Special Topic: The 27th Annual Meeting of the China Association for Science and Technology

Parameters of rotor arrangement for sand suppression in helicopter near-earth flight

  • Linbo WU 1 ,
  • Shu MENG , 1 ,
  • Wei ZHANG 1 ,
  • Jianfeng TAN 2
Expand
  • 1. China Helicopter Research and Development Institute,Jingdezhen 333001,China
  • 2. School of Mechanical and Power Engineering,Nanjing Tech University,Nanjing 211816,China

Received date: 2025-03-20

  Revised date: 2025-04-21

  Accepted date: 2025-07-17

  Online published: 2025-07-25

Supported by

National Level Project

Abstract

To address the practical problems of complex sand and dust take-off and landing in helicopter field training operations, a comprehensive modeling and analysis method for near-earth sand blowing of helicopters is established by finely constructing the rotor near-earth interference flow field and incorporating into the sand Discrete Element Method (DEM) model and Hertz-Mindlin sand collision force model. Moreover, UH-60A standard rotor is used to verify the simulation reliability of coupled flow field and sand blowing characteristics. On this basis, the parameters of rotor arrangement research based on helicopter near-earth sand suppression is carried out. By comparing the vortex intensity of blade tip and ground jet velocity in different schemes and analyzing the corresponding flow field-sand blowing characteristics, the influence of blade lower diagonal angle and advanced three-dimensional blade tip (BERP-like shape) on sand suppression is evaluated. The results show that, reducing the blade lower diagonal angle increases the tip vortex intensity and ground jet velocity, thereby increasing the outward expansion radius of sand track line and improving the visibility of dust environment.Compared with parabolic blade tip, the strong tip vortex of BERP-like blade can also increase the intensity and velocity of ground jet after impacting with the ground, offering better suppression effect on the rise of sand and dust on the ground and improving the pilot’s safe flight vision range.

Cite this article

Linbo WU , Shu MENG , Wei ZHANG , Jianfeng TAN . Parameters of rotor arrangement for sand suppression in helicopter near-earth flight[J]. ACTA AERONAUTICAET ASTRONAUTICA SINICA, 2026 , 47(1) : 632003 -632003 . DOI: 10.7527/S1000-6893.2025.32003

直升机在军事和民用领域具有广泛的应用价值,相比于固定翼飞行器,直升机特有的垂直起降的能力使其在军事、民用等领域都发挥了不可替代的作用1,特别是在沙漠、戈壁等复杂地形环境中执行任务时表现出色。然而,在多风沙的环境下,直升机在贴地飞行时旋翼下洗流会卷起沙尘等颗粒,在直升机周围形成遮挡飞行员视线的沙尘云,即沙盲(Brownout)现象2-5。沙盲现象不仅会对直升机的机械部件造成磨损和腐蚀6-7,而且可能影响飞行员的操作视野,严重威胁了飞行安全。因此,抑制沙盲的旋翼设计已成为提升直升机在复杂环境中飞行作业安全性的关键问题。
目前,直升机“沙盲”研究方法主要有数值计算方法和试验方法这2类,其中,数值计算方法主要由基于计算流体动力学(Computational Fluid Dynamics, CFD)方法的直升机近地面干扰流场计算方法和拉格朗日沙粒跟踪方法耦合构成8。胡健平等9基于雷诺平均方程和Menter剪切应力输运(Shear-Stress Transport, SST)k-ω湍流模型,通过编程接口耦合了离散元模型,计算了沙尘颗粒在流场中的运动和分布,并与试验结果对比,验证了数值方法的可靠性。同时,分析了流场与沙尘颗粒之间的耦合关系,研究了沙尘云的形成机理。结果表明,流场中大部分颗粒只能在地表随流场扩散而不能被卷起,位于桨盘平面下层区域的沙尘颗粒以径向运动为主。以上研究表明,沙盲现象的形成与旋翼近地干扰流场特性密切相关,并且验证了CFD与离散单元法(Discrete Element Method, DEM)在沙盲计算中的有效性。谭剑锋等10建立了基于离散动力学的DEM模型和沙粒-流场耦合模型,并嵌入了旋翼黏性涡粒子和黏性地面气动模型,研究了旋翼悬停和前飞状态下沙盲形成特性。结果表明,旋翼桨尖涡与地面干扰形成地面射流,推动沙粒移动堆积,诱发沙粒碰撞起跳等现象。
在试验研究方面,Lee等11基于粒子图像测速(Particle Image Velocimetry, PIV)法,观察了由旋翼引发的近地流场中沙尘扬起和湍流形成过程。随着对沙盲问题的深入研究,研究人员发现旋翼桨尖涡和黏性地面会显著影响旋翼近地流场特性812-13。Nathan和Green14-15结合PIV和高速摄影技术开展了模型旋翼扬沙试验研究。研究发现,影响沙尘扬起的关键参数是旋翼桨尖涡的强度、旋翼下洗流速度和尾流频率。Bradley16和Sydney17等基于试验方法,研究了地效影响下的旋翼桨尖涡对沙尘扬起的影响过程。研究结果表明,旋翼桨尖涡冲击地面会增大地面射流的强度,地面沙粒在地面黏性边界层和重力作用下发生径向跃移,同时桨尖涡的涡旋运动会对扬起的沙尘产生二次夹带作用(如图1 9所示)。
图 1 直升机悬停状态沙尘运动分布9

