航空学报 > 2026, Vol. 47 Issue (6): 232628-232628   doi: 10.7527/S1000-6893.2025.32628

固体力学与飞行器总体设计

后缘襟翼偏转规律对智能旋翼减振的影响

王伟, 虞志浩(), 杨卫东, 叶善吉   

  1. 南京航空航天大学 直升机动力学全国重点实验室,南京 210016
  • 收稿日期:2025-07-28 修回日期:2025-08-23 接受日期:2025-10-14 出版日期:2025-10-28 发布日期:2025-10-24
  • 通讯作者: 虞志浩 E-mail:zhihao@nuaa.edu.cn
  • 基金资助:
    国家级项目

Influence of trailing-edge flap deflection patterns on vibration reduction of a smart rotor

Wei WANG, Zhihao YU(), Weidong YANG, Shanji YE   

  1. National Key Laboratory of Helicopter Aeromechanics,Nanjing University of Aeronautics and Astronautics,Nanjing 210016,China
  • Received:2025-07-28 Revised:2025-08-23 Accepted:2025-10-14 Online:2025-10-28 Published:2025-10-24
  • Contact: Zhihao YU E-mail:zhihao@nuaa.edu.cn
  • Supported by:
    National Level Project

摘要:

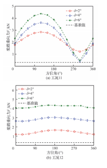
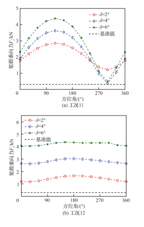
针对带后缘襟翼智能旋翼系统的振动抑制问题进行计算分析。首先基于Hamilton原理采用几何精确梁模型建立系统气弹耦合模型,并在算例验证的基础上分析后缘襟翼单一和组合频率偏转参数对旋翼桨毂振动分量的影响,同时探究了旋翼桨叶刚度特性对后缘襟翼减振效果的影响。计算分析表明:襟翼以3/rev、4/rev、5/rev、6/rev单倍频偏转时,可对特定桨毂4/rev载荷减振60%以上,但难以对多个桨毂4/rev力和力矩分量同时抑制;襟翼以组合倍频偏转时桨毂振动分量随控制初相位变化呈现出对应单倍频成分的共同影响;改变偏转幅值时,最佳和最差减振点对应的襟翼控制初相位不会显著改变;襟翼偏转时弹性桨叶的弯-扭耦合对襟翼作动效果起主导作用,但同时也增加了系统非线性。

关键词: 智能旋翼, 后缘襟翼, 几何精确梁, 气动代理模型, 旋翼自由尾迹, 振动控制

Abstract:

A computational analysis was conducted to address the vibration reduction problem in the trailing-edge flap smart rotor system. First, a geometrically exact beam model based on Hamilton’s principle was employed to establish the aeroelastic coupling model of the system. Following validation through case studies, the effects of single- and combined-frequency deflection parameters on the rotor hub vibration components were analyzed. The influence of rotor blade stiffness characteristics on the vibration reduction effectiveness was further investigated. The calculation analysis results demonstrate that when the flap was deflected at single frequencies of 3/rev, 4/rev, 5/rev, and 6/rev, over 60% vibration reduction could be achieved for specific 4/rev hub load. However, simultaneous suppression of multiple 4/rev hub force and moment components proved challenging. For combined-frequency deflections, the hub vibration components exhibited combined influences from the corresponding single-frequency components as the control phase shifted. Variations in the trailing-edge flap deflection amplitude revealed that the optimal and worst vibration reduction initial phase values did not change obviously. Furthermore, the bending-torsion coupling of elastic blade dominated the actuation effectiveness of the trailing-edge flap while introducing additional system nonlinearities.

Key words: smart rotor, trailing-edge flap, geometrically exact beam, aerodynamic surrogate model, rotor free wake, vibration control

中图分类号: