Acta Aeronautica et Astronautica Sinica ›› 2026, Vol. 47 ›› Issue (1): 632109.doi: 10.7527/S1000-6893.2025.32109
• Special Topic: The 27th Annual Meeting of the China Association for Science and Technology • Previous Articles
Jiaxin DUAN1, Yuan LIU1, Liangjie GAO1, Zhansen QIAN1,2(
)
Received:2025-04-11
Revised:2025-05-26
Accepted:2025-06-16
Online:2025-07-04
Published:2025-10-30
Contact:
Zhansen QIAN
E-mail:qianzs@avic.com
Supported by:CLC Number:
Jiaxin DUAN, Yuan LIU, Liangjie GAO, Zhansen QIAN. A novel wide-speed waverider design method with variable multi-parameter along spanwise direction[J]. Acta Aeronautica et Astronautica Sinica, 2026, 47(1): 632109.
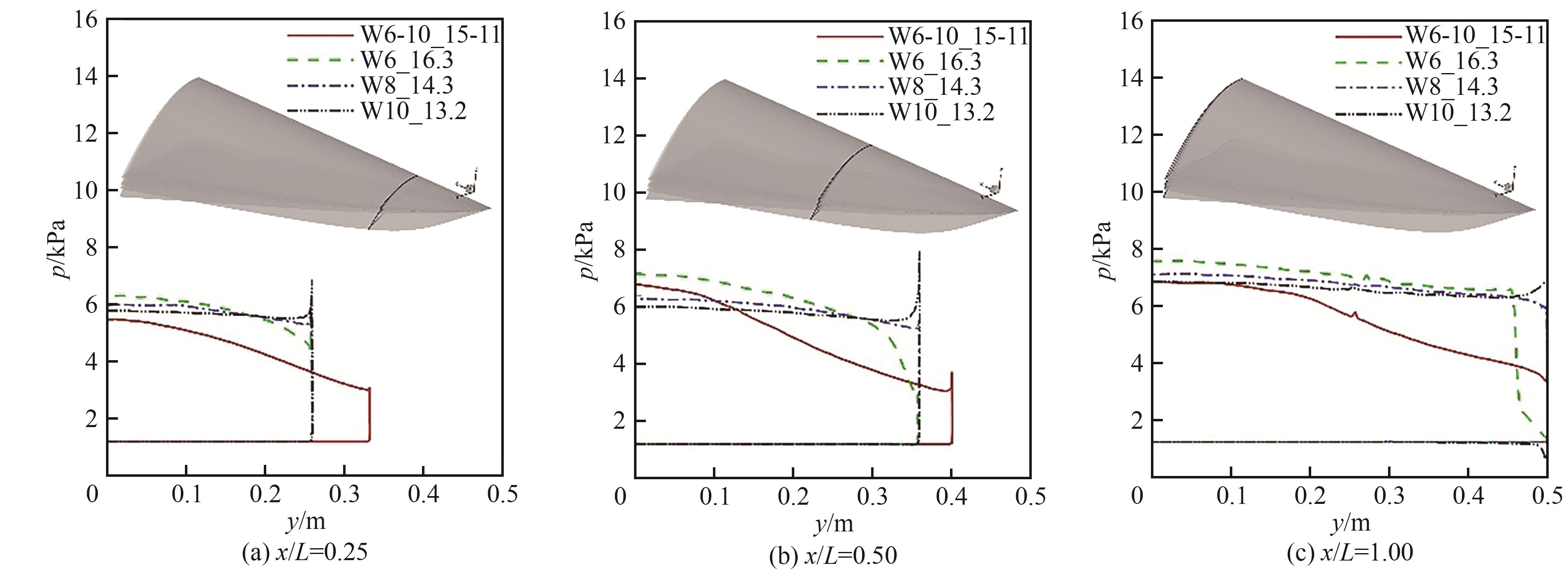
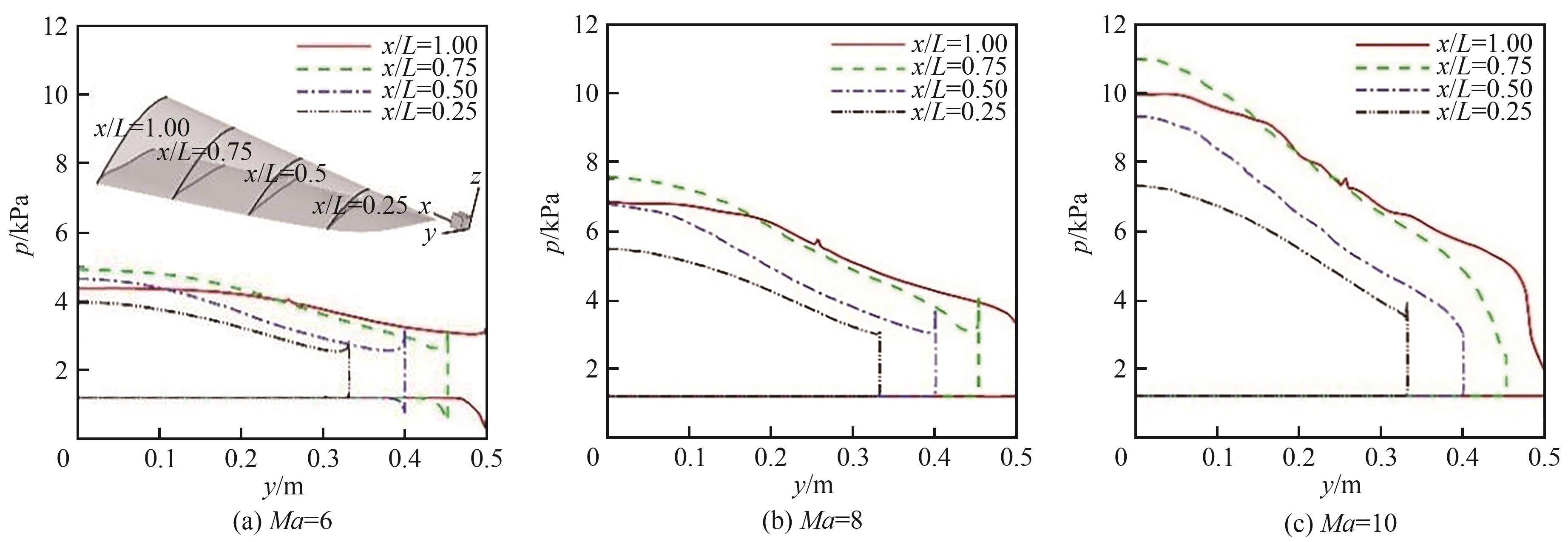
Table 1
Comparison of design parameters and geometric features of osculating waveriders
| 构型 | 设计参数 | 几何特征 | |||||||
|---|---|---|---|---|---|---|---|---|---|
| Ma | L/m | W/m | Sp/m2 | Sb/m2 | Swet/m2 | V/m3 | η | ||
| W6-10_15-11 | 6~10 | 15.0~11.0 | 2 | 0.5 | 0.760 | 0.122 00 | 2.254 | 0.093 | 0.091 1 |
| W6_16.3 | 6 | 16.3 | 2 | 0.5 | 0.674 | 0.119 02 | 2.106 | 0.093 | 0.097 5 |
| W8_14.3 | 8 | 14.3 | 2 | 0.5 | 0.676 | 0.119 06 | 2.031 | 0.093 | 0.102 0 |
| W10_13.2 | 10 | 13.2 | 2 | 0.5 | 0.677 | 0.118 09 | 1.944 | 0.093 | 0.101 0 |
| [1] | 蔡国飚, 徐大军. 高超声速飞行器技术[M]. 北京: 科学出版社, 2012: 1-4. |
| CAI G B, XU D J, Hypersonic vehicle technology[M]. Beijing: Science Press, 2012: 1-4 (in Chinese). | |
| [2] | 王旭东. 吸气式高超声速飞行器内外流一体化乘波气动布局设计技术研究[D]. 南京: 南京航空航天大学, 2020: 1. |
| WANG X D. Research on airframe/inlet integrated waverider aerodynamic design technology of air-breathing hypersonic vehicles [D]. Nanjing: Nanjing University of Aeronautics and Astronautics, 2020: 1 (in Chinese). | |
| [3] | WANG F, FAN P F, ZHANG J, et al. Preventing inlet unstart in air-breathing hypersonic vehicles using adaptive backstepping control with state constraints[J]. Acta Astronautica, 2023, 211: 498-509. |
| [4] | 范阳涛, 汪民乐, 朱亚红, 等. 临近空间高超声速飞行器作战应用研究[J]. 飞航导弹, 2014(4): 15-18, 44. |
| FAN Y T, WANG M L, ZHU Y H, et al. Research on operational application of near space hyper-sonic vehicle[J]. Aerodynamic Missile Journal, 2014(4): 15-18, 44 (in Chinese). | |