Fig.1 Distribution of sand and dust motion in hovering helicopter9

为了对沙盲现象进行抑制,Whitehouse等18开展了以降低桨尖涡强度为目标的旋翼优化设计,结果表明,在桨叶后缘布置小翼可以减小桨尖涡的强度。Milluzzo和Leishman19基于试验方法,研究了旋翼桨叶扭转对地面射流的影响。研究发现,相比于无扭转桨叶,增加桨叶扭转角会使旋翼下洗流更早地冲击地面,地面射流速度增加,扬沙外扩半径增大,从而减小飞行员视野盲区。意大利与英国联合研制的EH-101直升机应用了英国试验旋翼项目(British Experimental Rotor Programme, BERP)桨叶,在沙漠地区展现出较强的扬沙抑制效果。
综上所述,增加后缘小翼和增大桨叶扭转角可以通过减小桨尖涡的强度或增大地面射流速度来抑制沙盲现象的形成。但是增加小翼会增加桨叶结构设计的复杂性,加大负扭转可能会引起动载荷的增加,在实际工程中应用难度较大,因此,笔者尝试通过分析桨叶下反、前凸后掠尖削等气动布局参数的影响,以工程最小代价开展扬沙抑制的旋翼布局设计。基于近地面干扰流场的CFD方法,并充分计入沙粒DEM模型20-21,首先开展了UH-60A标模旋翼的气动性能和扬沙特性仿真计算,与试验结果进行了对比,验证了所提综合建模分析方法的可靠性。随后,在保持旋翼气动性能较优的基础上,进行桨叶下反和桨尖形状等布局参数对直升机近地面流场特性的影响分析,并分析了不同旋翼方案的沙盲抑制能力。

1 计算方法和模型

1.1 计算网格和模型

采用重叠网格方法计算有地效环境下的旋翼非定常流场,通过运动嵌套技术准确描述桨叶的运动,在流场计算时桨叶网格和背景网格之间相对位置不断变化,通过洞边界单元识别和贡献单元搜索实现嵌套区域的插值迭代,从而完成信息交换。

1.1.1 桨叶模型

桨叶剖面翼型选择CRA系列翼型,旋翼半径R为1.5 m,剖面基准弦长C为0.094 m,桨距角为9°。为了更好地模拟桨叶表面流场细节和桨尖涡结构,桨叶外形采用结构网格进行捕捉,桨叶表面边界层第1层网格单元高度为1×10-5 C,并以1.2的增长率向外增长,同时在流动敏感的桨尖区域进行了网格加密,单片桨叶的网格单元总数约为160万,桨叶网格如图2所示。
图 2 桨叶结构网格

Fig.2 Blade structural grid

1.1.2 空间远场模型

空间远场的计算域为圆柱体,其半径为8R,考虑到直升机真实起飞状态下旋翼中心离地高度,将旋翼离地高度设置为0.75R,远场上边界距离旋翼中心为4R。空间流场采用笛卡尔网格进行填充,如图3所示。为了更好地模拟旋翼桨尖涡在流场中的演化过程,充分捕捉近地面附近流场细节,对旋翼旋转区域、地面以及二者之间空间流场域均进行了网格加密(如图4所示),空间网格总数约为2 000万。地面边界条件为无滑移壁面,远场边界条件为自由流边界。
图 3 空间网格

Fig.3 Spatial grid

图 4 空间网格加密

Fig.4 Spatial grid encryption

1.2 计算方法

沙盲是由沙粒和旋翼流场构成的两相流动,因此,在进行沙盲计算时,需要考虑沙粒和流场的耦合作用。由于沙床沙粒直径通常为80~100 μm,因此,微小尺度(<80 μm)的沙粒对流场运动影响较小,可以将其忽略,而大尺度的沙粒对流场运动影响较大。在此基础上,需要同步考虑流场对沙粒运动的影响。基于单向耦合模型,先计算得到旋翼流场气动力,再施加到沙粒动力学方程中,从而实现沙尘颗粒运动轨迹的仿真计算。

1.2.1 流场数值计算方法

采用基于求解雷诺平均纳维-斯托克斯(Reynolds-Averaged Navier-Stokes, RANS)方程的求解器对直升机旋翼非定常流场进行求解,对于密度基的耦合流体求解器,守恒积分形式的控制方程组为
t V W d V + S F C ( W ) - F V ( W ) d S = Q
式中:V为控制体;S为控制体表面面积;W为守恒变量;F CW)为无黏通量;F VW)为黏性通量;Q为源项。
在流场求解中,将气体设置为可压缩理想气体,采用SST k-ω湍流模型22-23来求解壁面黏性流动。空间离散采用Roe的通量差分分裂格式,空间离散精度为二阶精度。时间项采用双时间方法进行时间步进,流动控制方程在每一个物理时间步内进行伪时间推进,将非定常问题转化为一个求解定常问题的过程。每一个物理时间步设置20步内迭代以实现计算效率和鲁棒性的平衡。物理时间步为旋翼每旋转1°所用的时间。

1.2.2 沙粒离散动力学计算

沙云是由众多沙粒构成的,应用拉格朗日方法追踪沙尘颗粒的运动,从而得到沙云的形成特征。为了模拟大量离散沙尘颗粒的运动和相互作用,DEM在颗粒流系统分析中得到广泛应用。基于离散动力学理论和DEM,沙粒运动学方程由牛顿第二定律得出:
m p d V p d t = F i + F f + F g
同时考虑沙尘颗粒的旋转:
I p d ω p d t = M p
式中: m p V p I p ω p分别为沙粒质量、速度、转动惯量和角速度; M p F f F i F g分别为沙粒力矩矢量、沙粒流场气动力、沙粒碰撞力和沙粒重力。
基于Hertz-Mindlin模型,沙粒碰撞力的法向分量和切向分量分别为
F i n = 1 2 Y * δ n 1.5 R * n - 2 5 / 6 β S n m * v n r e l
F i t = - S t δ t t - 2 5 / 6 β S n m * v t r e l
式中: Y * R * m * δ n n v n r e l S n β分别为沙粒的当量弹性模量、半径、质量、法线方向的变形量、单位矢量、相对法向速度、法向刚度和等效刚度; δ t t v t r e l S t分别为沙粒的切向变形量、单位切矢量、相对切向速度和切向刚度。
沙粒流场气动力 F f可由沙粒阻力特性表示为
F f = 1 2 ρ a i r | | V p - V f | | ( V p - V f ) C D A
式中:CD 为阻力系数; ρ a i r V f分别为流场密度和速度;A为沙粒面积。
所提沙尘运动计算方法已通过试验进行了验证15,证明了沙尘运动轨迹的可靠性。

2 计算方法验证

2.1 网格无关性验证

考虑沙尘运动受旋翼流场特性影响较大,而旋翼流场细节的捕获与网格量强关联,利用国外UH-60A标模旋翼开展了网格无关性研究。表1给出了UH-60A标模旋翼参数。
表1 UH-60A标模旋翼参数

Table 1 Parameters of UH-60A standard model rotor

参数 数值
半径/m 8.18
片数 4
基准弦长/m 0.52
桨尖形状 后掠桨尖
图5给出了总距为9°时,旋翼拉力系数CT 与功率系数CP 随总网格数量(750万~4 000万)变化的曲线。从图5中可以看出,随着总网格数量的增加,旋翼拉力系数和功率系数逐渐趋于稳定。当总网格数量接近3 000万时,旋翼拉力系数为0.016 9,功率系数为0.001 49;当总网格数量增至3 750万时,旋翼拉力系数为0.017 1,功率系数为0.001 48,此时,旋翼拉力系数仅变化1.18%,功率系数仅变化0.67%,即此时的结果不再受网格密度的影响,达到了数值求解计算中收敛解的“网格无关性”要求。
图 5 拉力系数和功率系数随网格数量变化曲线

Fig.5 Variation curves of tension coefficient and power coefficient with number of grids

综合考虑计算效率与鲁棒性,将旋翼和背景域总网格数量最终控制在3 000万左右,其中单片桨叶网格数量约为160万,背景域网格数量约为2 000万。

2.2 无地效状态验证

利用国外UH-60A标模试验数据对所提数值计算方法进行验证。图6图7分别给出了无地效状态下单片桨叶升力系数CL 和旋翼悬停效率FM的计算与试验对比结果。其中,r表示桨叶径向位置,r/R表示桨叶径向位置与旋翼半径的比值。从图6可以看出,桨叶沿径向逐渐靠近桨尖时,升力系数先增大后减小,与试验值吻合较好。从图7可以看出,随着旋翼拉力系数的增加,旋翼悬停效率计算结果与试验值相比趋于稳定,在旋翼主要工作的拉力系数区间,计算值可以较好地模拟试验结果和规律。综合表明,旋翼流场网格生成策略可以较好地模拟桨叶表面压力分布,相应建模方法适用于旋翼在无地效(Out of Ground Effect, OGE)状态下的流场计算。
图 6 单片桨叶升力系数沿径向的分布

