Material Engineering and Mechanical Manufacturing

Effect of nanotube diameter on adhesion of simulated lunar dust on titanium alloy surface

  • Jun HE 1, 2 ,
  • Shigang XIN , 1, 2 ,
  • Haiyang JIAO 1 ,
  • Qing HUANG 1
Expand
  • 1. Shanghai Institute of Ceramics,Chinese Academy of Sciences,Shanghai 200050,China
  • 2. Center of Materials Science and Optoelectronics Engineering,University of Chinese Academy of Sciences,Beijing 100049,China

Received date: 2025-01-13

  Revised date: 2025-02-10

  Accepted date: 2025-03-14

  Online published: 2025-04-10

Abstract

The adhesion of lunar dust on the surface of spacecraft seriously threatens the stable operation of spacecraft. Passive dust mitigation technology reduces van der Waals forces through surface nanostructures, and has great application potential without additional energy. Titanium dioxide nanotube arrays were prepared on the surface of titanium alloy by anodic oxidation. The microstructure of the surface was characterized. The adhesion force between the surface and a single simulated lunar dust and the amount of simulated lunar dust adhesion when exposed to simulated lunar dust were measured.Results show that compared with the untreated titanium alloy surface, the adhesion force between a single simulated lunar dust particle and the surface is reduced by 87%, and the adhesion of simulated lunar dust is reduced by 70%. The diameter of the nanotubes (50-110 nm) can be precisely controlled by adjusting the voltage. In this range, the smaller diameter nanotubes exhibit better dust mitigation performance due to the minimization of the contact area, which is consistent with the theoretical model prediction based on van der Waals forces. The decrease of surface inclination angle or the increase of lunar dust exposure will lead to a significant increase in adhesion, indicating that both surface structure and operational conditions must be jointly optimized for practical applications.

Cite this article

Jun HE , Shigang XIN , Haiyang JIAO , Qing HUANG . Effect of nanotube diameter on adhesion of simulated lunar dust on titanium alloy surface[J]. ACTA AERONAUTICAET ASTRONAUTICA SINICA, 2026 , 47(1) : 431803 -431803 . DOI: 10.7527/S1000-6893.2024.31803

月球被认为是宇宙探索的前哨站。迄今为止,世界各国已发射了大量航天器用于月球探测。探测经验表明,成功的月球表面探测需要应对航天器、宇航员在月尘环境中所面临的挑战1-2。月球的真空环境、太阳辐射会导致月尘随着时间的推移积累在设备、宇航服的表面3-4。嫦娥三号航天器上的月尘探测器数据显示,其太阳能电池表面在月球表面着陆时已粘附了0.157 6 mg·cm-2的月尘,并在1个月昼(约 318 h)后达到 0.832 9 mg·cm-2[4-5。月尘颗粒粘附在航天器表面可能会带来许多不利影响,包括机械结构阻塞、热控制涂层效果降低、太阳能电池性能下降、对宇航员健康的潜在威胁6-10。月球的真空、低重力的环境,加上没有风的存在,使得月尘很难自发地从航天器表面脱落。因此,制定有效的防尘策略对于确保月球探测的成功至关重要11-13
为减少航天器表面月尘的积累,研究人员已经进行了大量研究工作。防尘方法大致可分为主动、被动除尘技术14-17。主动除尘技术通常采用外力清洁表面或减少月尘的粘附18。这些外力可以包括流体清洗、机械刷洗或振动、静电防护等方法19-20。主动除尘技术通常需要额外的能量和设备,导致航天器质量增大,并可能带来机械、电气故障问题。被动除尘技术则通过对航天器表面的处理来减少月尘的粘附力,从而减少月尘的粘附21。这种无需能量的解决方案在能量资源有限的情况下尤其具有吸引力。
通过在材料表面制备纳米结构,可以实现低范德华力表面22-23。Wang等24采用复合刻蚀法在铝合金表面制备了具有多尺度粗糙度的结构,这些结构有效减小了基材与月尘之间的接触面积,从而降低了月尘的粘附。Lee等25利用纳米压印技术,在聚碳酸酯基材上制备了不同周期的纳米结构,使月尘粘附量减少了93.1%,并提出了粉尘聚集模型来解释粉尘去除的机制。Zhang等26通过使用甲基三甲氧基硅烷、胶体二氧化硅纳米颗粒(SiO2)制备了透明涂层,展现了出色的防尘性能,且实验证明,在绝对干燥环境下,该涂层依然保持良好的除尘效果。虽然纳米结构对表面粘附力的影响已经被定性证明,但是纳米结构对月尘粘附特性的影响并不明确。因此,探索纳米结构在降低月尘粘附力方面的潜力,对于开发适用于月球探测任务的高性能材料具有重要的实际意义。
TC4钛合金(Ti6Al4V)因其高强度、轻量化及优异的空间环境耐受性(如抗辐射、耐极端温度循环),广泛应用于航天器结构件。阳极氧化工艺不仅能在金属表面制备自组织纳米阵列27-28。Poddar等29在不同温度和电压条件下在Ti6Al4V合金表面制备了纳米管结构,并讨论了氧化工艺对纳米管形貌的影响,Kim等30证明了表面处理工艺可有改性纳米管阵列的有序性。这些工作说明阳极氧化工艺具有很强的可调节性。理论上通过这一技术在钛合金表面制备二氧化钛纳米阵列,能够有效降低月尘与表面之间的粘附力,从而提高防尘性能。但是目前关于电化学阳极氧化工艺的研究主要集中在材料的表面改性方法,而对其在月尘防护中的应用尚缺乏研究。因此,本文通过阳极氧化在钛合金表面制备二氧化钛纳米阵列,评估纳米管阵列的防尘性能,研究纳米结构对模拟月尘粘附过程的影响。

1 实验方法

1.1 材 料

钛合金试样(Ti6Al4V)50 mm×50 mm×2 mm购自宝钛集团(中国陕西),乙二醇、氟化铵、乳酸购自上海阿拉丁化学试剂有限公司(中国上海)。模拟月尘通过中国科学院地球化学研究所提供的低钛玄武质模拟月壤(Chinese Lunar Regolith Simulant-1,CLRS-1)球磨粉碎制备,球磨时间为24 h。
模拟月尘SEM照片如图1所示,大部分模拟月尘由不规则的棱角分明的多面体构成,同时还包含了一些球形纳米颗粒。
图 1 模拟月尘形貌的SEM照片

Fig.1 SEM photographs of simulated lunar dust morphology

模拟月尘的粒径分布如图2所示,其粒径主要分布在0.1~10.0 μm。
图 2 模拟月尘粒径分布

Fig.2 Simulated lunar dust particle size distribution

表1显示了模拟月尘的主要成分,由X射线荧光光谱仪(X-ray Fluorescence Spectrometer)测量。(测试方法为熔片法,测试模式为氧化物模式),主要成分为SiO2、Al2O3、Fe2O3等,与阿波罗样品相比,模拟月尘与真实月尘的成分具有较高的相似性31
表1 模拟月尘和月尘的主要成分

Table 1 Main components of simulated lunar dust and lunar dust

成分 含量/wt%
模拟月尘 Apollo 1416329
Na2O 4.2 0.71
MgO 5.5 8.00
Al2O3 18.0 19.0
SiO2 46.0 48.50
K2O 2.1 0.59
CaO 6.6 11.30
TiO2 2.2 1.70
MnO 0.2 0.12
Fe2O3 14.0 9.20

1.2 纳米阵列的制备

Ti6Al4V试样首先在碱液中浸泡5 min去油,然后在乙醇中超声波清洗5 min进一步去油,随后用去离子水冲洗,最后放入烘箱中干燥以备用。纳米阵列涂层采用直流电源制备,电解质使用乙二醇作为基底,含有 0.15~0.25 mol·L-1的 NH4F、 2wt%~5wt%的 H2O、1.5 mol·L-1 的乳酸。使用Ti6Al4V试样作为阳极,石墨作为阴极,在恒压的条件下阳极氧化 60 min,氧化电压为40~80 V,氧化温度为60 ℃,并施以机械搅拌。阳极氧化结束后,用去离子水进行冲洗,然后在烘箱中干燥以备后用。
将未经处理的Ti6Al4V试样记为Ti-0,经过不同电压阳极氧化处理后的Ti6Al4V试样记为Ti-40、Ti-50、Ti-60、Ti-70、Ti-80,分别代表阳极氧化处理电压为40、50、60、70、80 V。

1.3 材料表征与分析

使用扫描电子显微镜(SEM,HITACHI UHR FE-SEM SU8220)在10 kV的工作电压下研究样品的表面形貌。使用轮廓仪(Wilson MMD-HPG100F)测量样品的微米粗糙度(R a)。使用了原子力显微镜(AFM,Bruker Dimension Icon)表征样品的表面形貌、纳米粗糙度(R a)。扫描区域大小为10 μm×10 μm,扫描频率为1 Hz。使用原子力显微镜(AFM,Bruker Dimension Icon)、颗粒探针测量单颗模拟月尘与不同的表面的粘附力,颗粒探针通过将一颗模拟月尘粘附至AFM探针针尖制备,通过原子力显微镜的、多控制器载物台进行操作。扫描模式为Force Volume,探针的弹性系数为0.059 N·m-1,探针曲率半径为6 μm。扫描区域大小为10 μm×10 μm,各区域粘附力由32×32个像素点得到,每个样品扫描3个不同区域。粘附有模拟月尘的颗粒探针的SEM照片如图3所示。
图 3 粘附有模拟月尘的颗粒探针的SEM照片

Fig.3 SEM photographs of particle probes adhered to lunar dust simulant

自制了1个设备模拟月尘环境24,如图4所示,将装有模拟月尘的容器放在了设备中间,通过旋转装有模拟月尘的容器将模拟月尘排出,撒在周围的样品架上。使用未处理的表面进行测量,对设备进行优化使得4个位置的粘附量相接近。测量之前,将模拟月尘放在80 ℃的烘箱中干燥24 h后放入设备中心的容器。以1 500 r/min转速旋转容器20 s,通过测量粘附在表面的模拟月尘的量表征防尘性能,相同的操作重复4次。
图 4 模拟月尘粘附设备示意图

Fig.4 Illustration of simulated lunar dust adhesion equipment

2 结果与讨论

2.1 纳米阵列的表面形貌和粗糙度

模拟月尘与表面的粘附力受到表面形貌、表面能的影响32,具有纳米结构的表面可以减小颗粒与表面的接触面积,从而减小颗粒与表面的范德华力。这也要求控制表面结构的特征尺寸,具有不同尺寸的纳米结构的表面与月尘的接触面积不同,导致不同的范德华力、粘附结果。过大的结构尺寸会导致颗粒物“卡”在结构的间隙中,所以表面的纳米结构尺寸需要小于月尘颗粒。在40、50、60、70、80 V的电压下对Ti6Al4V试样进行阳极氧化,以获得具有不同的尺寸的纳米阵列,纳米阵列结构尺寸小于绝大部分月尘颗粒,可有效缓解月尘被限制在结构中的问题。
Ti6Al4V样品的表面形貌如图5(a)~图5(f)所示,未氧化的Ti6Al4V试样表面光滑。纳米管阵列在阳极氧化的Ti6Al4V试样表面形成。纳米管阵列显示出相对良好的排列结构,并完全覆盖在表面。在某些区域观察到的破损可能是因为合金元素的溶解所致。
图 5 纳米管的表面形貌

Fig.5 Surface morphology of nanotubes

图6显示了在不同电压下阳极氧化制备的纳米管阵列的半径,通过扫描电子显微镜观察,并使用ImageJ软件分析,结果表明,纳米管阵列的半径与阳极氧化过程中施加的电压呈正相关。Ti-40的半径最小(50 nm),而Ti-80的半径最大(110 nm)。
图 6 纳米管的表面形貌及纳米管半径与氧化电压的关系

Fig.6 Relationship between radius of nanotubes and oxidation voltage

图7展示了样品表面粗糙度的变化。结果表明,Ti-0样品具有最小的微米粗糙度和纳米粗糙度。经过阳极氧化后的Ti6Al4V样品的微米粗糙度逐渐提高。与SEM的观察结果一致。微米级粗糙度最高的Ti-70,也仅为0.21 μm,仍保持在较低水平。这是由于微米级粗糙度的增大主要由纳米阵列长度的不一致所致,这表明钛合金的低微米级粗糙度得到了保留。阳极氧化后的Ti6Al4V样品的纳米粗糙度也得到了显著增大,但是粗糙度的增量与施加的氧化电压无很强相关性,其中Ti-50具有最大的纳米粗糙度。
图 7 表面的微米粗糙度和纳米粗糙度

