导航

Acta Aeronautica et Astronautica Sinica ›› 2025, Vol. 46 ›› Issue (10): 431297.doi: 10.7527/S1000-6893.2024.31297

• Material Engineering and Mechanical Manufacturing • Previous Articles    

Experiment on leakage flow characteristics of lubricating oil for a carbon seal system of bearing chamber based on air-bleeding oil-sealing mode

Liangyu HAN1,2, Huan ZHAO1,2(), Cheng CHANG3, Ping WANG3, Dan SUN1,2, Guozhe REN1,2   

  1. 1.Liaoning Key Lab of Advanced Test Technology for Aerospace Propulsion System,School of Aero-engine,Shenyang Aerospace University,Shenyang  110136,China
    2.Key Laboratory of Turbomachinery Advanced Seal Technology,Shenyang  110136,China
    3.AECC Sichuan Gas Turbine Establishment,Chengdu  610599,China
  • Received:2024-09-28 Revised:2024-10-23 Accepted:2024-11-25 Online:2024-12-06 Published:2024-12-05
  • Contact: Huan ZHAO E-mail:phd_zhaohuan@163.com
  • Supported by:
    National Natural Science Foundation of China(52375195);Fundamental Research Funds for Universities of Liaoning Province(LJ222410143090)

Abstract:

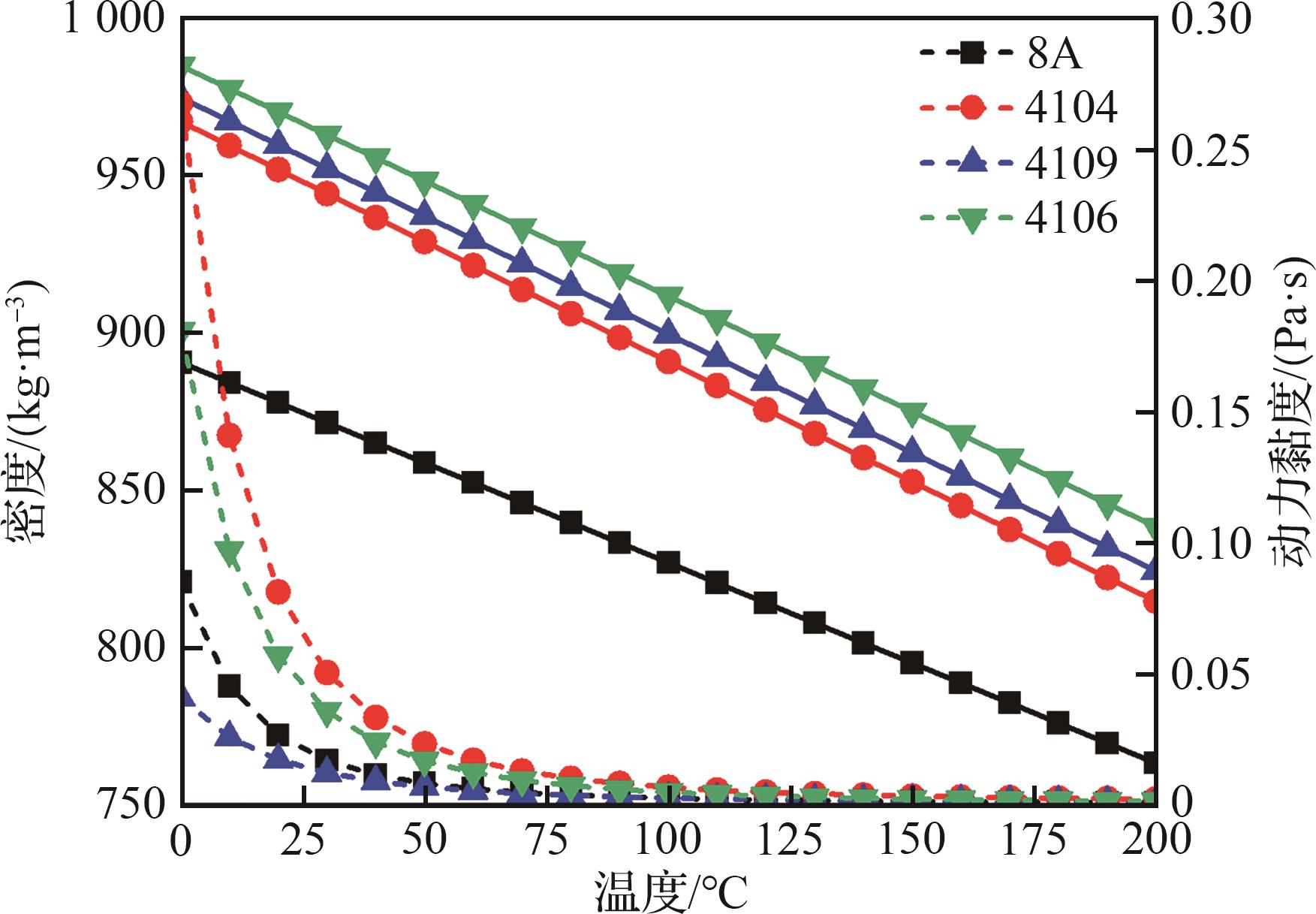
Leakage of lubricating oil from carbon seal system of bearing chamber caused by insufficient seal pressure from compressor and excessive oil supply pressure of bearing chamber has an important effect on the operational stability of aero-engine. Based on air-bleeding oil-sealing mode, an experimental device was designed and built to simulate structure and working environment of the carbon seal system in bearing chamber of an actual aero-engine. Evolution process of oil leakage flow was visually observed. Effects of rotor speed and oil temperature on the critical oil-sealing pressure difference were experimentally studied. Leakage flow mechanism of oil through the carbon seal system in bearing chamber was revealed. Results show that as the sealing pressure difference gradually decreases, the lubricating oil initially from leaked the bottom of carbon seal ring, undergoing four processes: infiltration and backflow, increased infiltration, droplet-like leakage, and fluid-like leakage. The value of sealing pressure difference corresponding to that the droplet-like leakage occurred was considered as critical oil-sealing pressure difference of carbon seal system in bearing chamber. As rotor speed increased from 4 000 r/min to 12 500 r/min, the critical oil-sealing pressure difference decreased by 85.9%. At lower rotor speeds, the centrifugal force acting on the lubricating oil is relatively small, causing the oil to accumulate in clumps and fill the sealing gap. When the lubricating oil temperature increases from 40 ℃ to 121 ℃, the critical oil-sealing pressure difference decreased by 83.1%. At lower oil temperature, the density and dynamic viscosity of the oil increased, gravity and viscous acting on the oil increased, accumulation of the oil in seal clearance also increased.

Key words: bearing chamber, carbon seal, air-bleeding oil-sealing, leakage flow, critical oil-sealing pressure difference

CLC Number: