强. 基于卷积神经网络的超声速后掠翼横流驻波转捩预测方法[J]. 航空学报, 2025, 46(20): 532012-532012. |
| [4] | 史亚云, 季昕泽, 杨体浩, 吴鹏飞, 谢露, 白俊强, 冯凯旋. 超声速层流翼自主标模转捩预测及不确定性分析[J]. 航空学报, 2025, 46(20): 531923-531923. |
| [5] | 李学良, 李创创, 张亚寒, 苏伟, 吴杰. 分布式烧蚀形貌对高超声速平板边界层不稳定性影响[J]. 航空学报, 2025, 46(2): 130464-130464. |
| [6] | 张毅锋, 王新光, 郭雷涛, 徐洋, 陈琦. 尖锥高速边界层转捩动态气动特性测量及分析[J]. 航空学报, 2025, 46(12): 131430-131430. |
| [7] | 张定金, 雷娟棉, 赵瑞. 壁温对高超声速裙锥边界层感受性的影响规律[J]. 航空学报, 2024, 45(24): 130290-130290. |
| [8] | 李勇, 叶剑海, 王成会. 非规则三角排列的三圆柱噪声特性与控制[J]. 航空学报, 2024, 45(23): 630316-630316. |
| [9] | 张成键, 吕岱霖, 朱畅, 陈坚强, 吴杰. HyTRV升力体高超声速边界层稳定性实验[J]. 航空学报, 2024, 45(22): 130272-130272. |
| [10] | 赖江, 范召林, 王乾, 董思卫, 童福林, 袁先旭. 高超声速有攻角锥裙直接数值模拟[J]. 航空学报, 2024, 45(2): 128610-128610. |
| [11] | 李学良, 李创创, 苏伟, 吴杰. 分布式粗糙元对高超声速边界层不稳定性的影响试验[J]. 航空学报, 2024, 45(2): 128627-128627. |
| [12] | 孟庆东, 雷娟棉, 周玲. 基于转捩模型的HyTRV外形转捩特性与攻角影响分析[J]. 航空学报, 2024, 45(18): 129855-129855. |
| [13] | 胡震宇, 肖丰收, 陈坚强, 袁先旭, 张毅锋, 向星皓. 基于C-γ-Reθ 模型的多模态高超声速边界层转捩预测[J]. 航空学报, 2024, 45(12): 129215-129215. |
| [14] | 孟博威, 马虎, 夏镇娟, 周长省. 旋转爆轰燃烧室与涡轮导向器集成特性数值研究[J]. 航空学报, 2024, 45(10): 129223-129223. |
| [15] | 傅亚陆, 袁先旭, 刘朋欣, 余明. 可压缩壁湍流热力学量统计特性分析[J]. 航空学报, 2023, 44(9): 127217-127217. |
| 阅读次数 | ||||||
|
全文 |
|
|||||
|
摘要 |
|
|||||
版权所有 © 航空学报编辑部
版权所有 © 2011航空学报杂志社
主管单位:中国科学技术协会 主办单位:中国航空学会 北京航空航天大学