Fig.6 Radial distribution of lift coefficients for single blade

图 7 悬停效率随拉力系数的变化

Fig.7 Variation of hover efficiency with tension coefficient

2.3 有地效状态验证

由于直升机在有地效(In Ground Effect, IGE)悬停时旋翼离地高度低,沙盲激起的概率更高,同步有针对性地开展了典型有地效状态验证。基于自主设计的1 m直径模型桨叶,开展了孤立旋翼有地效状态试验。模型桨叶参数如表2所示。
表2 试验模型桨叶参数

Table 2 Blade parameters of experiment model

参数 数值
半径/m 0.5
片数 2
基准弦长/m 0.078
扭转 -12°/R
桨尖形状 1∶3前缘抛物线后掠桨尖
试验中,旋翼转速为4 200 r/min,拉力系数为0.014,采用PIV系统对旋翼开展了近地面流场速度测量,如图8所示。设置旋翼处于不同工况,即离地高度h=1R,1.2R,1.4R,1.8R,以及不同方位角为0°,30°,60°,90°,120°,150°。
图 8 试验风速测量PIV法

Fig.8 Test wind speed measurement PIV method

以旋翼桨毂中心为原点,建立坐标系。其中,X轴正方向水平向右,Z轴正方向竖直向上,Y轴通过右手定则确定。图9图10分别给出了在Y=0剖面处,旋翼桨毂中心距离地面高度分别为h=1Rh=1.4R时,地面射流平均速度分布试验和数值计算结果对比。从图中可以看出,随着旋翼离地高度的增加,计算得到的地面最大射流速度V 地表max减小,这一现象与试验结果一致。
图 9 地面射流速度试验与数值计算对比(h=1R

Fig.9 Comparison of ground jet velocity test and calculation (h=1R

图 10 地面射流速度试验与数值计算对比(h=1.4R

Fig.10 Comparison of ground jet velocity test and calculation (h=1.4R

当旋翼旋转中心距离地面高度h=1R时,试验测得地面最大射流速度为25.4 m/s,数值计算得到的地面最大射流速度为27.7 m/s;当旋翼旋转中心距离地面高度h=1.4R时,试验测得地面最大射流速度为24.8 m/s,数值计算得到的地面最大射流速度为25.6 m/s。经分析,导致该误差的原因是数值模拟中忽略桨毂会导致桨根处产生喷泉效应,此误差是可以接受的24,因此可以认为该数值计算方法能够为旋翼有地效扬沙计算提供准确的流场信息。

3 扬沙抑制的旋翼设计及优化

3.1 桨尖下反对扬沙抑制的影响

图11(a)和图11(b)分别给出了下反角为15°时旋翼悬停效率和前飞升阻比L/D随桨叶不同下反位置的变化曲线。从图11(a)可以看出,随着拉力系数的增大,旋翼悬停效率先增大后减小,不同下反位置对旋翼悬停效率影响较小。从图11(b)可以看出,随着前进比μ增大,旋翼前飞升阻比增加,相同前进比下,下反位置越靠近桨尖,旋翼前飞升阻比越大。因此,综合旋翼悬停效率与前飞升阻比变化规律,设定桨叶从0.97R位置下反。
图 11 悬停效率和前飞升阻比随桨叶下反位置的变化

Fig.11 Variation of hover efficiency and forward lift-drag ratio with blade down reverse positions

图12(a)和图12(b)分别给出了旋翼悬停效率和前飞升阻比随桨叶不同下反角的变化曲线。从图12(a)可以看出,随着拉力系数的增大,旋翼悬停效率先增大后减小。相同拉力系数下,随着下反角的增大,旋翼悬停效率逐渐增大,这与桨尖涡强度密切相关,增大下反角后,桨尖涡强度降低,使得旋翼悬停效率增大。从图12(b)可以看出,相同下反角下,随着前进比的增大,旋翼前飞升阻比逐渐增大;相同前进比下,随着下反角的增大,旋翼前飞升阻比降低,这是由于桨叶下反角的增大会导致前飞时桨叶的迎风面积增大,旋翼阻力增加,使得旋翼前飞升阻比降低。
图 12 悬停效率和前升阻比随桨叶下反角的变化

Fig.12 Variation of hover efficiency and forward lift-drag ratio with blade lower diagonal angles