| [5] | DZIDO A, KRAWCZYK P. Numerical analysis of supersonic flow through dry-ice blasting nozzles: Comparative study of nozzle designs and particle transport efficiency[J]. Applied Thermal Engineering, 2025, 266: 125749. |
| [6] | CHERNYSHEV S L, POGOSYAN M A, SYPALO K I. On ecologically-safe high-speed vehicles: Conceptual design study of the next generation supersonic transport[J]. Acta Astronautica, 2024, 216: 437-445. |
| [7] | HILTON S, SABATINI R, GARDI A, et al. Space traffic management: Towards safe and unsegregated space transport operations[J]. Progress in Aerospace Sciences, 2019, 105: 98-125. |
| [8] | GE T S, CHAI R Q, ZHU Q H, et al. Adaptive multivariate reusable launch vehicles reentry attitude control with pre-specified performance in the presence of unmatched disturbances[J]. Aerospace Science and Technology, 2024, 145: 108858. |
| [9] | APROVITOLA A, MONTELLA N, IUSPA L, et al. An optimal heat-flux targeting procedure for LEO re-entry of reusable vehicles[J]. Aerospace Science and Technology, 2021, 112: 106608. |
| [10] | CALLSEN S, WILKEN J, STAPPERT S, et al. Feasible options for point-to-point passenger transport with rocket propelled reusable launch vehicles[J]. Acta Astronautica, 2023, 212: 100-110. |
| [11] | 陈树生, 张兆康, 李金平, 等. 一种宽速域乘波三角翼气动布局设计[J]. 航空学报, 2023, 44(23): 128441. |
| CHEN S S, ZHANG Z K, LI J P, et al. Wide-speed aerodynamic layout adopting waverider-delta wing[J]. Acta Aeronautica et Astronautica Sinica, 2023, 44(23): 128441 (in Chinese). | |
| [12] | RASMUSSEN M L. Waverider configurations derived from inclined circular and elliptic cones[J]. Journal of Spacecraft and Rockets, 1980, 17(6): 537-545. |
| [13] | SOBIECZKY H, DOUGHERTY F, JONES K D. Hypersonic waverider design from given shock waves[C]∥ First International Waverider Symposium. 1990. |
| [14] | MAZHUL’I I. Off-design regimes of flow past waveriders based on isentropic compression flows[J]. Fluid Dynamics, 2010, 45(2): 271-280. |
| [15] | MUSA O, HUANG G P, YU Z H. Assessment of new pressure-corrected design method for hypersonic internal waverider intake[J]. Acta Astronautica, 2022, 201: 230-246. |
| [16] | 戴今钊, 汤继斌, 陈海昕. 高超声速飞行器中的乘波设计综述[J]. 战术导弹技术, 2021(4): 1-15. |
