Acta Aeronautica et Astronautica Sinica ›› 2024, Vol. 45 ›› Issue (24): 630568.doi: 10.7527/S1000-6893.2024.30568
• special column • Previous Articles Next Articles
Yiqiang SUN1, Tanxiao ZHU1, Qinglin NIU2, Zhihong HE1, Shikui DONG1(
)
Received:2024-04-22
Revised:2024-05-25
Accepted:2024-06-25
Online:2024-12-25
Published:2024-07-08
Contact:
Shikui DONG
E-mail:dongsk@hit.edu.cn
Supported by:CLC Number:
Yiqiang SUN, Tanxiao ZHU, Qinglin NIU, Zhihong HE, Shikui DONG. Altitude-scaling law for multi-band radiation signals from liquid-propellant rocket engine exhaust plumes[J]. Acta Aeronautica et Astronautica Sinica, 2024, 45(24): 630568.
Table 3
Atlas Ⅲ rocket flight trajectory and atmospheric inflow parameters
| 飞行时间t/s | 飞行高度h/km | 飞行速度V/(m·s-1) | 大气压力P∞/Pa | 大气温度T∞/K |
|---|---|---|---|---|
| 62.69 | 11 | 414.26 | 22 632 | 216.65 |
| 73.69 | 15 | 550.19 | 12 044 | 216.65 |
| 87.46 | 21 | 793.32 | 4 677.8 | 217.65 |
| 96.22 | 25 | 961.23 | 2 511.0 | 221.65 |
| 107.17 | 31 | 1 226.74 | 1 008.20 | 227.65 |
| 114.81 | 35 | 1 417.76 | 558.92 | 237.05 |
| 124.14 | 41 | 1 703.44 | 242.39 | 253.85 |
| 130.31 | 45 | 1 900.92 | 143.13 | 265.05 |
| 139.52 | 51 | 2 221.28 | 66.94 | 270.65 |
| 145.11 | 55 | 2 441.25 | 39.97 | 259.45 |
| 153.27 | 61 | 2 791.95 | 17.66 | 242.65 |
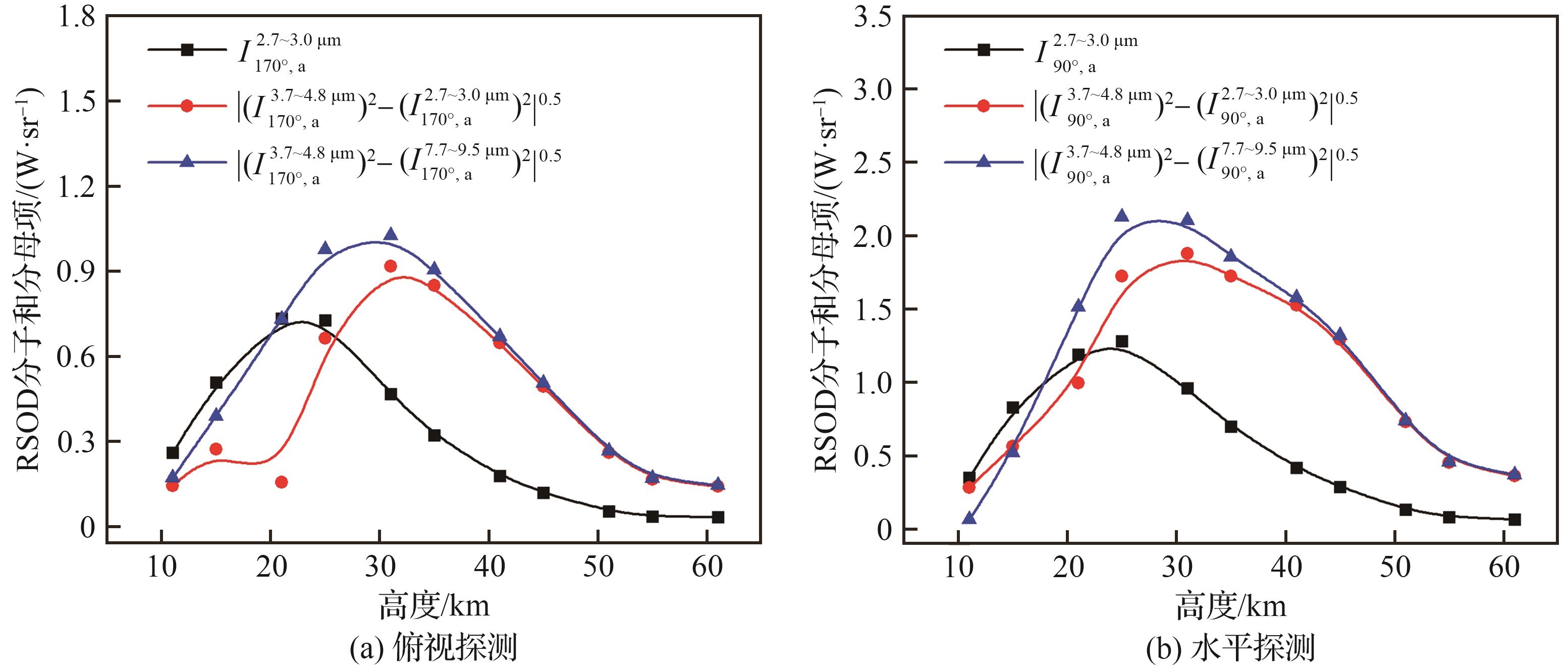
Table 5
Apparent radiant intensity of RD-180 engine plume in overhead observation
h/ km | 表观辐射强度/(W·sr-1) | |||
|---|---|---|---|---|
| 2.7~3.0 μm | 4.2~4.5 μm | 3.7~4.8 μm | 7.7~9.5 μm | |
| 11 | 650 164.3 | 24 296.6 | 451 535.6 | 288 750.4 |
| 15 | 1 806 391.0 | 89 115.7 | 1 177 685.7 | 561 602.2 |
| 21 | 3 734 857.6 | 414 252.8 | 2 473 676.6 | 686 605.7 |
| 25 | 4 409 546.4 | 962 849.5 | 3 588 292.1 | 574 781.6 |
| 31 | 3 730 992.5 | 2 246 681.3 | 4 817 205.5 | 374 466.5 |
| 35 | 2 872 447.4 | 2 914 147.5 | 5 063 578.5 | 260 125.3 |
| 41 | 1 868 262.1 | 3 242 472.9 | 4 476 037.9 | 173 789.3 |
| 45 | 1 405 029.8 | 3 025 619.3 | 3 826 237.2 | 143 084.6 |
| 51 | 697 687.6 | 1 966 429.4 | 2 309 414.6 | 93 278.2 |
| 55 | 358 444.7 | 1 210 248.2 | 1 391 954.7 | 64 849.1 |
| 61 | 178 226.5 | 653 674.4 | 755 557.3 | 44 783.3 |
Table 6
Apparent radiant intensity of RD-180 engine plume under horizontal observation
h/ km | 表观辐射强度/(W·sr-1) | |||
|---|---|---|---|---|
| 2.7~3.0 μm | 4.2~4.5 μm | 3.7~4.8 μm | 7.7~9.5 μm | |
| 11 | 1 004 666.6 | 1 560.5 | 616 546.3 | 452 390.0 |
| 15 | 3 966 876.9 | 56 815.5 | 2 511 613.0 | 1 078 757.8 |
| 21 | 7 536 788.5 | 1 095 478.0 | 7 711 916.9 | 1 498 686.3 |
| 25 | 8 784 653.3 | 3 116 166.6 | 11 699 000.0 | 1 372 791.5 |
| 31 | 7 652 861.2 | 7 220 551.5 | 14 273 600.0 | 1 002 264.6 |
| 35 | 6 103 040.4 | 9 216 720.9 | 14 254 200.0 | 746 998.4 |
| 41 | 4 080 041.5 | 10 353 600.0 | 12 612 500.0 | 530 745.4 |
| 45 | 3 027 854.3 | 9 754 882.7 | 11 162 000.0 | 442 896.8 |
| 51 | 1 466 582.5 | 6 204 441.3 | 6 878 999.0 | 283 259.7 |
| 55 | 714 409.9 | 3 530 278.1 | 3 931 006.1 | 182 360.3 |
| 61 | 319 869.9 | 1 856 914.8 | 2 108 277.1 | 105 357.1 |
| 1 | SIMMONS F. Rocket exhaust plume phenomenology[M]. Reston: AIAA, 2000. |
| 2 | HIGGINS C J, SMITHSON T, COXHILL I, et al. Characterising the infrared signature of a liquid propellant engine plume[C]∥Proceedings of the 52nd AIAA/SAE/ASEE Joint Propulsion Conference. Reston: AIAA, 2016. |
| 3 | STOWE R, RINGUETTE S, FOURNIER P, et al. Effect of flight and motor operating conditions on infrared signature predictions of rocket exhaust plumes[J]. International Journal of Energetic Materials and Chemical Propulsion, 2015, 14(1): 29-56. |
| 4 | CALHOON W JR, KENZAKOWSKI D. Flowfield and radiation analysis of missile exhaust plumes using a turbulent-chemistry interaction model[C]∥Proceedings of the 36th AIAA/ASME/SAE/ASEE Joint Propulsion Conference and Exhibit. Reston: AIAA, 2000. |
| 5 | PAIVA C, SLUSHER H. Space-based missile exhaust plume sensing: Strategies for DTCI of liquid and solid IRBM systems[C]∥Proceedings of the Space 2005. Reston: AIAA, 2005. |
| 6 | NIU Q L, FU D B, DONG S K, et al. A simplified model for fast estimating infrared thermal radiation of low-altitude under-expanded exhaust plumes[J]. International Journal of Heat and Mass Transfer, 2019, 136: 276-287. |
| 7 | SMOOT L, SIMONSEN J, WILLIAMS G. Exhaust plume prediction model for a low-altitude supersonic missile[C]∥Proceedings of the 8th Joint Propulsion Specialist Conference. Reston: AIAA, 1972. |
| 8 | VITKIN E I, KARELIN V G, KIRILLOV A A, et al. A physico-mathematical model of rocket exhaust plumes[J]. International Journal of Heat and Mass Transfer, 1997, 40(5): 1227-1241. |
| 9 | LI J L, BAI L, BAI J Y, et al. Narrow-band infrared radiation characteristics of rocket exhaust plume by using correction function related to thermodynamic state[J]. Infrared Physics and Technology, 2022, 125: 104260. |
| 10 | ZIRKIND R. Radiation from rocket-exhaust plumes[J]. Symposium (International) on Combustion, 1967, 11(1): 613-620. |
| 11 | LIU Z Y, YE Q, DING F, et al. Study on the influence of flight altitude on the rocket plume radiation enhancement effect caused by afterburning[J]. International Journal of Aeronautical and Space Sciences, 2021, 22(5): 1019-1030. |
| 12 | KIM S, KIM S, KIM M, et al. Infrared signature of NEPE, HTPB rocket plume under varying flight conditions and motor size[J]. Infrared Physics and Technology, 2021, 112: 103590. |
| 13 | DASH S M, PEARCE B E, PERGAMENT H S, et al. Prediction of rocket plume flowfields for infrared signature studies[J]. Journal of Spacecraft and Rockets, 1980, 17(3): 190-199. |
| 14 | WOODROFFE J. One-dimensional model for low-altitude rocket exhaust plumes[C]∥Proceedings of the 13th Aerospace Sciences Meeting. Reston: AIAA, 1975. |
| 15 | NIE W S, FENG S J, XIE Q F, et al. Numerical simulation of liquid rocket exhaust plume radiation[C]∥Proceedings of the 39th AIAA Thermophysics Conference. Reston: AIAA, 2007. |
| 16 | ZHOU Z T, WANG X, LU C Y, et al. Numerical analysis on thermal environment of liquid rocket with afterburning under different altitudes[J]. Applied Thermal Engineering, 2020, 178: 115584. |
| 17 | NIU Q L, DUAN X H, MENG X Y, et al. Numerical analysis of point-source infrared radiation phenomena of rocket exhaust plumes at low and middle altitudes[J]. Infrared Physics & Technology, 2019, 99: 28-38. |
| 18 | SUN Y Q, DONG S K, NIU Q L, et al. NIPC-based uncertainty analysis of infrared radiation from rocket exhaust plumes caused by nozzle exit conditions[J]. Infrared Physics & Technology, 2020, 108: 103376. |
| 19 | NIU Q L, HE Z H, DONG S K. IR radiation characteristics of rocket exhaust plumes under varying motor operating conditions[J]. Chinese Journal of Aeronautics, 2017, 30(3): 1101-1114. |
| 20 | GORDON S, MCBRIDE B J. Computer program for calculation of complex chemical equilibrium compositions and applications. Part 1: Analysis[M]. Ohio: NASA Lewis Research Center, 1994: 2-3. |
| 21 | SUTTON G P, BIBLARZ O. Rocket propulsion elements[M]. 8th. ed. New Jersey: John Wiley & Sons, Inc, 2010, 18-51. |
| 22 | 牛青林. 连续流域高速目标辐射现象学研究[D]. 哈尔滨: 哈尔滨工业大学, 2019: 27-28. |
| NIU Q L. Phenomenological study on radiation of high-speed targets in continuous basins[D].Harbin: Harbin Institute of Technology, 2019: 27-28 (in Chinese). | |
| 23 | WANG W, WEI Z, ZHANG Q, et al. Study on infrared signature of solid rocket motor afterburning exhaust plume[C]∥46th AIAA/ASME/SAE/ASEE Joint Propulsion Conference & Exhibit. Reston: AIAA, 2010. |
| 24 | KRAKOW B, BABROV H J, MACLAY G J, et al. Use of the Curtis-Godson approximation in calculations of radiant heating by inhomogeneous hot gases[J]. Applied Optics, 1966, 5(11): 1791-1800. |
| 25 | LUDWIG C B, MALKMUS W, REARDON J, et al. Handbook of infrared radiation from combustion gases[M]. Washington, D.C.: NASA Marshall Space Flight Center, 1973: 220-223. |
| 26 | 余其铮. 辐射换热原理[M]. 哈尔滨: 哈尔滨工业大学出版社, 2000: 10-12. |
| YU Q Z. Radiation heat transfer principle[M]. Harbin: Harbin Institute of Technology Press, 2000: 10-12 (in Chinese). | |
| 27 | BERK G A, ACHARYA P, CHETWYND J, et al. ADLER-GOLDEN. Modtran4 user’s manual[M]. Ohio: Air Force Research Laboratory, 1999. |
| 28 | AVITAL G, COHEN Y, GAMSS L, et al. Experimental and computational study of infrared emission from underexpanded rocket exhaust plumes[J]. Journal of Thermophysics and Heat Transfer, 2001, 15(4): 377-383. |
| 29 | OZAWA T, GARRISON M B, LEVIN D A. Accurate molecular and soot infrared radiation model for high-temperature flows[J]. Journal of Thermophysics and Heat Transfer, 2007, 21(1): 19-27. |
| 30 | POPP M, TANNER L, KATORGIN B, et al. RD-180 engine production and flight experience[C]∥Proceedings of the 40th AIAA/ASME/SAE/ASEE Joint Propulsion Conference and Exhibit. Reston: AIAA, 2004. |
| 31 | HAGGER R, JOYNER C, CHELKIS F. Kerosene booster engine-use for atlas commercial orbital transportation service capabilities and more[C]∥Proceedings of the 42nd AIAA/ASME/SAE/ASEE Joint Propulsion Conference & Exhibit. Reston: AIAA, 2006. |
| 32 | KATORGIN B, CHVANOV V, YU F, et al. Atlas with RD-180 now[C]∥Proceedings of the 37th Joint Propulsion Conference and Exhibit. Reston: AIAA, 2001. |
| 33 | PLASTININ Y, KARABADZHAK G, KHMELININ B, et al. Investigation of soot density in the LOX/kerosene engine booster exhaust of Atlas II and Atlas III from remote measurements of radiation intensity[C]∥Proceedings of the 43rd AIAA Aerospace Sciences Meeting and Exhibit. Reston: AIAA, 2005. |
| 34 | BARTON P, PEARCE B, FREEMAN G, et al. Spectral imagery data and mechanisms[C]∥Proceedings of the 39th Aerospace Sciences Meeting and Exhibit. Reston: AIAA, 2001. |
| 35 | KATORGIN B, CHVANOV V, CHELKIS F, et al. RD-180 program history[C]∥Proceedings of the 37th Joint Propulsion Conference and Exhibit. Reston: AIAA, 2001. |
| 36 | RAO R, SINHA K, CANDLER G, et al. Numerical simulations of Atlas II rocket motor plumes[C]∥Proceedings of the 35th Joint Propulsion Conference and Exhibit. Reston: AIAA, 1999. |
| 37 | VISWANATH K, BRENTNER K S, GIMELSHEIN S F, et al. Investigation of soot combustion in underexpanded jet plume flows[J]. Journal of Thermophysics and Heat Transfer, 2005, 19(3): 282-293. |
| 38 | PLASTININ Y, KARABDZHAK G, KHMELININ B, et al. Ultraviolet, visible and infrared spectra modeling for solid and liquid-fuel rocket exhausts[C]∥Proceedings of the 39th Aerospace Sciences Meeting and Exhibit. Reston: AIAA, 2001. |
| 39 | JONES J P, KUFFEL L, SORTO-RAMOS E, et al. Investigating the legacy of air-breathing and rocket propulsion systems[C]∥Proceedings of the AIAA Propulsion and Energy 2020 Forum. Reston: AIAA, 2020. |
| 40 | SOLLER S, WAGNER R, KIRCHBERGER C, et al. characterisation of combustion and heat transfer using GOX/Kerosene in a single-element rocket combustor[C]∥Proceedings of the 41st AIAA/ASME/SAE/ASEE Joint Propulsion Conference & Exhibit. Reston: AIAA, 2005. |
| 41 | ALLGOOD D, AHUJA V. Computational plume modeling of conceptual ARES vehicle stage tests[C]∥Proceedings of the 43rd AIAA/ASME/SAE/ASEE Joint Propulsion Conference & Exhibit. Reston: AIAA, 2007. |
| [1] | Shaoyi LI, Mengjie WEI, Junyan YANG, Xi YANG, Zhongjie MENG. Research status and prospects of infrared multi-band imaging terminal guidance technology [J]. Acta Aeronautica et Astronautica Sinica, 2024, 45(20): 630427-630427. |
| Viewed | ||||||
|
Full text |
|
|||||
|
Abstract |
|
|||||
Address: No.238, Baiyan Buiding, Beisihuan Zhonglu Road, Haidian District, Beijing, China
Postal code : 100083
E-mail:hkxb@buaa.edu.cn
Total visits: 6658907 Today visits: 1341All copyright © editorial office of Chinese Journal of Aeronautics
All copyright © editorial office of Chinese Journal of Aeronautics
Total visits: 6658907 Today visits: 1341