Fig.7 Micro-roughness and nano-roughness of titanium alloy surface

图8展示了未经处理及经过不同电压阳极氧化处理后的Ti6Al4V试样的表面三维原子力显微镜(AFM)图像。图8(a)为未经处理的试样,表面较为平整且均匀,几乎没有明显的粗糙特征。而经过阳极氧化处理的表面粗糙度显著提升,表现出复杂的峰谷结构,峰谷分布密集且起伏幅度大。
图 8 纳米管阵列的表面AFM图像

Fig.8 Surface AFM images of nanotube arrays

2.2 单颗模拟月尘与表面之间的粘附力测量

单个模拟月尘与表面之间的粘附力可以通过将模拟月尘颗粒粘贴在AFM颗粒探针上来测量33-34。用此方法测量了Ti-0、Ti-40、Ti-50、Ti-60、Ti-70、Ti-80样品与单个模拟月尘之间的粘附力。在每个样品表面选取3个10 μm×10 μm的区域,每个区域采集1 024个数据点,共计3 072个。
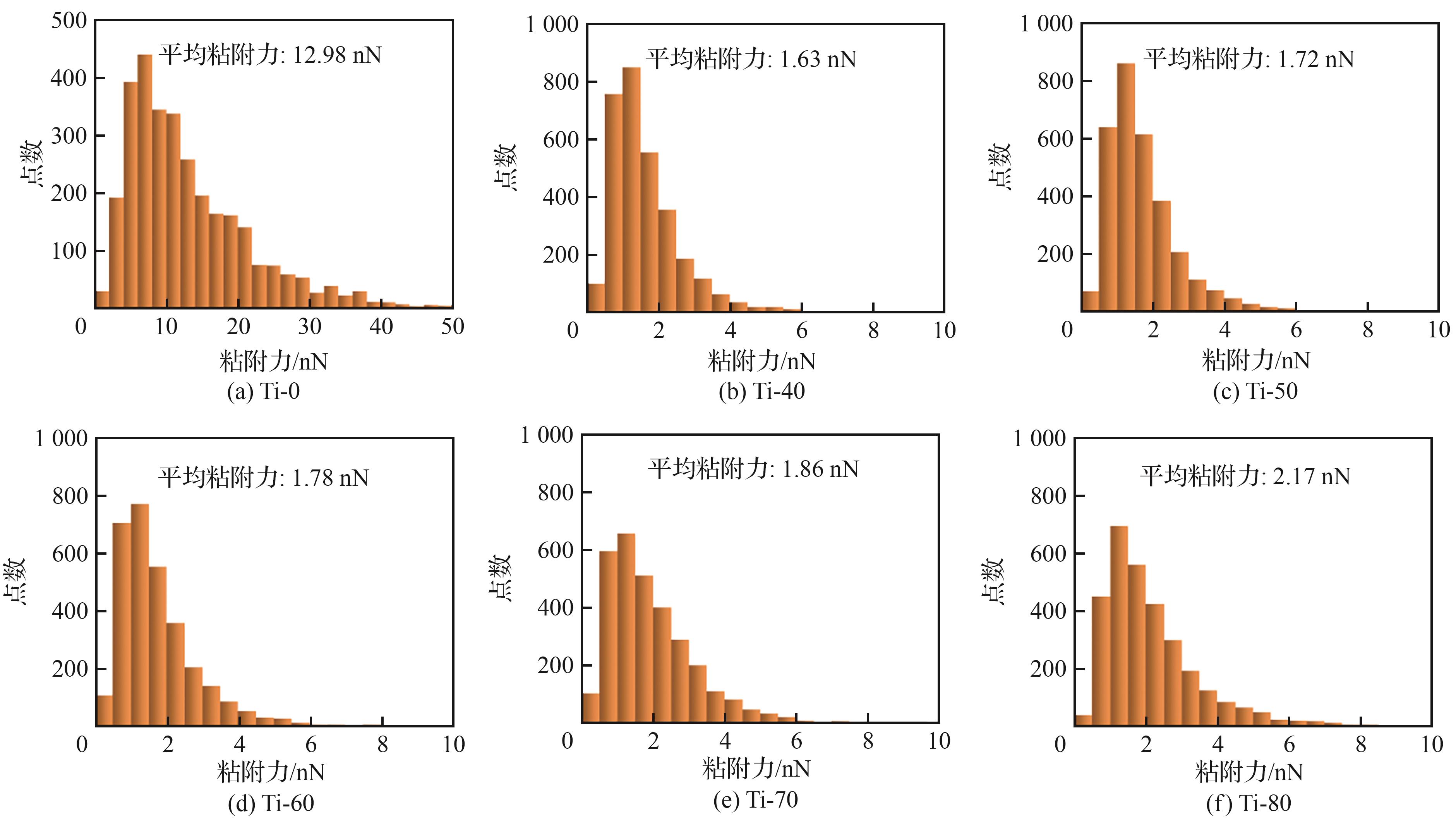
图9显示了Ti-0、Ti-40、Ti-50、Ti-60、Ti-70、Ti-80与单个模拟月尘的粘附力。结果表明,光洁度较好的Ti-0表面具有较高的粘附力,其平均值为12.98 nN。相比之下,经过阳极处理的钛合金的粘附力明显下降。Ti-40表现出最低的粘附力水平,平均粘附力为1.63 nN,比Ti-0减小了87%。上述结果表明,纳米阵列有效减小了模拟月尘与表面之间的粘附力。这是因为,与光滑表面相比,纳米阵列的存在可以有效减小模拟月尘颗粒与表面的接触面积。实验结果表明,随着氧化电压增大,纳米阵列的表面附着力增大。这表明粘附力与纳米阵列的结构尺寸有关。结果表明,当半径在50~110 nm范围内时,结构尺寸越小,粘附力越小。
图 9 钛合金表面与单颗模拟月尘之间的粘附力

Fig.9 Adhesion force between titanium alloy surface and single lunar dust adhesion force between single lunar dust

Rumpf模型是一种广泛使用的估算颗粒与表面之间范德华力的方法,示意图如图10(a)所示。范德华力表示半径为 R的球形粒子与半径为 r的半球表面之间的相互作用力,计算公式为
F v d w = A 6 H 0 2 r R r + R + R 1 + r / H 0 2
式中: A为Hamak常数,与粒子的表面能、表面形貌本身有关; H 0为颗粒与粗糙度顶部之间的平衡距离,通常为0.3~0.4 nm。这说明颗粒与表面之间的范德华力取决于接触面、表面粗糙度以及颗粒、表面2种材料特性。
图 10 范德华力模型示意图

Fig.10 van der Waals force model diagrams

Gaier和Berkebile21对Rumpf模型进行了修改,使其可以适用于各种粗糙表面,如图10(b)所示,而不仅仅是半球形表面。用粗糙度的均方根( r m s)代替半径( r),从而将一般的粗糙表面等效为1个半球面,则式(1)变为
F v d w = A 6 H 0 2 1.48   r m s   R 1.48   r m s + R + R 1 + 1.48   r m s / H 0 2
考虑到表面粗糙度可以很容易测量得到,这种修正可以用于计算一般表面的范德华力,具有更高的适用性。
模拟月尘与纳米阵列的相关作用如图10(c)所示,为了更准确地估计纳米阵列与模拟月尘颗粒之间的范德华力,使用类似的修正将纳米管列等效为半球,将纳米阵列等效为具有一定半径的半球。其中,等效半球表面的半球半径r与纳米阵列的 r 0成正比,半径比记为 λ,如图10(d)所示。这种修正使能够确定纳米阵列的尺寸与其对模拟月尘施加的范德华力之间的关系,从而有利于更准确地估计范德华力的大小。前述修正后的范德华力大小为
F v d w = A 6 H 0 2 λ r 0   R λ r 0 + R + R 1 + λ r 0 / H 0 2
纳米阵列的等效半球之间的关系如图11(a)所示。由于纳米阵列的半径为50~100 nm,范德华力、结构尺寸在此范围内几乎呈线性增大,这说明结构尺寸越大,范德华力也越大,这与测量的粘附力结果一致。在不考虑其他相关力的影响,即假设测量的粘附力完全由范德华力提供的情况下,拟合结果表明纳米阵列与等效半球的半径比λ约为1.1,这表明相同尺寸的纳米管与半球、单个模拟月尘(模拟月尘的半径为6 μm)之间的范德华力几乎相等。考虑到测量的粘附力可能包含其他力(如静电力、毛细力),因此实际半径比λ可能较小。
图 11 范德华力与纳米结构、颗粒尺寸的关系

Fig.11 Relationship between van der Waals force and nanostructure, particle size

图11(a)还展示了在0~150 nm范围内纳米管阵列与粘附力的关系。结果表明,当特征尺寸足够小(小于3 nm)时,模拟月尘与表面的粘附力很大。该区域在Rabinovich模型中表示为足够光滑的区域。这很好地说明了样品Ti-0具有较小表面粗糙度的同时具有最高的粘附力(12.98 nN)。图11(b)显示了不同尺寸的模拟月尘、纳米阵列的范德华力。结果表明,月尘的粒径越大,粘附力越大,且纳米结构尺寸越大时差异越显著,说明在一定范围内减小纳米结构的特征尺寸对减小大颗粒月尘的粘附力更有效,但是其影响不如减小纳米结构的尺寸对粘附力的影响大。

2.3 纳米阵列的防尘性能

为了研究纳米阵列的宏观防尘性能,表征了模拟月尘在不同表面的粘附量。如图12(a)所示:当扬尘量为5 g时,未处理的Ti6Al4V样品表面的模拟月尘粘附量为0.542 0 mg·cm-2,而阳极氧化后的纳米阵列表面粘附量仅为0.164 2~0.262 5 mg·cm-2。其中,Ti-40的粘附量最小(0.164 2 mg·cm-2),仅为Ti-0的30%,与粘附力测量结果一致。表明纳米阵列的存在降低了表面与模拟月尘之间的粘附力,因此当暴露在模拟月尘环境中时,表面对模拟月尘的粘附量更小。
图 12 在不同模拟条件下的模拟月尘粘附量

Fig.12 Amount of simulated lunar adhesion under different simulation conditions

对于不同尺寸的纳米阵列表面,粘附量的结果与粘附力的结果基本一致。纳米阵列的尺寸越大,粘附的模拟月尘越多。
图12(a)所示,在不同模拟月尘的喷洒量下,纳米阵列表面模拟月尘粘附量都明显小于光滑的Ti6Al4V试样,说明纳米阵列在不同的模拟月尘喷洒量下防尘性能均优于初始的Ti6Al4V试样。并且模拟月尘粘附量随着喷洒量增加而增大,说明模拟月尘的粘附量除受到粘附力影响外,还会受到模拟月尘接触量的影响,在高模拟月尘表露量的环境下可能比低模拟月尘暴露量环境下可粘附上更多的模拟月尘,这要求关注月尘在表面的积累问题。模拟月尘粘附量与扬尘量也呈非线性关系,这说明表面模拟月尘粘附将影响后续的模拟月尘的粘附、脱附。在不同的倾斜角度下测试了模拟月尘的粘附量,结果表明(见图12(b)),模拟月尘粘附量会随着倾斜角度增大而减少。这可能与倾斜角度不同时,模拟月尘与表面接触的概率不同有关,高角度下模拟月尘接触量会更少,在高角度下,模拟月尘受到材料表面的粘附力在垂直方向的分力更多来自摩擦力而非支持力在垂直方向上的分力,需要更大的粘附力才能保证模拟月尘不从表面滑落,这也表明模拟月尘的粘附量还与接触表面的角度有关。
为了研究模拟月尘在不同阳极氧化钛表面(Ti-0、Ti-40)上的附着行为,使用光学显微镜对其表面形貌进行了表征。图13展示了模拟月尘在未处理钛表面(Ti-0)与经过阳极氧化处理的 Ti-40表面上的微观形貌变化。其中,图13(a)、图13(b)所示为Ti-0表面的月尘分布,图像显示大量月尘聚集在表面,分布较为不均匀,部分区域形成了较大的颗粒团聚,团聚的形成与月尘之间的相互作用力有关。图13(c)、图13(d)显示了Ti-40表面上月尘的分布情况,月尘的附着程度显著降低,同时模拟月尘大多以团聚的形式存在,这是因为月尘与Ti-40表面的相互作用力较小,月尘颗粒更容易相互粘附。
图 13 模拟月尘在Ti-0、Ti-40表面的光学显微镜图像