| DAI J Z, TANG J B, CHEN H X. An overview of waverider design in hypersonic vehicles[J]. Tactical Missile Technology, 2021(4): 1-15 (in Chinese). | |
| [17] | QIAO N X, MA T L, JING B, et al. Design and aerodynamic analysis of the morphing waverider with rotating telescopic wing for wide-speed-range flight[J]. Aerospace Science and Technology, 2025, 158: 109941. |
| [18] | ZHAO Z T, HUANG W, YAN L, et al. Low speed aerodynamic performance analysis of vortex lift waveriders with a wide-speed range[J]. Acta Astronautica, 2019, 161: 209-221. |
| [19] | 刘传振, 白鹏, 陈冰雁. 双后掠乘波体设计及性能优势分析[J]. 航空学报, 2017, 38(6): 120808. |
| LIU C Z, BAI P, CHEN B Y. Design and property advantages analysis of double swept waverider[J]. Acta Aeronautica et Astronautica Sinica, 2017, 38(6): 120808 (in Chinese). | |
| [20] | LIU C Z, BAI P. Waverider design using osculating method[J]. AIAA Journal, 2024, 62(5): 1643-1661. |
| [21] | WANG J F, LIU C Z, BAI P, et al. Design methodology of the waverider with a controllable planar shape[J]. Acta Astronautica, 2018, 151: 504-510. |
| [22] | LIU C Z, BAI P, YANG Y J, et al. Double swept waverider from osculating-cone method[J]. Journal of Aerospace Engineering, 2018, 31(6): 06018004. |
| [23] | 李珺, 易怀喜, 王逗, 等. 基于投影法的双后掠乘波体气动性能[J]. 航空学报, 2021, 42(12): 124703. |
| LI J, YI H X, WANG D, et al. Aerodynamic performance of double swept waverider based on projection method[J]. Acta Aeronautica et Astronautica Sinica, 2021, 42(12): 124703 (in Chinese). | |
| [24] | FENG C, CHEN S S, YUAN W, et al. A wide-speed-range aerodynamic configuration by adopting wave-riding-strake wing[J]. Acta Astronautica, 2023, 202: 442-452. |
| [25] | 陈树生, 冯聪, 张兆康, 等. 基于全局/梯度优化方法的宽速域乘波-机翼布局气动设计[J]. 航空学报, 2024, 45(6): 629596. |
| CHEN S S, FENG C, ZHANG Z K, et al. Aerodynamic design of wide-speed-range waverider-wing configuration based on global & gradient optimization method[J]. Acta Aeronautica et Astronautica Sinica, 2024, 45(6): 629596 (in Chinese). | |
| [26] | 王发民, 李立伟, 姚文秀, 等. 乘波飞行器构型方法研究[J]. 力学学报, 2004, 36(5): 513-519. |
| WANG F M, LI L W, YAO W X, et al. Research on waverider configuration method[J]. Acta Mechanica Sinica, 2004, 36(5): 513-519 (in Chinese). | |