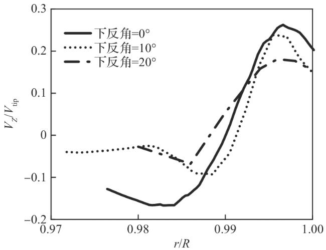
桨尖涡涡核半径越大、桨尖涡周向旋转速度的最大值越小,桨尖涡强度越低。根据图13给出的坐标系定义,图14给出了桨尖涡周向旋转速度对旋翼桨尖速度无量纲化后沿桨叶径向的变化曲线,其中VZ 表示桨尖涡当地流场速度沿Z向的分量大小,V tip表示桨尖速度。图14中,桨尖涡周向旋转速度的最小值与最大值径向距离的一半可表示桨尖涡的涡核半径,可见,桨尖下反角为0°时的涡核半径约为0.011R,桨尖下反角为10°时的涡核半径约为0.009R,桨尖下反角为20°时的涡核半径约为0.01R,3种桨尖的涡核半径相差不大。桨尖下反角为0°时的桨尖涡周向旋转速度峰值变化范围是-0.16~0.27,桨尖下反角为10°时的桨尖涡周向旋转速度峰值变化范围是-0.1~0.24,桨尖下反角为20°时的桨尖涡周向旋转速度峰值变化范围是-0.07~0.18。这表明随着桨尖下反角的增大,桨尖涡周向旋转速度峰值减小,桨尖涡涡强降低。
图 13 坐标系定义

Fig.13 Definition of coordinate system

图 14 不同下反角桨尖涡周向速度对比

Fig.14 Comparison of blade tip vortex circumferential velocities with different blade lower diagonal angles

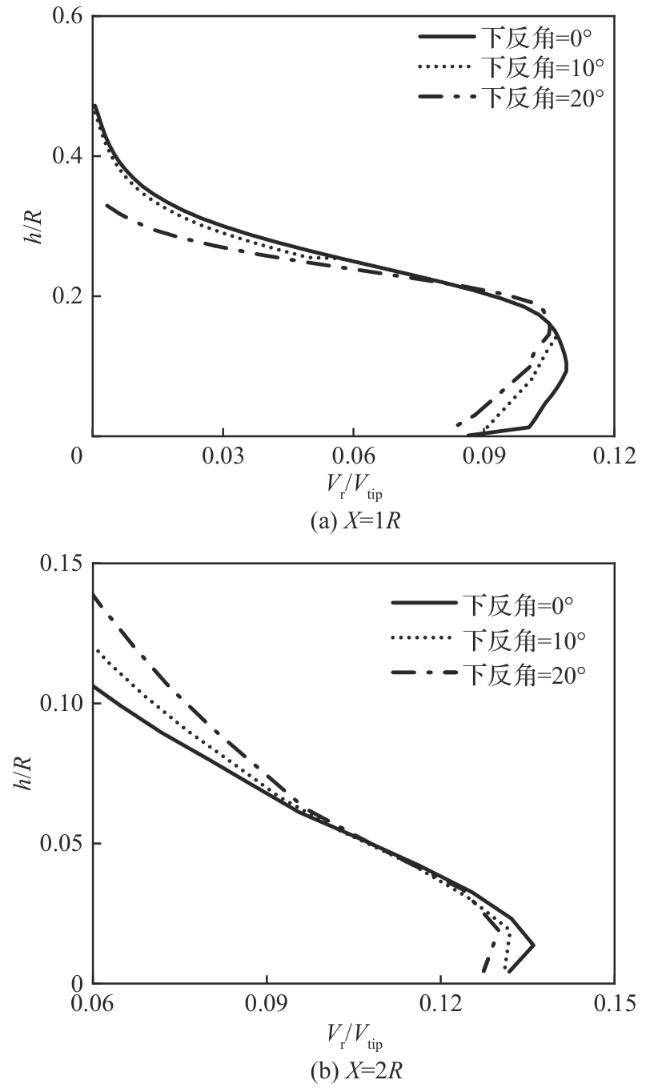
图15给出了旋翼在径向位置X=1RX=2R处地面射流速度随高度的变化结果25,其中V r为近地面流场径向速度大小,V r/V tip表示近地面流场径向速度与旋翼桨尖速度之比,h/R表示离地高度与旋翼半径之比,VZ /V tip表示桨尖涡当地流场速度沿Z向的分量与旋翼桨尖速度之比。从图15可以看出,在相同径向位置,随着下反角的增大,地面射流速度逐渐减小,桨尖下反角为0°时地面射流速度最大。这是由于桨尖下反角为0°时桨尖涡强度最大,桨尖涡与地面冲击后,增大了地面射流强度,使得地面射流速度增大。随着径向位置的增大,地面射流速度随桨尖下反角的增大而减小。
图 15 不同径向位置地面射流速度随高度的变化

Fig.15 Variation of ground jet velocity with height at different blade down reverse positions

图16给出了不同桨尖下反角流场涡量结果。从图16可以看出,在地面射流的推动下,地面涡沿桨叶径向向外运动发展。随着下反角的增大,由于地面射流速度减小,地面涡沿桨叶径向运动的辐射半径越小。
图 16 不同桨尖下反角流场涡量图

Fig.16 Vorticity diagrams of flow field with different blade lower diagonal angles

在旋翼下洗流作用下,地面沙尘沿径向发生跃移,同时受到桨尖涡的夹带作用,沙尘向上运动、扬起,形成沙云8图17给出了不同桨尖下反角流场沙尘计算结果。图中Z p代表沙尘颗粒扬起高度。从图17中可以看出,随着桨尖下反角增大,旋翼下方地面沙尘浓度逐渐增大。下反角为0°时旋翼下方沙尘浓度最稀疏。
图 17 不同桨叶下反角沙尘分布

Fig.17 Distribution of sand and dust with different blade lower diagonal angles

地面沙尘在向四周扩散过程中,受地面摩擦力和颗粒之间的相互作用,地面沙尘颗粒扩散速度逐渐降低,这使得在地面某一径向位置处沙尘颗粒逐渐堆积,最终在地面形成一圈环状的“沙迹线”,如图18中虚线所示。因此,近地面沙尘颗粒浓度最大的位置应集中在环状“沙迹线”处。
图 18 地面沙迹线示意图

Fig.18 Schematic diagram of ground sand trace

为了捕捉地面沙迹线的径向位置,在近地面0.1R高度范围内,将空间流场划分成不同半径的圆柱域,在地面沙迹线附近进行了区域加密划分,相邻的2个圆柱域半径差0.1R,如图19所示。图20给出了近地面不同圆环半径内空间中沙尘颗粒浓度。从图20可以看出,沙尘颗粒数量随着径向位置的增大而先增大后减小。根据对沙迹线的分析,可以从图20中进一步得到,在下反角为0°时,地面沙迹线的半径约为6.8R;在下反角为20°时,地面沙迹线的半径约为5.2R,在下反角为0°时,地面沙迹线外扩半径比下反角为20°时大约1.6R
图 19 空间流场域划分

Fig.19 Division of spatial flow field

图 20 沙尘颗粒数量随径向位置变化曲线

Fig.20 Variation curves of sand particle quantity with radial position

3.2 桨尖形状对扬沙抑制的影响

为了研究桨尖形状对扬沙抑制的影响,给出了目前通用性较强的前缘抛物线后掠和类BERP这2种桨尖外形,旋翼气动设计方案如表3所示。
表3 旋翼气动方案

Table 3 Aerodynamic design schemes of rotor

参数 方案1 方案2
半径/m 1.5 1.5
实度 0.099 0.099
片数 5 5
桨尖形状 抛物线桨尖 类BERP桨尖
图21图22分别给出了2种旋翼方案总距-拉力系数曲线和拉力系数-悬停效率曲线。由图21可知,当总距为5°~9°时,2种旋翼方案的拉力系数基本相当;当总距>9°后,方案2的拉力系数大于方案1的,这主要是由于相同实度下,方案2靠近桨尖的大弦长前突后掠带来高马赫数区间的拉力贡献更大,由于方案2属于前突后掠式桨尖外形,桨尖区域弦长较大,因此对旋翼的拉力贡献更大。由图22可知,方案1的最大悬停效率略大于方案2的,当拉力系数小于0.025时,方案2的悬停效率始终低于方案1的,这与桨尖涡的影响密切相关。
图 21 总距-拉力系数曲线

Fig.21 Curves of collective pitch-tension coefficient

图 22 悬停效率-拉力系数曲线

Fig.22 Curves of hovering efficiency-tension coefficient

图23给出有地效悬停状态下不同方案的桨尖涡强度对比结果。图24给出桨叶不同径向位置X=0.8R,1R,2R处地面射流速度随高度的变化。从图23中可以看出,方案2桨尖涡涡强大于方案1。在地面射流的径向发展过程中,2种旋翼方案的径向速度峰值对应的高度逐渐减小,这一现象与试验结果一致11。在径向位置X=0.8R时,方案1和方案2地面射流速度大小基本一致。当径向位置增大到X=1R时,方案2地面最大射流速度为0.15,方案1地面最大射流速度约为0.1。这主要是受桨尖涡强度的影响,由于方案2桨尖的脱落涡强度较大,脱落涡冲击地面后,增加了地面射流的动能,使地面射流速度增大。随着径向位置的增大,在径向位置X=2R时,方案1地面射流速度略有增加,方案2地面射流速度基本保持不变。
图 23 不同方案的桨尖涡周向速度对比