Fig.13 Optical images of simulated lunar dust on surfaces of Ti-0 and Ti-40

3 结 论

采用阳极氧化法在钛合金表面制备了不同尺寸的纳米阵列,表征了其对单颗模拟月尘的粘附力,以及暴露在模拟月尘环境中的粘附量。得到以下主要结论。
1) 阳极氧化处理有效提升表面粗糙度。通过阳极氧化在钛合金表面制备二氧化钛纳米管阵列,显著增大了表面的粗糙度,其纳米粗糙度均超过了20 nm。
2) 模拟月尘粘附力显著降低。与未处理的钛合金表面相比,阳极氧化处理后的表面的模拟月尘粘附力从12.98 nN减小至1.63 nN。其中较小尺寸(50 nm)的纳米结构对减少月尘粘附量具有更显著的效果。
3) 月尘粘附量减少。阳极氧化后的表面的模拟月尘粘附量从0.542 0 mg·cm⁻²减小至0.164 2 mg·cm⁻²。通过调节氧化电压,形成了直径50~110 nm的纳米管阵列,表现出可调控的防尘能力。
4) 表面倾斜角度的减小、月尘暴露量的增加均会导致模拟月尘的粘附量增大,表明月尘的防护需要考虑表面倾斜、暴露环境的因素。
研究通过在钛合金表面制备了纳米结构,显著增强了表面的防尘性能,在月球探索中具有一定的应用前景。未来的研究可能还需要解决月球环境中的稳定性、耐磨性等,以增强纳米管在实际应用中的应用,同时还可以使用表面修饰的方法进一步提高其性能。
[1]
GRÜN E HORANYI M STERNOVSKY Z. The lunar dust environment[J]. Planetary and Space Science201159(14): 1672-1680.

[2]
GAIER J R. Interpretation of the Apollo 14 thermal degradation sample experiment[J]. Icarus2012221(1): 167-173.

[3]
ZHANG H Y WANG Y CHEN L P, et al. In-situ lunar dust deposition amount induced by lander landing in Chang’E-3 mission[J]. Science China Technological Sciences202063(3): 520-527.

[4]
JIN H LI X Y WEI G F, et al. Properties of lunar dust and their migration on the moon[J]. Space: Science & Technology20244: 142.

[5]
GOLUB’ A P POPEL S I. On the fluxes of dust particles detected near the lunar surface by the Chang’e 3 lander[J]. Solar System Research202155(5): 389-397.

[6]
LEMELLE L ROUQUETTE S MOTTIN E, et al. Passive limitation of surface contamination by perFluoroDecylTrichloroSilane coatings in the ISS during the MATISS experiments[J]. NPJ Microgravity20228: 31.

[7]
POPEL S I ZELENYI L M GOLUB A P, et al. Lunar dust and dusty plasmas: Recent developments, advances, and unsolved problems[J]. Planetary and Space Science2018156: 71-84.

[8]
CAIN J R. Lunar dust: the hazard and astronaut exposure risks[J]. Earth, Moon, and Planets2010107(1): 107-125.

[9]
ZANON P DUNN M BROOKS G. Current Lunar dust mitigation techniques and future directions[J]. Acta Astronautica2023213: 627-644.

[10]
BRADDOCK M. Hazards of lunar regolith for respiratory, central nervous system, cardiovascular and ocular function[M]∥The Human Factor in the Settlement of the Moon. Cham: Springer International Publishing, 2021: 141-157.

[11]
CANNON K M DREYER C B SOWERS G F, et al. Working with lunar surface materials: Review and analysis of dust mitigation and regolith conveyance technologies[J]. Acta Astronautica2022196: 259-274.

[12]
BARKER D C OLIVAS A FARR B, et al. Adhesion of lunar simulant dust to materials under simulated lunar environment conditions[J]. Acta Astronautica2022199: 25-36.

[13]
LEE R G WORTHY E S WILLIS E M, et al. Development of a comprehensive physics-based model for study of NASA gateway lunar dust contamination[J]. Acta Astronautica2023210: 616-626.

[14]
JIANG J LU Y F ZHAO H Y, et al. Experiments on dust removal performance of a novel PLZT driven lunar dust mitigation technique[J]. Acta Astronautica2019165: 17-24.

