1 阻火单元仿真计算
1.1 阻火单元模型与特性参数
表1 孔隙率和金属波纹板板材厚度Table 1 Porosity and thickness of metal corrugated plate |
| 芯体孔高 /mm | 孔隙率 /% | 板材厚度w/mm |
|---|---|---|
| 0.6 | 55.13 | 0.081 4 |
| 0.9 | 70.72 | 0.050 5 |
| 1.2 | 80.21 | 0.049 6 |
| 芯体孔高 /mm | 板材 厚度 /mm | /Pa | /Pa | /Pa | /Pa |
|---|---|---|---|---|---|
| 0.6 | 20 | 1 889.69 | 1 562.16 | 1 666.12 | 1 672.56 |
| 0.6 | 30 | 3 405.02 | 2 575.13 | 2 958.44 | 2 975.25 |
| 0.9 | 30 | 5 380.36 | 3 744.14 | 4 643.07 | 4 653.44 |
| 1.2 | 30 | 7 711.97 | 4 960.68 | 6 628.07 | 6 614.10 |
表3 黏性阻力系数和惯性阻力系数Table 3 Viscous drag coefficients and inertial drag coefficients |
| 芯体孔高 /mm | 板材厚度 d/mm | 黏性阻力系数 | 惯性阻力 系数 |
|---|---|---|---|
| 0.6 | 20 | 620 366.279 1 | 44.105 7 |
| 0.6 | 30 | 1 010 651.162 8 | 22.536 0 |
| 0.9 | 30 | 637 784.883 7 | 24.230 4 |
| 1.2 | 30 | 629 081.395 5 | 24.532 2 |
1.2 流体域模型与参数设置
表4 边界条件与区域条件Table 4 Boundary conditions and domain conditions |
| 定解设置 | 条件确定 |
|---|---|
| 材料 | 304不锈钢 |
| 单元尺寸/m | 1 10-3 |
| 入口类型 | 速度入口 |
| 速度/(m·s-1) | 70 |
| 气体成分 | 90% CO、6% NH3、 3% HCl、1% HF |
| 温度/K | 623.15 |
| 出口类型 | 压力出口 |
| 操作压力/Pa | 101 325 |
| 壁面粗糙度 | 标准 |
| 流体密度/(kg·m-3) | 1.225 |
| 流体黏度/(Pa·s) | 1.72 10-5 |
| 收敛判定 | <1.0 10-4 |
1.3 芯体孔高对阻火单元流通特性影响分析
1.4 厚度对阻火单元流通特性影响分析
2 热失控燃爆实验与危险性分析
2.1 实验装置与程序
2.2 热失控危险性
3 阻火特征参数实验分析
3.1 温 度
表5 阻火单元温度抑制效果Table 5 Temperature suppression effect of fire retardant unit |
| 阻火单元规格 | /℃ | /% | |
|---|---|---|---|
| h/mm | d/mm | ||
| 0.6 | 20 | 382.1 | 85.85 |
| 0.6 | 30 | 375.8 | 86.55 |
| 0.9 | 20 | 194.8 | 69.80 |
| 0.9 | 30 | 221.4 | 76.80 |
| 1.2 | 20 | 240.1 | 73.72 |
| 1.2 | 30 | 261.5 | 80.93 |
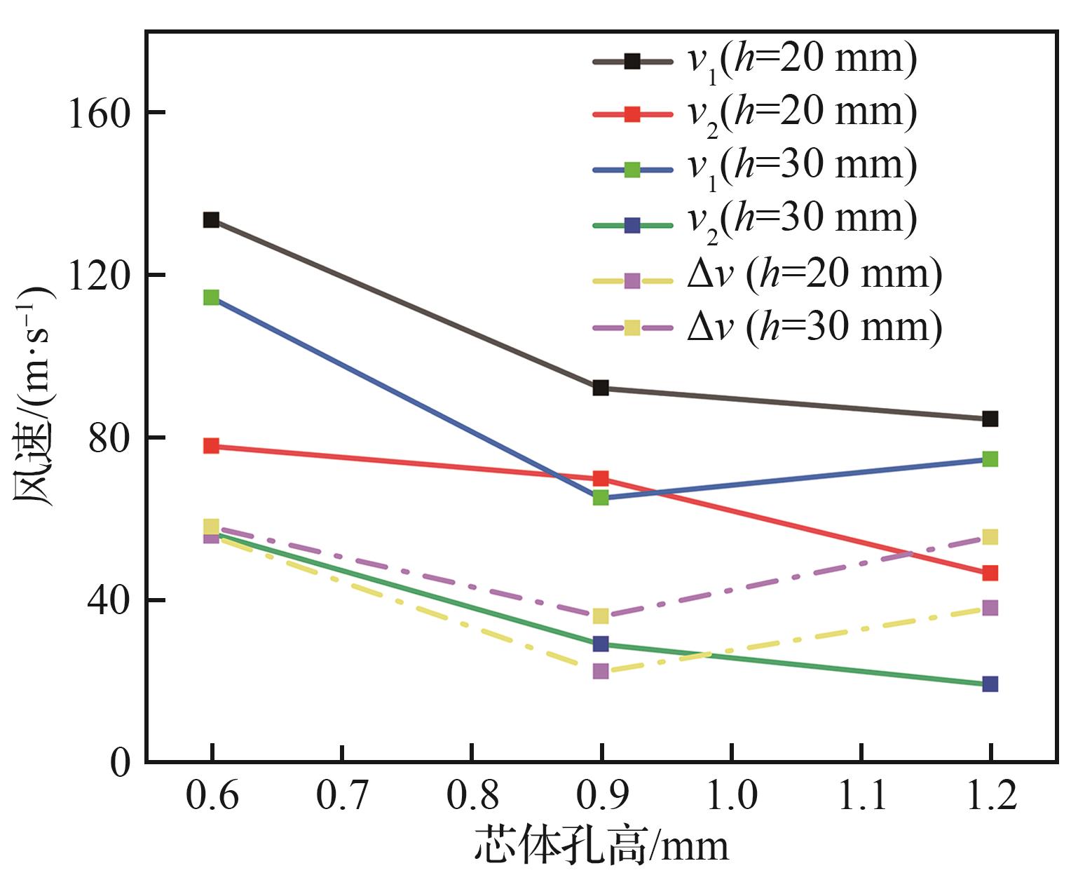
3.2 气体流速
3.3 压 力
表7 实验压力值Table 7 Experimental pressure value |
| 阻火单元规格 | /MPa | /MPa | /kPa | |
|---|---|---|---|---|
| h/mm | d/mm | |||
| 0.6 | 20 | 0.112 3 | 0.108 6 | 3.7 |
| 0.6 | 30 | 0.107 6 | 0.106 4 | 1.2 |
| 0.9 | 20 | 0.117 2 | 0.113 9 | 3.3 |
| 0.9 | 30 | 0.113 5 | 0.112 1 | 1.4 |
| 1.2 | 20 | 0.113 9 | 0.110 8 | 3.1 |
| 1.2 | 30 | 0.111 2 | 0.109 3 | 1.9 |
3.4 特征参数关联分析
表8 特征参数综合对比Table 8 Comparison results of characteristics parameters |
| 阻火单元规格 | /℃ | / (m·s-1) | -P atm/kPa | |
|---|---|---|---|---|
| h/mm | d/mm | |||
| 0.6 | 20 | 382.1 | 55.601 | 7.275 |
| h0.6 | 30 | 375.8 | 57.894 | 5.075 |
| 0.9 | 20 | 194.8 | 22.285 | 12.575 |
| 0.9 | 30 | 221.4 | 35.901 | 10.775 |
| 1.2 | 20 | 240.1 | 37.936 | 9.475 |
| 1.2 | 30 | 261.5 | 55.355 | 7.975 |
4 最优结构参数对比分析
表9 阻火单元(d=30 mm)实验参数对比Table 9 Comparison of fire retardant unit (d=30 mm) test parameters |
| 参数 | =0.6 mm | =0.9 mm |
|---|---|---|
| 峰值/℃ | 447.2 | 424.7 |
| 峰值/℃ | 246.6 | 156.1 |
| 峰值/℃ | 434.2 | 288.3 |
| 峰值/℃ | 91.2 | 108.5 |
| 峰值/MPa | 0.107 6 | 0.103 5 |
| 峰值/MPa | 0.106 4 | 0.102 1 |
| 峰值/(m∙s-1) | 114.223 1 | 64.981 5 |
| 峰值/(m∙s-1) | 56.329 3 | 29.080 8 |