Fig.23 Comparison of blade tip vortex circumferential velocities with different schemes

图 24 不同径向位置的地面射流速度随高度的变化

Fig.24 Variation of ground jet velocity with height at different radial positions

图25图26分别给出了俯视视角和驾驶员视角下,方案1和方案2悬停状态扬沙特性仿真分析结果。从图25可以看出,相较于方案1,方案2的沙尘外扩范围增大,这一现象与流场分析结果一致。从图26可以看出,方案2对沙尘的卷起有明显的抑制作用,且卷到空中的沙尘密度降低,使驾驶员可视范围变大。整体来看,相比于方案1,方案2可有效抑制沙尘卷起,提升了直升机附近流场的可视度。
图 25 方案1与方案2扬沙俯视视角

Fig.25 Top view of sand blowing in Scheme 1 and Scheme 2

图 26 方案1与方案2扬沙驾驶员视角

Fig.26 Drivers view of sand blowing in Scheme 1 and Scheme 2

图27给出了2种方案沙尘颗粒数量随径向位置变化的曲线。从图27可以看出,方案2的沙迹线半径约为4.8R,方案1的沙迹线半径约为4.6R,方案2的沙迹线半径比方案1大0.2R
图 27 2种方案的沙尘粒子数量随径向位置变化曲线

Fig.27 Variation curves of sand and dust particle quantity with radial position in two schemes

图28给出了2种旋翼方案流场速度流线图。由图28可知,迎着来流方向,方案1地面涡旋结构更集中,涡强较大;方案2地面涡旋结构较方案1稀疏且分散,涡强较小。图29给出方案1和方案2在小速度前飞状态下的扬沙特性。由图29可知,在相同起沙高度下,迎着来流方向,由于方案2地面涡旋结构稀疏且分散,其卷起的地面沙尘浓度比方案1低,方案2扬沙抑制效果较优。
图 28 方案1与方案2前飞流场速度流线图

Fig.28 Velocity streamlines of forward flight flow field in Scheme 1 and Scheme 2

图 29 方案1与方案2前飞流场扬沙特性

Fig.29 Sand blowing characteristics of forward flight flow field in Scheme 1 and Scheme 2

4 结 论

1) 减小桨尖下反角,桨尖涡强度增大,地面射流速度增大,使沙迹线外扩半径增大,扬沙抑制效果增强。
2) 在悬停状态下,相比于抛物线桨尖旋翼方案,类BERP桨尖旋翼方案的桨尖涡强度增大,悬停效率降低。同时,类BERP桨叶较强的桨尖涡与地面冲击后,增大了地面射流强度,使地面射流速度增加,沙迹线外扩半径增大,增加了驾驶员视野可视度。
3) 小速度前飞状态下,相比于抛物线桨尖旋翼方案,类BERP桨尖旋翼方案的地面涡强度较弱,对地面沙尘扬起有较好的抑制效果,可以提高驾驶员的视野范围。
[1]
邓景辉. 电动垂直起降飞行器的技术现状与发展[J]. 航空学报202445(5): 529937.

DENG J H. Technical status and development of electric vertical take-off and landing aircraft[J]. Acta Aeronautica et Astronautica Sinica202445(5): 529937 (in Chinese).

[2]
POLZIN W GUNTUPALLI K RAJAGOPALAN R G. Discrete blade model for rotorcraft brownout[C]∥ 29th AIAA Applied Aerodynamics Conference. Reston: AIAA, 2011.

[3]
SYAL M LEISHMAN J G. Modeling of bombardment ejections in the rotorcraft brownout problem[J]. AIAA Journal201351(4): 849-866.

[4]
SYAL M LEISHMAN J G. Comparisons of predicted brownout dust clouds with photogrammetry measurements[C]∥67th Annual Forum of the American Helicopter Society. Alexandria: American Helicopter Society, 2011.

[5]
WONG O D TANNER P E. Photogrammetric measurements of an EH-60L brownout cloud[C]∥American Helicopter Society 66th Annual Forum and Technology Display. Alexandria: American Helicopter Society, 2010.

[6]
谭剑锋, 闫羽泽, 张卫国, 等. 沙盲环境直升机桨叶磨损分析方法[J]. 航空学报202546(9): 431012.

TAN J F YAN Y Z ZHANG W G, et al. Analysis method of helicopter blade erosion in brownout condition[J]. Acta Aeronautica et Astronautica Sinica202546(9): 431012 (in Chinese).

[7]
ÖZEN İ GEDIKLI H ÖZTÜRK B. Improvement of solid particle erosion resistance of helicopter rotor blade with hybrid composite shield[J]. Engineering Failure Analysis2021121: 105175.

[8]
张卫国, 谭剑锋, 刘亚奎, 等. 直升机“沙盲” 现象研究进展[J]. 实验流体力学202337(5): 56-75.

ZHANG W G TAN J F LIU Y K, et al. Advances on helicopter brownout[J]. Journal of Experiments in Fluid Mechanics202337(5): 56-75 (in Chinese).

[9]
胡健平, 徐国华, 史勇杰, 等. 基于CFD-DEM耦合数值模拟的全尺寸直升机沙盲形成机理[J]. 航空学报202041(3): 123363.

HU J P XU G H SHI Y J, et al. Formation mechanism of brownout in full-scale helicopter based on CFD-DEM couplings numerical simulation[J]. Acta Aeronautica et Astronautica Sinica202041(3): 123363 (in Chinese).

[10]
谭剑锋, 何龙, 于领军, 等. 基于黏性涡粒子/沙粒DEM的直升机沙盲建模[J]. 航空学报202243(8): 125536.

TAN J F HE L YU L J, et al. Helicopter brownout modeling based on viscous vortex particle and sand particle DEM[J]. Acta Aeronautica et Astronautica Sinica202243(8): 125536 (in Chinese).

[11]
LEE T E LEISHMAN J G RAMASAMY M. Fluid dynamics of interacting blade tip vortices with a ground plane[J]. Journal of the American Helicopter Society201055(2): 022005.

[12]
TAN J F SUN Y M BARAKOS G N. Vortex approach for downwash and outwash of tandem rotors in ground effect[J]. Journal of Aircraft201855(6): 2491-2509.

[13]
谭剑锋, 周天熠, 王畅, 等. 旋翼地面效应的气动建模与特性[J]. 航空学报201940(6): 122602.

TAN J F ZHOU T Y WANG C, et al. Aerodynamic model and characteristics of rotor in ground effect[J]. Acta Aeronautica et Astronautica Sinica201940(6): 122602 (in Chinese).

[14]
NATHAN N D. The rotor wake in ground effect and its investigation in a wind tunnel[D]. Glasgow: University of Glasgow, 2010.

[15]
NATHAN N D GREEN R B. Measurements of a rotor flow in ground effect and visualization of the brownout phenomenon[C]∥64th Annual Forum of the American Helicopter Society. Alexandria: American Helicopter Society, 2008.

[16]
BRADLEY J LEISHMAN J G SYDNEY A, et al. Investigation of sediment entrainment in brownout using high-speed particle iamge velocimetry[C]∥65th Annual Forum of the American Helicopter Society. Alexandria: American Helicopter Society, 2009.

[17]
SYDNEY A BAHARANI A LEISHMAN J G. Understanding brownout using near-wall dual-phase flow measurements[C]∥67th Annual Forum of the American Helicopter Society. Alexandria: American Helicopter Society, 2011.

[18]
WHITEHOUSE G R WACHSPRESS D A QUACKENBUSH T R. Aerodynamic design of helicopter rotors for reduced brownout[C]∥International Powered Lift Conference. Alexandria: American Helicopter Society, 2010.

[19]
MILLUZZO J I LEISHMAN J G. Vortical sheet behavior in the wake of a rotor in ground effect[J]. AIAA Journal201655(1): 24.

[20]
谭剑锋, 韩水, 王畅, 等. 基于DEM的直升机沙盲加速计算方法[J]. 北京航空航天大学学报202349(6): 1352-1361.

TAN J F HAN S WANG C, et al. Accelerated computational method of helicopter brownout based on DEM[J]. Journal of Beijing University of Aeronautics and Astronautics202349(6): 1352-1361 (in Chinese).

[21]
朱明勇, 招启军, 王博. 基于CFD和混合配平算法的直升机旋翼地面效应模拟[J]. 航空学报201637(8): 2539-2551.

ZHU M Y ZHAO Q J WANG B. Simulation of helicopter rotor in ground effect based on CFD method and hybrid trim algorithm[J]. Acta Aeronautica et Astronautica Sinica201637(8): 2539-2551 (in Chinese).

[22]
MENTER F R. Zonal two equation k-ω turbulence models for aerodynamic flows: AIAA-1993-2906[R]. Reston: AIAA, 1993.

[23]
CATALANO P AMATO M. An evaluation of RANS turbulence modelling for aerodynamic applications[J]. Aerospace Science and Technology20037(7): 493-509.

[24]
KUTZ B M KOWARSCH U KESSLER M, et al. Numerical investigation of helicopter rotors in ground effect: AIAA-2012-2913[R]. Reston: AIAA, 2012.

[25]
QIAN L Y XU G H SHI Y J. Study of brownout prediction of helicopters based on the analysis of ground effect flow field eigen quantities[J]. The Aeronautical Journal2025129(1338): 2330-2353.

Outlines

/