[15]
HIRABAYASHI M HARTZELL C M BELLAN P M, et al. Electrostatic dust remediation for future exploration of the Moon[J]. Acta Astronautica2023207: 392-402.

[16]
FARR B WANG X GOREE J, et al. Improvement of the electron beam (e-beam) lunar dust mitigation technology with varying the beam incident angle[J]. Acta Astronautica2021188: 362-366.

[17]
DOVE A DEVAUD G WANG X, et al. Mitigation of lunar dust adhesion by surface modification[J]. Planetary and Space Science201159(14): 1784-1790.

[18]
JIANG J LU Y F YAN X T, et al. An optimization dust-removing electrode design method aiming at improving dust mitigation efficiency in lunar exploration[J]. Acta Astronautica2020166: 59-68.

[19]
FARR B WANG X GOREE J, et al. Dust mitigation technology for lunar exploration utilizing an electron beam[J]. Acta Astronautica2020177: 405-409.

[20]
JIANG J ZHAO H Y WANG L, et al. Analysis of influence factors on dust removal efficiency for novel photovoltaic lunar dust removal technology[J]. Smart Materials and Structures201726(12): 125025.

[21]
GAIER J BERKEBILE S. Implication of adhesion studies for dust mitigation on thermal control surfaces[C]∥50th AIAA Aerospace Sciences Meeting Including the New Horizons Forum and Aerospace Exposition. Reston: AIAA, 2012: 875.

[22]
ZHANG H Y WANG X ZHANG J, et al. Adhesion effect analysis of ultra-fine lunar dust particles on the aluminum-based rough surface based on the fractal theory[J]. Advances in Space Research202269(7): 2745-2755.

[23]
ZHANG G L HUANG J D WANG L S, et al. Design and fabrication of dust removal nanoarray structure on the surface of solar cell glass cover[J]. Journal of Science: Advanced Materials and Devices20238(2): 100545.

[24]
WANG X WANG W D SHAO H, et al. Lunar dust-mitigation behavior of aluminum surfaces with multiscale roughness prepared by a composite etching method[J]. ACS Applied Materials & Interfaces202214(29): 34020-34028.

[25]
LEE S S MICKLOW L TUNELL A, et al. Engineering large-area antidust surfaces by harnessing interparticle forces[J]. ACS Applied Materials & Interfaces202315(10): 13678-13688.

[26]
ZHANG J W WANG W Q ZHOU S X, et al. Transparent dust removal coatings for solar cell on Mars and its Anti-dust mechanism[J]. Progress in Organic Coatings2019134: 312-322.

[27]
ALIJANI M SOPHA H, NG S, et al. High aspect ratio TiO2 nanotube layers obtained in a very short anodization time[J]. Electrochimica Acta2021376: 138080.

[28]
ROY P BERGER S SCHMUKI P. TiO2 nanotubes: synthesis and applications[J]. Angewandte Chemie International Edition201150(13): 2904-2939.

[29]
PODDAR S, BIT A, SINHA S K. A study on influence of anodization on the morphology of titania nanotubes over Ti6Al4V alloy in correlation to hard tissue engineering application[J]. Materials Chemistry and Physics2020254: 123457.

[30]
KIM D GHICOV A SCHMUKI P. TiO2 nanotube arrays: Elimination of disordered top layers (“nanograss”) for improved photoconversion efficiency in dye-sensitized solar cells[J]. Electrochemistry Communications200810(12): 1835-1838.

[31]
LIU Y PARK J HILL E, et al. Morphology and physical characteristics of Apollo 17 dust particles[C]∥Earth & Space 2006. American Society of Civil Engineers, 2006: 1-6.

[32]
PENG M HAN X XIAO G Z, et al. Spherical volume elements scheme for calculating van der Waals force between irregular particles and rough surfaces[J]. Chinese Journal of Physics202172: 645-654.

[33]
PEILLON S AUTRICQUE A REDOLFI M, et al. Adhesion of tungsten particles on rough tungsten surfaces using Atomic Force Microscopy[J]. Journal of Aerosol Science2019137: 105431.

[34]
HASEGAWA M LIU J C OKUDA K, et al. Calculation of the fractal dimensions of machined surface profiles. [J] Wear 1996192(1-2): 40-45.

Outlines

/