| [27] | 王发民, 丁海河, 雷麦芳. 乘波布局飞行器宽速域气动特性与研究[J]. 中国科学(E辑: 技术科学), 2009, 39(11): 1828-1835. |
| WANG F M, DING H H, LEI M F. Study on wide-velocity aerodynamic characteristics of waverider layout aircraft[J]. Science in China (Series E (Technological Sciences)), 2009, 39(11): 1828-1835 (in Chinese). | |
| [28] | WANG F M, DING H H, LEI M F. Aerodynamic characteristics research on wide-speed range waverider configuration[J]. Science in China Series E: Technological Sciences, 2009, 52(10): 2903-2910. |
| [29] | LI S B, HUANG W, WANG Z G, et al. Design and aerodynamic investigation of a parallel vehicle on a wide-speed range[J]. Science China Information Sciences, 2014, 57(12): 1-10. |
| [30] | ZHANG T T, WANG Z G, HUANG W, et al. A design approach of wide-speed-range vehicles based on the cone-derived theory[J]. Aerospace Science and Technology, 2017, 71: 42-51. |
| [31] | 刘珍. 吻切流场乘波气动设计理论和方法研究[D]. 长沙: 国防科技大学, 2018: 48-75. |
| LIU Z. Research on novel aerodynamic design theory and meth-odology for osculating flowfield waverider[D]. Changsha: National University of Defense Technology, 2018: 48-75 (in Chinese). | |
| [32] | 孟旭飞, 白鹏, 刘传振. 基于可变马赫数锥形流场的定平面形状乘波体设计方法研究[J]. 力学学报, 2023, 55(9): 1809-1819. |
| MENG X F, BAI P, LIU C Z. Research on design method of planform-customized waverider from variable Mach number conical flow[J]. Chinese Journal of Theoretical and Applied Mechanics, 2023, 55(9): 1809-1819 (in Chinese). | |
| [33] | 孟旭飞, 白鹏, 刘传振. 可变马赫数乘波体的宽速域性能优势探究[J]. 力学学报, 2024, 56(12): 3442-3454. |
| MENG X F, BAI P, LIU C Z. Advantage exploring of variable Mach number waverider in hypersonic wide-speed performances[J]. Chinese Journal of Theoretical and Applied Mechanics, 2024, 56(12): 3442-3454 (in Chinese). | |
| [34] | 崔春. 1.2 m三声速风洞流场性能的试验研究[D]. 长沙: 国防科学技术大学, 2012: 29-43. |
| CUI C. Experimental study on flow field performance of 1.2 m three speed wind tunnel[D]. Changsha: National University of Defense Technology, 2012: 29-43 (in Chinese). | |
| [35] | 高亮杰, 辛亚楠, 袁野, 等. 航空工业1 m量级高超声速风洞设计与建设进展[J]. 实验流体力学, 2022, 36(1): 44-51. |
| GAO L J, XIN Y N, YUAN Y, et al. Design and construction progress of AVIC Φ1.0 m hypersonic wind tunnel[J]. Journal of Experiments in Fluid Mechanics, 2022, 36(1): 44-51 (in Chinese). |
| [1] | Guoliang RONG, Yifan YANG, Chuangchuang LI, Zhiyuan LI, Xueliang LI, Jiaquan ZHAO, Jie WU. Integrated design of homogeneous mixing and heating of flow based on dual-throat Ludwieg tube wind tunnel settling chamber [J]. Acta Aeronautica et Astronautica Sinica, 2025, 46(9): 130906-130906. |
| [2] | Jianyu XU, Li ZHOU, Zhanxue WANG, Jie SHI, Hao SHI. Calculation method for hypersonic plume infrared radiation based on a fast line-by-line calculation model [J]. Acta Aeronautica et Astronautica Sinica, 2025, 46(8): 630778-630778. |
| [3] | Feiteng LUO, Zhenming QU, Haitao LI, Xinke LI, Dahao YAO, Wenjuan CHEN, Yaosong LONG, Baoxi WEI, Yanjin MAN, Fujiang YANG, Qiang CHENG, Wubin KONG. Research progress and key issues of inlet pre-injection at hypersonic condition [J]. Acta Aeronautica et Astronautica Sinica, 2025, 46(8): 631189-631189. |
| [4] | Lixiang WEI, Jinglei XU, Kuangshi CHEN, Shuai HUANG, Jianhui GE, Guangtao SONG. Scheme design and performance study of adjustable vector nozzle for wide-range hypersonic aircraft [J]. Acta Aeronautica et Astronautica Sinica, 2025, 46(8): 631086-631086. |
| [5] | Xiaogang ZHENG, Zhancang HU, Zejun CAI, Chongguang SHI, Chengxiang ZHU, Yancheng YOU. Design of 3D inward-turning inlet considering cruising angle of attack [J]. Acta Aeronautica et Astronautica Sinica, 2025, 46(8): 631233-631233. |
| [6] | Xiaogang ZHENG, Chongguang SHI, Jiale ZHANG, Mi ZHANG, Wenlei ZHU, Chengxiang ZHU, Yancheng YOU. Research progress review on hypersonic three-dimensional inward-turning inlet [J]. Acta Aeronautica et Astronautica Sinica, 2025, 46(8): 631245-631245. |
| [7] | Zonglin JIANG, Guilai HAN, Yunpeng WANG, Yunfeng LIU, Chaokai YUAN, Changtong LUO, Chun WANG, Zongmin HU, Meikuan LIU. Theoretical bases and key technologies of JF-22 hypervelocity wind tunnel [J]. Acta Aeronautica et Astronautica Sinica, 2025, 46(5): 531130-531130. |
| [8] | Feng QU, Qing WANG, Shaowen CHENG, Kaiqiang WANG. Aerodynamic shape optimization design of airframe/propulsion integrated hypersonic aircraft with aerodynamics/trajectory/ control coupling [J]. Acta Aeronautica et Astronautica Sinica, 2025, 46(4): 130874-130874. |
| [9] | Jun CHEN, Feng QU, Junjie FU. Design method of hypersonic inward turning inlet based on genetic and gradient hybrid optimization strategy [J]. Acta Aeronautica et Astronautica Sinica, 2025, 46(3): 130808-130808. |
| [10] | Qiang QIN, Yongxiang MU, Yusheng XU, Zhiping QIU, Xiaojun WANG. A double-layer sequential efficient algorithm for multidisciplinary optimization of hypersonic aircraft hot structures [J]. Acta Aeronautica et Astronautica Sinica, 2025, 46(24): 232060-232060. |
| [11] | Qichao XIE, Chengyu CAO, Yiyun ZHAO, Fanbiao LI. Integrated guidance and control method based on deep reinforcement learning parameter tuning [J]. Acta Aeronautica et Astronautica Sinica, 2025, 46(24): 632345-632345. |
| [12] | Xiaoping LI, Min YANG, Haoyan LIU, Longjie QIAO, Chengguang LI, Qiongjie ZHANG. Coherence time estimation algorithm and experimental verification for dynamic plasma sheath channel [J]. Acta Aeronautica et Astronautica Sinica, 2025, 46(22): 331613-331613. |
| [13] | Kai YANG, Mengfei ZHANG, Chongguang SHI, Yaokun YU, Xiaogang ZHENG, Chengxiang ZHU, Yancheng YOU. Method of three-dimensional curved stream-surface and its application in external waverider [J]. Acta Aeronautica et Astronautica Sinica, 2025, 46(2): 130492-130492. |
| [14] | Xueliang LI, Chuangchuang LI, Yahan ZHANG, Wei SU, Jie WU. Effect of distributed ablation pattern on hypersonic boundary-layer instability with a flat plate [J]. Acta Aeronautica et Astronautica Sinica, 2025, 46(2): 130464-130464. |
| [15] | Yousheng WANG, Liguo SUN, Jinpeng WEI, Wenqian TAN, Yonghao PAN. Optimization of climb trajectory of combined-cycle engine powered aircraft based on improved CSO-Gauss pseudospectral method [J]. Acta Aeronautica et Astronautica Sinica, 2025, 46(2): 230737-230737. |
| Viewed | ||||||
|
Full text |
|
|||||
|
Abstract |
|
|||||
Address: No.238, Baiyan Buiding, Beisihuan Zhonglu Road, Haidian District, Beijing, China
Postal code : 100083
E-mail:hkxb@buaa.edu.cn
Total visits: 6658907 Today visits: 1341All copyright © editorial office of Chinese Journal of Aeronautics
All copyright © editorial office of Chinese Journal of Aeronautics
Total visits: 6658907 Today visits: 1341

