导航

Acta Aeronautica et Astronautica Sinica ›› 2026, Vol. 47 ›› Issue (7): 232500.doi: 10.7527/S1000-6893.2025.32500

• Solid Mechanics and Vehicle Conceptual Design •    

Dynamic risk assessment of metallic lap-joint structures based on diagnosis and prognosis

Liang HAN, Xiaofan HE()   

  1. National Key Laboratory of Strength and Structural Integrity,School of Aeronautics Science and Engineering,Beihang University,Beijing 102206,China
  • Received:2025-07-01 Revised:2025-08-20 Accepted:2025-09-10 Online:2025-09-19 Published:2025-09-18
  • Contact: Xiaofan HE
  • Supported by:
    National Natural Science Foundation of China(12472341)

Abstract:

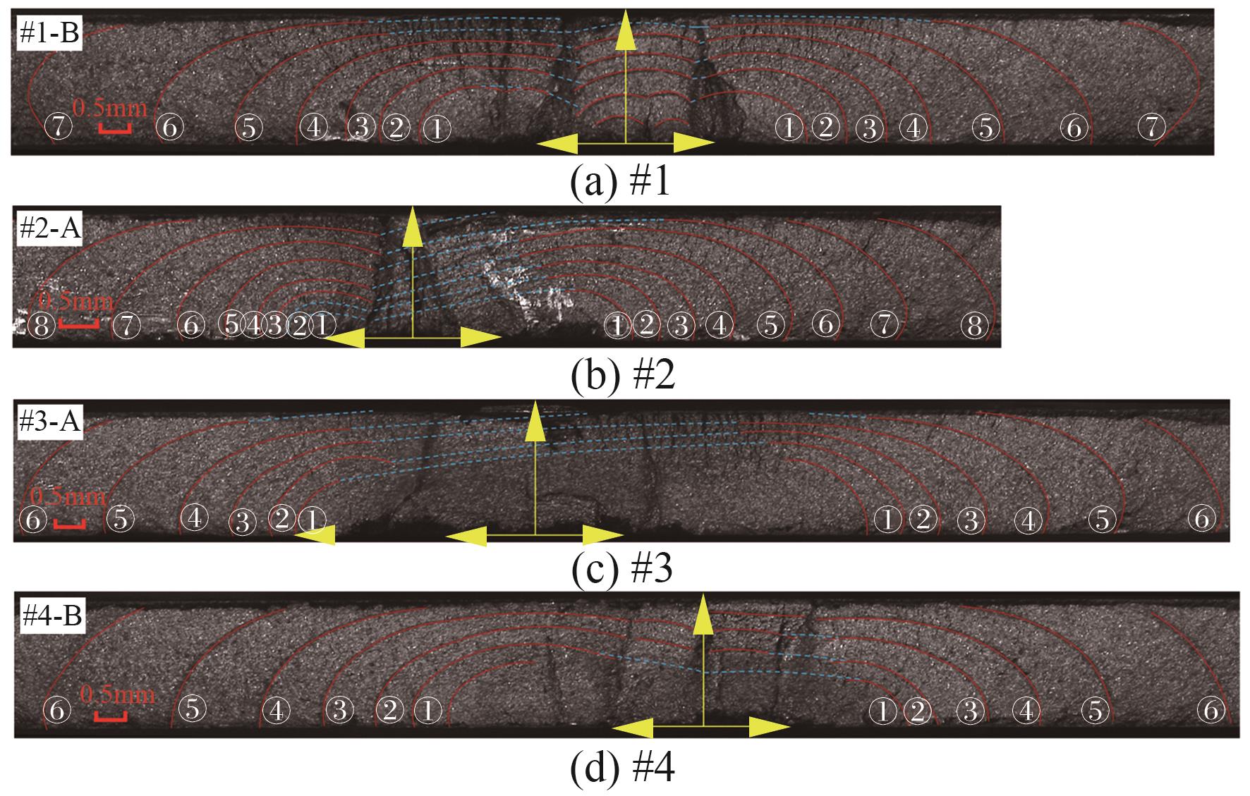
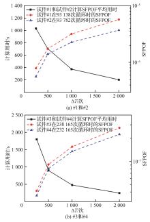
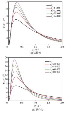
Hidden cracks in metallic lap-joint structures are difficult to detect, and conventional risk assessment methods rely heavily on offline nondestructive inspections. To address these challenges, an integrated diagnosis and prognosis dynamic risk assessment method within a digital twin framework has been proposed. The method employs an experimental strain driven physics and data fusion crack propagation model and implements a dynamic Bayesian network to close the loop between virtual and physical models. Crack initiation is detected using the Cumulative Sum Control Chart (CUSUM) algorithm; crack location is determined by a k-Nearest Neighbors (KNN) classifier; crack size is estimated through a Multi-Output Gaussian Process Regression (MOGPR) model; subsequently, a Dynamic Bayesian Network (DBN) is employed to dynamically update the crack propagation parameters C and m in real time. Based on these updated parameters, the Single Flight Probability of Failure (SFPOF) is computed through Monte Carlo simulation. Experimental results demonstrate that the combined CUSUM and SFPOF criterion provides timely crack warnings and reduces dependence on high-precision Equivalent Initial Flaw Size (EIFS). As monitoring data accumulate, the standard deviations of C and m decrease, lowering uncertainty in life predictions. The proposed method enables continuous online quantitative risk evaluation of metallic lap-joint structures, offering reliable support for condition-based maintenance decisions.

Key words: risk assessment, structural fault diagnosis and health management, fatigue damage diagnosis and prognosis, single flight probability of failure, crack propagation

CLC Number: