飞行器飞发匹配技术专栏

双缝襟翼带滑流效应的分布式动力气动设计

  • 李锦烨 ,
  • 崔伟 ,
  • 王祁旻 ,
  • 吴大卫
展开
  • 上海飞机设计研究院,上海 201210

收稿日期: 2025-12-16

  修回日期: 2026-01-04

  录用日期: 2026-02-27

  网络出版日期: 2026-03-04

Aerodynamic design of distributed propulsion with slipstream effects in double-slotted flap configurations

  • Jinye LI ,
  • Wei CUI ,
  • Qimin WANG ,
  • Dawei WU
Expand
  • Shanghai Aircraft Design and Research Institute,Shanghai 201210,China

Received date: 2025-12-16

  Revised date: 2026-01-04

  Accepted date: 2026-02-27

  Online published: 2026-03-04

摘要

随着低空经济相关产业的发展,应用于中小型飞行器的分布式螺旋桨推进技术已成为研究的热点方向。提出了一种分布式螺旋桨推进运输机方案;基于数值模拟,运用滑移网格非定常计算方法,对该机型双缝襟翼构型下的分布式动力气动设计方案进行了分析。结果表明:相比于安装在干净翼段,螺旋桨安装在双缝襟翼增升翼段,动力增升效果更加显著;为提升螺旋桨的动力增升效果,需在螺旋桨下行侧控制滑流覆盖襟翼,通过增加螺旋桨相对当地机翼前缘的下沉量,可使大迎角下襟翼仍处于滑流区内,增升效果更好,而增加前伸量则影响不明显;其次需要减小螺旋桨上行侧的固定翼前缘在大迎角时的分离,而螺旋桨下沉量增大会加剧分离,前伸量则影响同样不明显。在相同推力下,也可采用直径更大的桨来减小固定翼前缘大迎角时的分离;而当布置在双缝襟翼前的螺旋桨尺寸一致,相对当地前缘位置一致,总推力相同时,采用更多的螺旋桨,可提高动力增升效果。

本文引用格式

李锦烨 , 崔伟 , 王祁旻 , 吴大卫 . 双缝襟翼带滑流效应的分布式动力气动设计[J]. 航空学报, 2026 , 47(7) : 633240 -633240 . DOI: 10.7527/S1000-6893.2026.33240

Abstract

With the development of the low-altitude economy industry, distributed propeller propulsion technology for small and medium-sized aircraft has become a hot research direction. This paper proposes a transport aircraft scheme based on distributed propeller propulsion; based on numerical simulation, the sliding mesh unsteady calculation method is used to analyze the distributed power aerodynamic design of this aircraft model under a double-slotted flap lift augmentation configuration. The results show that: compared with installation on a clean wing section, the powered high-lift effect of the propeller is more significant on the double-slotted flap lift wing section; and the improvement of the powered high-lift effect requires control of the slipstream region on the propeller’s downstream side: by increasing the vertical offset of the propeller relative to the local wing leading edge, the flap can be kept in the slipstream region at high angles of attack, resulting in better lift augmentation, while increasing the forward extension has an insignificant effect; secondly, it is necessary to reduce the separation of the fixed wing leading edge on the propeller’s upstream side at high angles of attack, increased vertical offset of the propeller leads to more severe flow separation, while the effect of forward extension is similarly insignificant. Under the same thrust, a larger-diameter propeller can be used to reduce separation at high angles of attack. When propellers mounted ahead of a double-slotted flap are of identical size, positioned at the same relative leading-edge location, and operate under equal total thrust, using more propellers can enhance the powered high-lift effect.

2022年航空飞行的碳排放量占全球排放总量的2%左右。国际民用航空组织(International Civil Aviation Organization, ICAO)预计到2050年,航空碳排放量可能是2015年的2倍1,中国制定的“3060”目标确定了绿色低碳发展的总基调2。分布式电推进(Distributed Electric Propulsion, DEP)飞机是实现这一目标的技术方向之一,其具有推进效率高、排放低、起降距离短等优势,其中分布式动力滑流产生的动力增升效果是实现短距起降的关键,滑流效应可以直接改变机翼的动压,极大增加升力,使飞机以较小的速度起降,缩短场长。
关于DEP的动力增升,国内外学者进行了众多研究工作,基础研究多为螺旋桨和一段机翼的机理性研究,例如Plijter等3采用SA模型对螺旋桨-机翼-襟翼构型进行了非定常数值模拟,发现螺旋桨增加流场动能,总体上减小了襟翼的气流分离,但螺旋桨叶片根部区域所产生的涡经缝道后,形成的低能涡流会促使襟翼的局部分离;Duivenvoorden等4通过风洞试验,辅以油流试验进行流动显示,研究了主翼与襟翼不同分区的分离特征;Beck5和Aminaei6等通过数值模拟以及风洞试验研究了增升装置-螺旋桨-主动吹气技术耦合作用下的增升效果以及差动吹气策略;Aref等7研究了螺旋桨旋转方向对于机翼升力分布的影响,以及桨叶角设计对滑流效应的影响。国内周莉等8采用诱导系数量化滑流效应,定量研究了其与增升效果的关系。
除了螺旋桨与机翼耦合的机理性研究,国内外也开展了一系列DEP整机的动力增升研究,文献[9-11]采用了30°偏度的单缝襟翼,通过分布式螺旋桨的动力增升效应,可使高升力构型的最大升力系数CL max具有1.7以上的增量,同时还详细对比了螺旋桨滑流对飞机展向升力分布的影响,带动力增升时的地效影响;较为典型还有EL-2飞机,其已成功进行了试飞工作,EL-2飞机12采用的是内襟翼60°、外襟翼20°的增升构型,结果表明分布式动力总推力与动力增升效果正相关,同时总推力越大,失速迎角也相应增加,此外,该项目还分析了下滑角、迎角、转速、速度在动力增升飞机的性能评估中的耦合关系;刘毅等13通过风洞试验,将螺旋桨滑流强度与增升效果建立联系,表明某涡桨飞机在滑流效应下使得各襟翼失速点的CL max增加约8%;杨小川等14研究了滑流对整机力矩的影响;关于分布式螺旋桨的布局研究较少,Della Vecchia15和饶崇16等在翼梢布置不同直径的螺旋桨,以及在机翼前布置不同数量组合不同桨盘直径的螺旋桨进行了对比。
当前关于分布式动力增升的研究,多集中于单缝襟翼或简化机翼构型,对双缝襟翼这一更高效的增升形式关注较少。同时,已有研究多以单一螺旋桨或局部翼段为对象,对于整机尺度下分布式螺旋桨的布局规律、动力增升特性研究较少。因此本文对分布式动力结合双缝襟翼的动力增升效果进行研究,初步提出了一种分布式推进运输机增升构型方案,主要讨论基于双缝襟翼构型的分布式动力螺旋桨布局、桨盘直径、展向分布等参数对于动力增升的影响,并对其流动特性进行探索研究。

1 几何模型与计算方法

1.1 几何模型

本文研究的对象为一种分布式动力运输机,采用大展弦比桁架支撑翼(翼展约8 m)和十字型尾翼,翼吊10台分布式螺旋桨,沿机翼前缘翼展方向分布,增升装置采用双缝襟翼。其几何模型如图1(a)所示,坐标系定义如下:以机体纵轴为X轴,指向机尾方向为正;以机体横轴为Z轴,指向左翼方向为正(飞行员视角);Y轴垂直于OXZ平面,指向机身上方为正。
图 1 运输机模型示意与螺旋桨命名

Fig.1 Illustration of transport aircraft model and propeller naming

双缝襟翼布置在机翼内侧;分布式动力单侧机翼布置5个相同的螺旋桨,左侧机翼螺旋桨旋转方向均为逆时针方向(飞行员视角),右侧机翼螺旋桨旋转方向为顺时针;桨的安装角度为0°,螺旋桨的编号方式如图1(b)所示,沿翼展方向由内翼至外翼依次编号为1~5号桨。

1.2 数值计算方法

计算网格采用半模非结构网格,网格单元为4 000万, y +<1,各个螺旋桨采用单独计算域,计算网格如图2所示。
图 2 计算网格示意

Fig.2 Illustration of computational mesh

分布式螺旋桨采用四叶桨,数值计算方法采用滑移网格17非定常方法进行计算;以多重参考系MRF方法1518的收敛计算结果作为初始流场进行后续非定常计算,根据螺旋桨转速设置相应时间步长。湍流模型采用SST模型,采用二阶中心格式离散,双精度压力隐式耦合求解,能量方程均采用二阶迎风格式。文中涉及的全机升力系数、最大升力系数等气动数据,均基于非定常计算达到周期收敛后的时间平均结果获得。
由于本文研究对象为桨-翼-增升装置耦合的构型,对于计算方法的验证,采用了文献[19]公开数模(襟翼30°),其模型示意与网格划分如图3所示,分布式动力为两侧各6个螺旋桨。采用上述网格划分方法以及计算设置进行数值模拟。计算工况为:来流速度18 m/s,雷诺数7 ×105,前进比0.549,计算了有无分布式动力的数据,与文献[20]进行对比。
图 3 文献[19]模型与计算网格19

Fig.3 Model and computational mesh19

图4给出了升力系数CL 随迎角α的变化曲线(虚线为无动力状态,实线为有动力状态),对比了本文计算结果与文献[20]高精度数值结果(StarCCM+与LAVA),表明升力差量均在5%以内;因此本文的研究可采用该计算方法。
图 4 本文计算与文献[20]对比

Fig.4 Comparison of present calculations with Ref.[20

2 分布式动力气动设计

本文主要讨论在双缝襟翼增升构型下,分布式动力布局对于整机气动特性的影响,主要影响参数有:螺旋桨的纵向平面位置、螺旋桨的桨盘直径、螺旋桨展向布局。
其中纵向平面位置包含2个参数,下沉量与前伸量,图5给出了2个参数的定义,以XY平面上的螺旋桨对称面所在位置的当地机翼前缘点为参考点P 1,以螺旋桨桨毂的中心点为参考点P 2P 1P 2之间的X方向距离命名为前伸量aY方向距离命名为下沉量bab值均为实际距离除以平均气动弦长进行无量纲化。
图 5 前伸量a与下沉量b示意

Fig.5 Illustration of extension a and vertical offset b

2.1 分布式动力基本增升特性

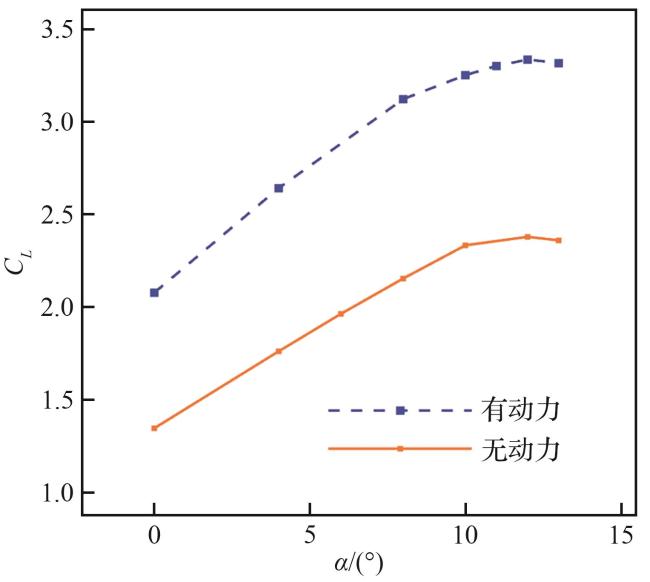
首先对比基准方案在襟翼打开下有无滑流效应的全机升力特性,图6给出了基准方案的螺旋桨分布示意,其中红点和虚线对应螺旋桨展向位置。纵向平面位置为a39b9(其中39和9分别表示前伸量a与下沉量b的无量纲值39%与9%,本文纵向平面位置均采用此命名方式),螺旋桨直径为11 in(1 in=0.025 4 m),拉力系数0.125。计算工况为:来流速度18 m/s,前进比0.45。
图 6 基准方案的分布式动力示意

Fig.6 Distributed propulsion for baseline configuration

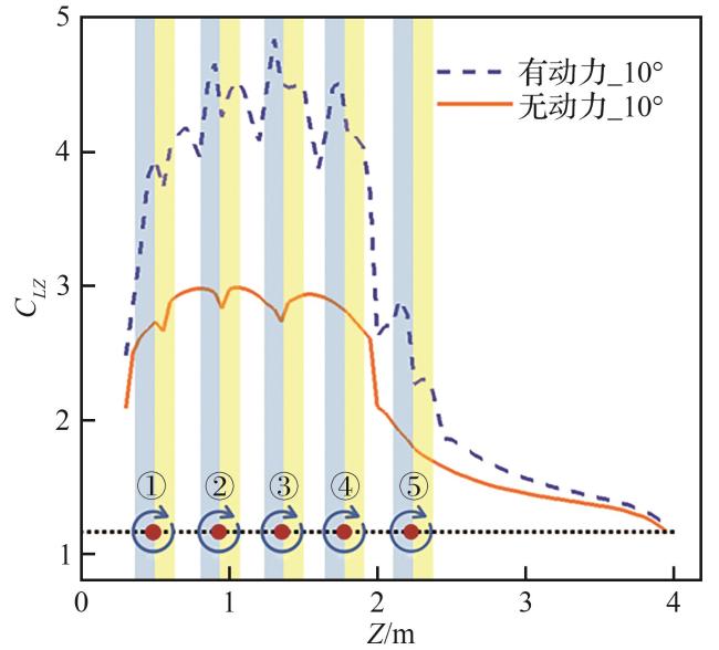
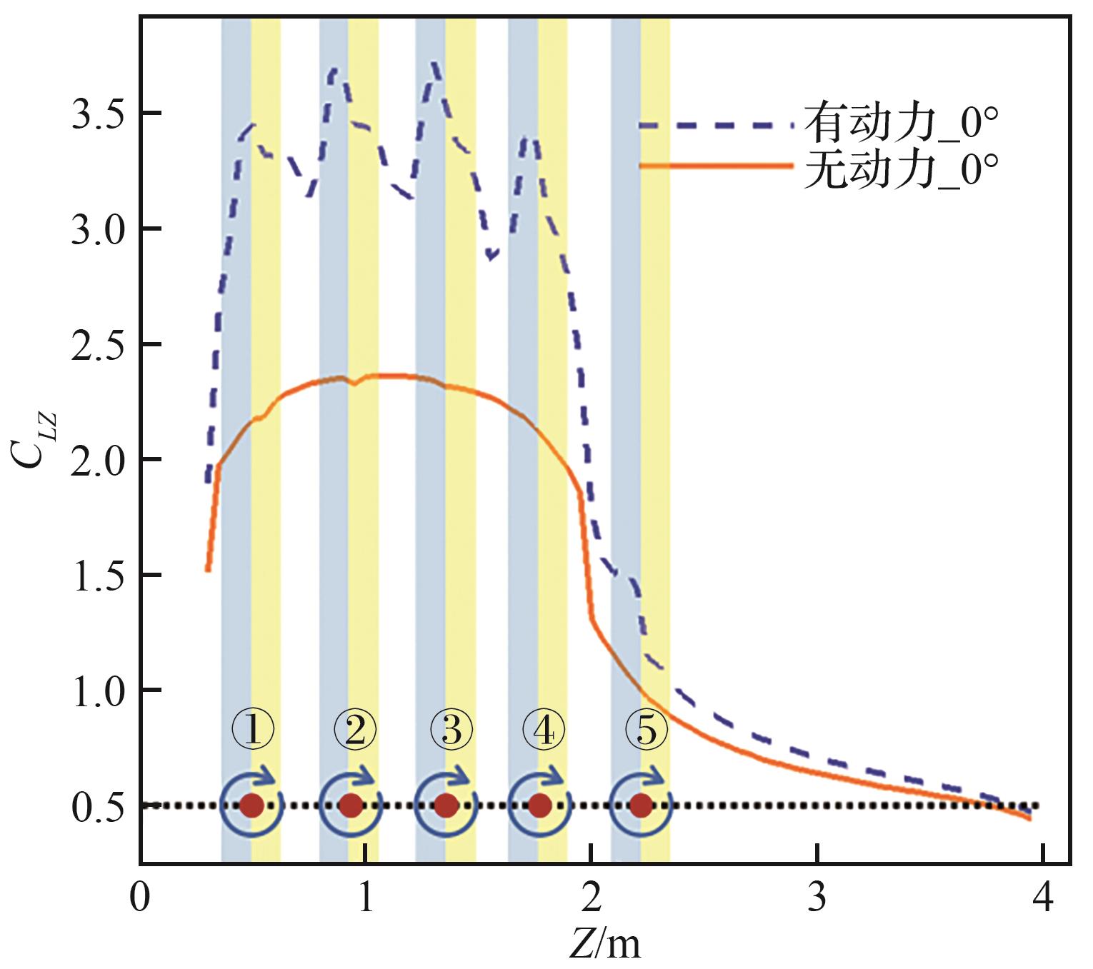
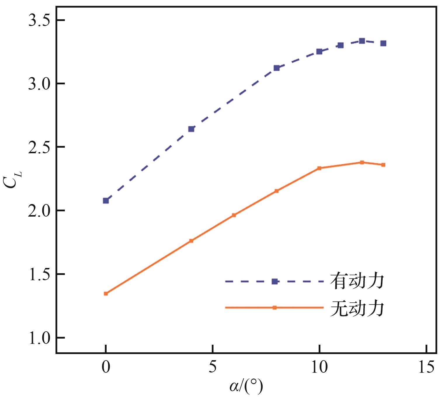
图7所示为有/无滑流效应的全机升力系数-迎角曲线对比,分布式动力的滑流效应可以提升全机升力0.9以上,且延缓失速迎角约1°。
图 7 增升构型有/无分布式动力CL -α对比

Fig.7 CL -α comparison of high-lift configuration with and without power

螺旋桨的滑流效应会显著影响机翼的升力及展向环量分布21-22,且随着迎角的变化而不同。本文选择了0°和10°(无动力构型失速前迎角)2个特征迎角进行有无分布式动力的影响分析。
定义展向升力系数CLZ式(1)所示:
C L Z = L C 1 2 ρ V 2 C
式中:LC 为当地升力(包含机翼与增升装置的升力);V 为来流速度;ρ为空气密度;C为当地弦长。
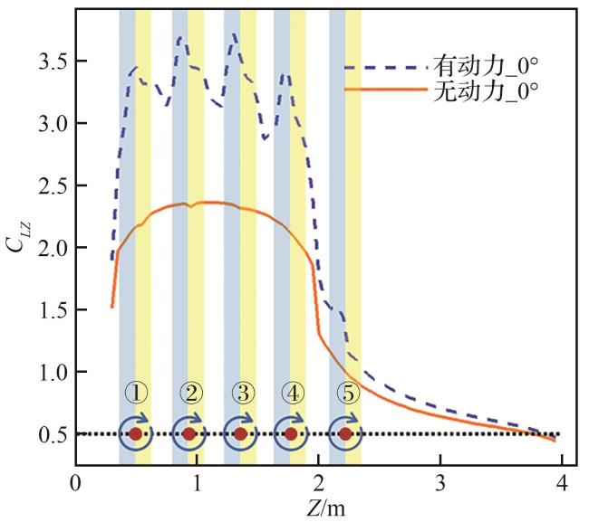
图8给出了0°迎角下,有/无分布式动力的展向升力系数对比。红点表示螺旋桨展向位置(同图6的对应关系);蓝色柱形区域代表螺旋桨上行侧对应的机翼展向升力系数区域;黄色柱形区域代表螺旋桨下行侧对应的机翼展向升力系数区域。由图8可知,在0°迎角下,1~4号桨的增升效果明显好于5号桨,同时,各螺旋桨均在机翼展向升力分布中产生局部非均匀性,具体表现为:在螺旋桨上行侧与下行侧交界处形成明显的升力波峰,而在相邻两个螺旋桨之间的翼段区域出现升力波谷。
图 8 0°迎角有/无动力展向升力分布对比

Fig.8 Comparison of powered and unpowered CLZ distribution at 0° angle of attack

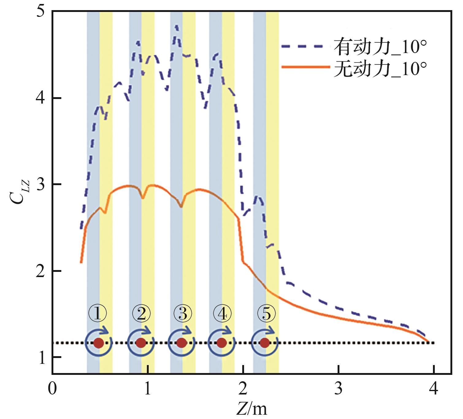
图9给出了10°迎角下有/无分布式动力的展向升力系数对比,迎角为10°时,每个桨对应的升力波峰仍是螺旋桨上行侧与下行侧交界处,升力波谷也仍出现在2个桨的中间位置;与0°迎角时相比,随着迎角增加,在襟翼前的1~4号桨,和干净翼段5号桨的动力增升效果均增加。
图 9 10°迎角有/无动力展向升力系数分布对比

Fig.9 Comparison of powered and unpowered CLZ distribution at 10° angle of attack

由上述内容可知:分布式动力的增升效果在有增升装置时更加显著(1~4号桨),在干净翼段的动力增升效果较小(5号桨)。随着迎角增加,所有桨的动力增升效果均增强。

2.2 螺旋桨纵向平面位置设计

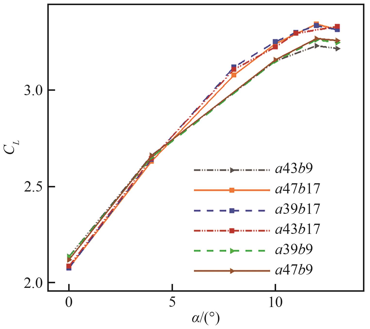
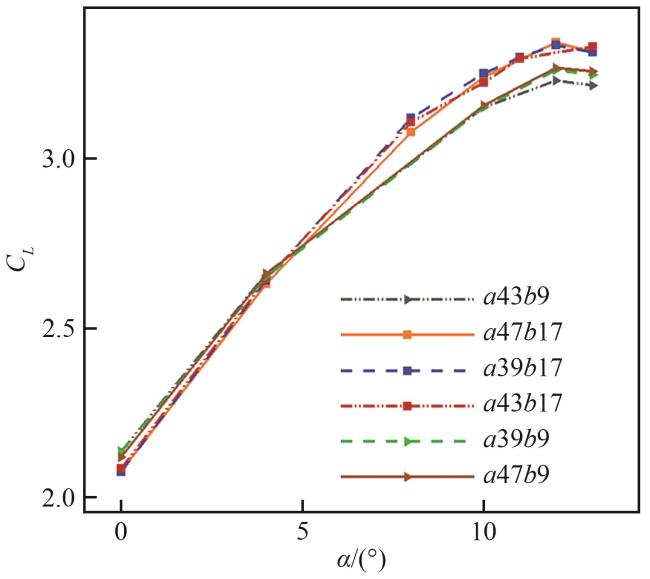
计算工况保持来流速度18 m/s,前进比0.45,基于该运输机结构可实现,表1给出了6种结构可实现的螺旋桨纵向平面位置,本节对螺旋桨纵向平面位置参数进行对比分析(螺旋桨均采用相同前伸量与下沉量)。
表1 不同下沉量b、前伸量aCL max对比

Table 1 Comparison of CL max for different vertical offset b and extension a

编号 前伸量a/% 下沉量b/% CL max
1 39 9 3.26
2 43 9 3.23
3 47 9 3.27
4 39 17 3.34
5 43 17 3.32
6 47 17 3.35
6种方案的CL -α的曲线如图10所示,螺旋桨前伸量a对于全机升力的影响较小;螺旋桨的下沉量b在小迎角对于升力的影响较小,在大迎角影响较大,表1中列出了不同方案的CL max值。
图 10 前伸量a、下沉量b对升力系数的影响

Fig.10 Effects of extension a, vertical offset b on CL

2.2.1 螺旋桨下沉量影响

保持前伸量为43%,对比下沉量9%和17%的差别。图11给出了不同下沉量下0°迎角的展向升力系数分布对比,不同下沉量下5个桨的升力波峰波谷基本相同,下沉量为9%时螺旋桨上行侧的升力波峰略高,与其在小迎角下全机升力系数略高0.04的现象相符。
图 11 0°迎角时下沉量9%与17%的展向升力系数分布对比

Fig.11 Comparison of CLZ at 0° angle of attack for vertical offset of 9% and 17%

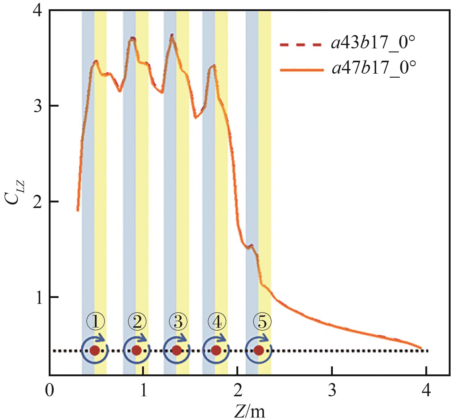
图10可知,下沉量17%在大迎角段的升力显著增加,选择10°迎角对比展向升力系数分布,如图12所示。由图可知,1~4号桨的增升效果随着下沉量增加而增加,5号桨的增升效果没有显著的变化;同时,下沉量带来的升力增量均在螺旋桨的下行侧,其上行侧的升力变化并不明显。
图 12 10°迎角时下沉量9%与17%的展向升力分布对比

Fig.12 Comparison of CLZ at 10° angle of attack for vertical offset of 9% and 17%

根据展向升力系数分布对比的现象,选取了10°迎角时2号桨的上行侧、对称面、下行侧3个特征截面对比弦向压力系数,压力系数的定义如式(2)所示:
C p = P - P 0 1 2 ρ V 2
式中:P表示静压值;P 0表示环境压力。
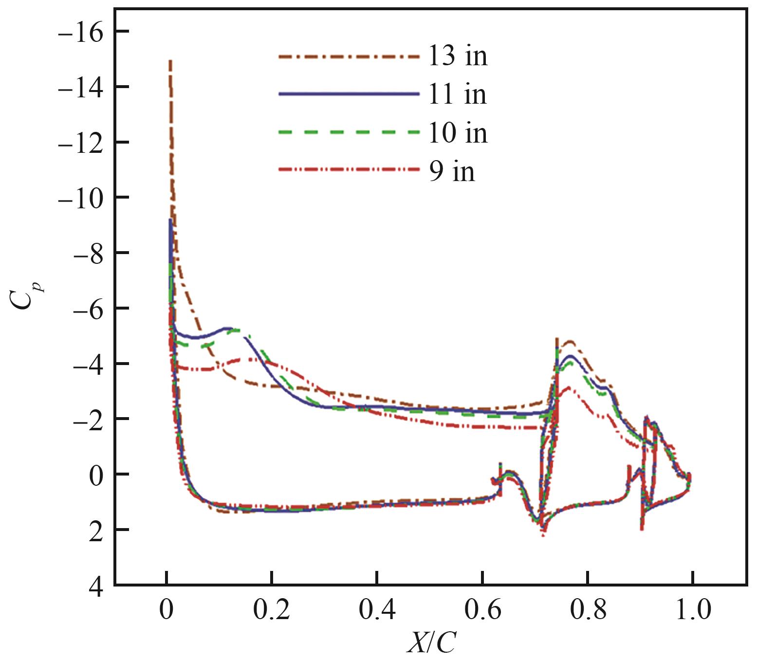
图13(a)给出了上述3个展向截面的位置,在展向的站位分别为半展长的19%、23%和26%;图13(b)~图13(d)给出了3个截面位置不同下沉量构型的压力系数对比,纵坐标为压力系数 C p,横坐标为弦向位置X除以当地弦长C
图 13 10°迎角时下沉量9%与17%典型剖面的压力系数分布对比

Fig.13 Comparison of typical section’s Cp at 10° angle of attack for vertical offset of 9% and 17%

从压力系数分布分析,下沉量增加对于主翼上下表面的影响较小,仅增加了螺旋桨下行侧(23%~26%站位间)的主翼前缘吸力峰,下沉量增加的主要影响表现在增加了主襟翼与子襟翼的下表面压力(上行侧与下行侧均如此);此外,下沉量增加对主襟翼,子襟翼的上表面压力系数分布影响不明显。
从压力系数分布对比中可看出,下行侧的襟翼流动差异较大,选择展向26%位置的特征截面进行研究,图14为该特征截面处静止坐标系下的总压(后文简称总压)云图,下限值为来流动压值,上限值为螺旋桨上行或下行侧出口流向速度(径向3/4处)的动压值(取整),高于上限值的区域则定义为滑流区。由图14可知,下沉量不同,使得当地机翼在桨后滑流区中的位置不同。
图 14 10°迎角时下沉量9%和17%展向26%剖面总压流场图

Fig.14 Total pressure at 26% spanwise section for vertical offsetof 9% and 17% at 10° angle of attack

在10°迎角下,下沉量17%时,滑流区域的高能流体仍加速机翼上表面流动,因此固定翼、襟翼的前缘吸力峰与上表面压力系数与下沉量9%时相同或更高(尽管下沉量为9%时固定翼上方的滑流区域更厚);而对于襟翼的下表面,下沉量为17%时其仍处在滑流区域中,但下沉量9%时,其襟翼的下表面已不处于所定义的滑流区域中,因此其增升效果略差。故而增加下沉量可用于提高动力增升效果,使机翼上表面在滑流区域的同时,增加襟翼下表面处的滑流区域厚度,增加襟翼的升力。
图11可知,在0°迎角下,下沉量9%在螺旋桨上行侧的升力略大,选择了0°迎角时展向19%位置特征截面进行压力系数分布的对比,如图15所示。由图可知,下沉量为17%时的固定翼上表面与襟翼的吸力峰均更小,而襟翼下表面的压力系数更大(与10°迎角下行侧一致)。
图 15 0°迎角时下沉量17%和9%在19%展向剖面的压力系数分布对比

Fig.15 Comparison of Cp at 19% spanwise section for vertical offset of 17% and 9% at 0° angle of attack

图16(a)、图16(b)为0°迎角19%展向位置的总压云图(为更清晰对比分离,将总压值下限由来流动压调整为-100 Pa),当下沉量增加,上行侧的当地迎角增加,导致了前缘的分离更加严重,使得主翼与襟翼头部吸力峰均减小。
图 16 0°迎角时下沉量9%和17%展向19%剖面总压流场

Fig.16 Total pressure at 19% spanwise section for vertical offset of 9% and 17% at 0° angle of attack

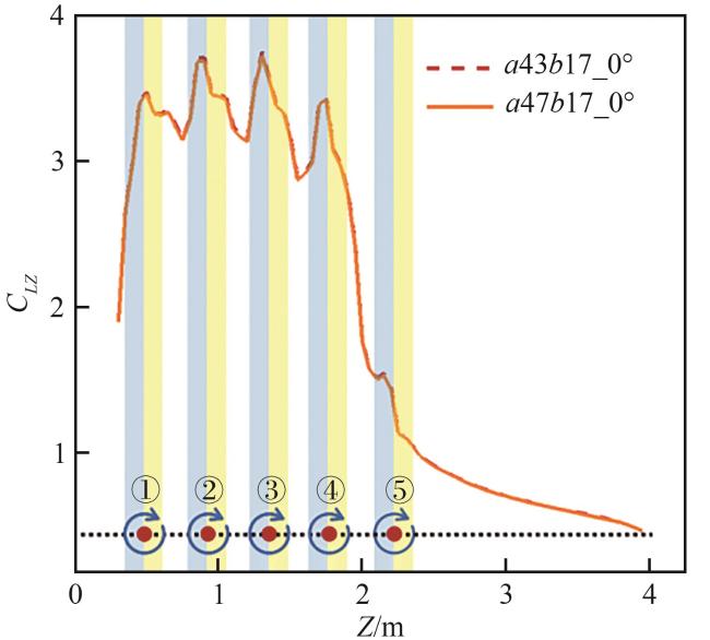
2.2.2 螺旋桨前伸量影响

保持下沉量均为17%,选取前伸量39%和47%对比不同前伸量在0°以及10°迎角的展向升力系数分布,如图1718所示。由图1718可知,前伸量增加,无论在大迎角还是小迎角,对于1~5号桨的动力增升效果均没有显著影响,与图10中两构型全机升力线基本一致的现象吻合。
图 17 0°迎角时前伸量39%与47%展向升力系数分布对比

Fig.17 Comparison of CLZ at 0° angle of attack for extension of 39% and 47%

图 18 10°迎角前伸量39%与47%展向升力系数分布对比

Fig.18 Comparison of CLZ at 10° angle of attack for extension of 39% and 47%

由上述内容可知,前伸量对动力增升的效果无显著影响;而下沉量增加对螺旋桨上行侧机翼与下行侧机翼影响不同,在下行侧可使滑流区域覆盖双缝襟翼,从而增加动力增升效果,而在上行侧下沉量增加使得主翼前缘分离增大,对升力产生不利影响。

2.3 螺旋桨桨盘直径影响

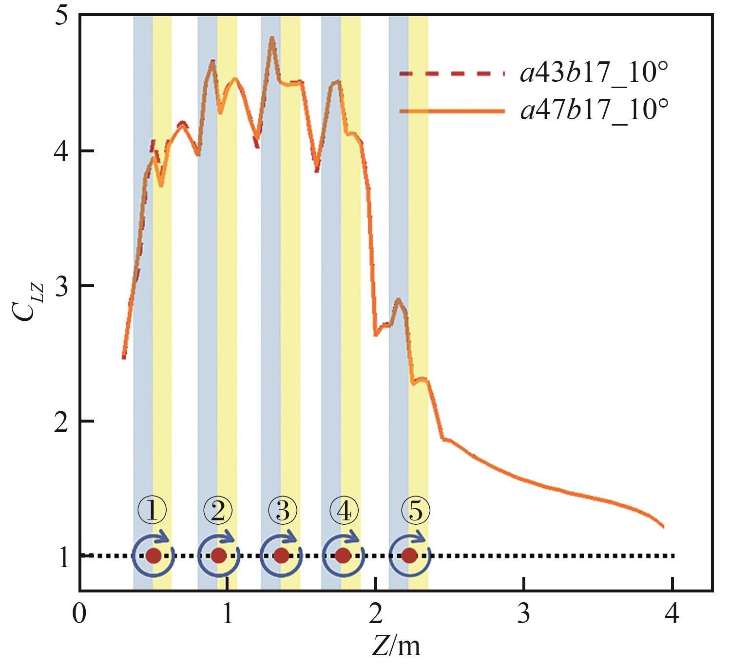
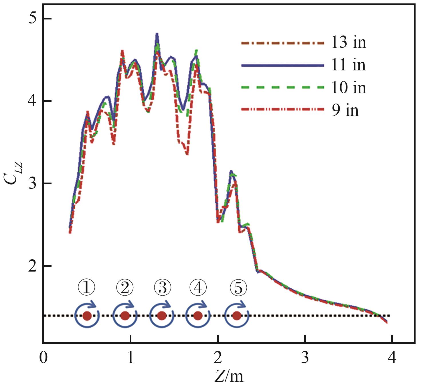
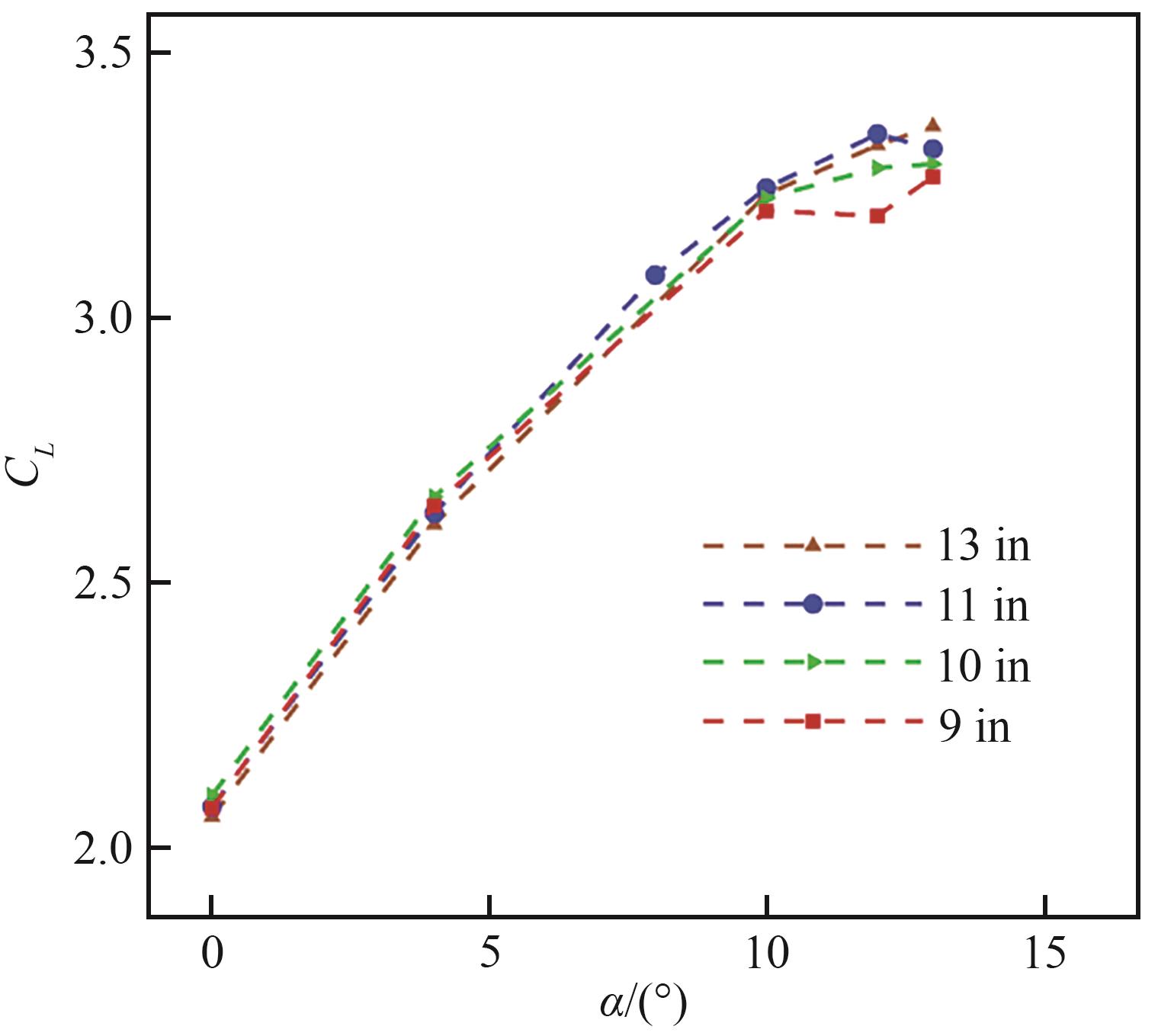
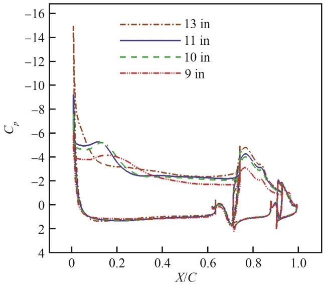
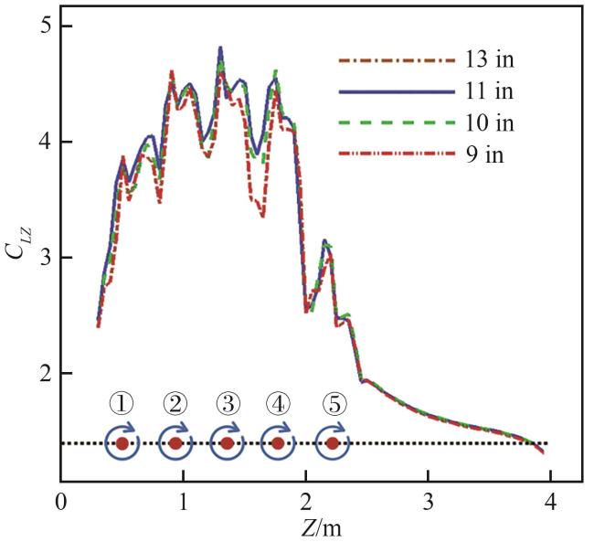
如2.2节所述,螺旋桨位置会影响当地机翼在滑流区域中的位置,而桨盘直径则可以直接改变滑流区域的大小,同样可影响动力增升效果。本节螺旋桨纵向平面位置采用a47b17(不同桨盘直径保持螺旋桨桨盘平面中心点位置一致),对螺旋桨桨盘直径进行研究。
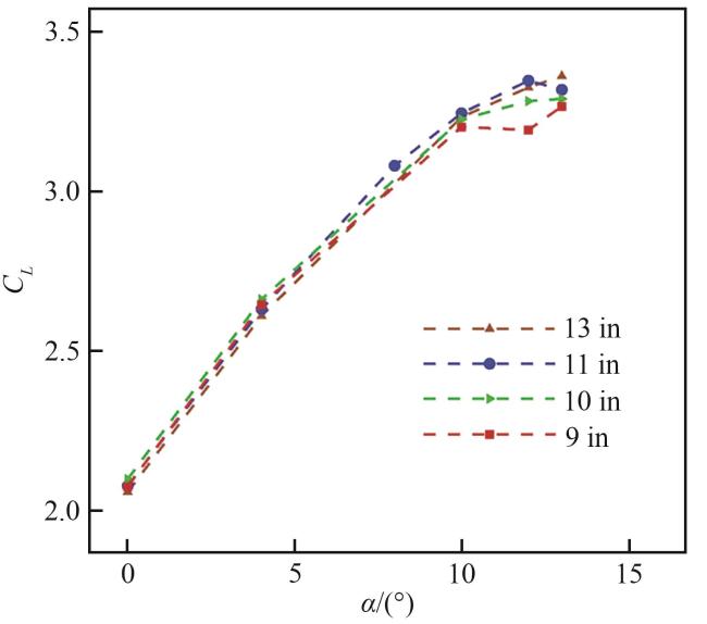
文献[23-24]表明以螺旋桨直径除以展长的无量纲化值存在较佳范围,为0.5左右。本文主要研究相同来流速度,相同总推力下不同螺旋桨直径的动力增升效果差异,各算例均采用2.1节展向布局。选择4种几何相似的螺旋桨进行对比,桨盘直径分别为:13、11、10、9 in。
图19给出了采用4种不同螺旋桨桨盘直径的全机升力线对比。在保持总推力一致的前提下,螺旋桨直径为13、11、10 in构型的全机升力线基本一致。只有直径为9 in的螺旋桨对应的升力线失速迎角提前到了10°。
图 19 4种桨盘直径螺旋桨的全机CL -α对比

Fig.19 Comparison of CL -α of four kinds of propeller with different diameters

以12°迎角为例,对比展向升力系数分布,如图20所示。13、11、10 in的桨产生的升力波峰与波谷基本一致,而9 in的1~4号桨在螺旋桨下行侧的增升效果略有减弱,同时在3、4号桨中间的升力波谷有明显的升力损失。
图 20 12°迎角下4种桨盘直径的展向升力系数分布对比

Fig.20 Comparison of CLZ at 12° angle of attack of four propeller with different diameters

根据图20展向升力系数分布,选择差异较为明显的典型截面,展向40%位置对比压力系数分布,如图21所示。由图可知,桨盘直径变小,在该展向位置的主翼吸力峰与襟翼吸力峰值均有减小,而9 in桨减小最为明显,因此导致了较大的升力损失。
图 21 12°迎角时4种螺旋桨在40%展向剖面的压力系数分布对比

Fig.21 Comparison of Cp at 40% spanwise section of four propellers at 12° angle of attack

同时,在该展向位置(螺旋桨上行侧),桨盘直径变化后均能有效覆盖襟翼下表面,因此4种直径的桨在襟翼下表面的压力基本相同。
选取差异最大的13 in与9 in桨进行对比分析。图22(a)、图22(b)给出了两者在40%展向位置的总压云图对比。在相同推力,螺旋桨位置相同时,13 in桨在该截面的机翼上表面分离较小,而9 in桨在此处的机翼上表面已经有大面积的分离,并且向后影响到襟翼,削弱了增升效果。结合图16的分析结果可知,螺旋桨下沉量的增加以及桨盘直径的减小,均会对螺旋桨上行侧机翼的前缘分离产生不利影响。
图 22 12°迎角时不同螺旋桨直径剖面总压流场

Fig.22 Sectional total pressure of varied propeller with different diameters at 12° angle of attack

总体而言,在总推力相同的条件下,桨盘直径变化对失速前的动力增升效果影响不显著;而较大的桨盘直径有助于减小大迎角条件下螺旋桨上行侧的前缘分离,对失速特性具有一定改善作用。

2.4 螺旋桨展向布置设计

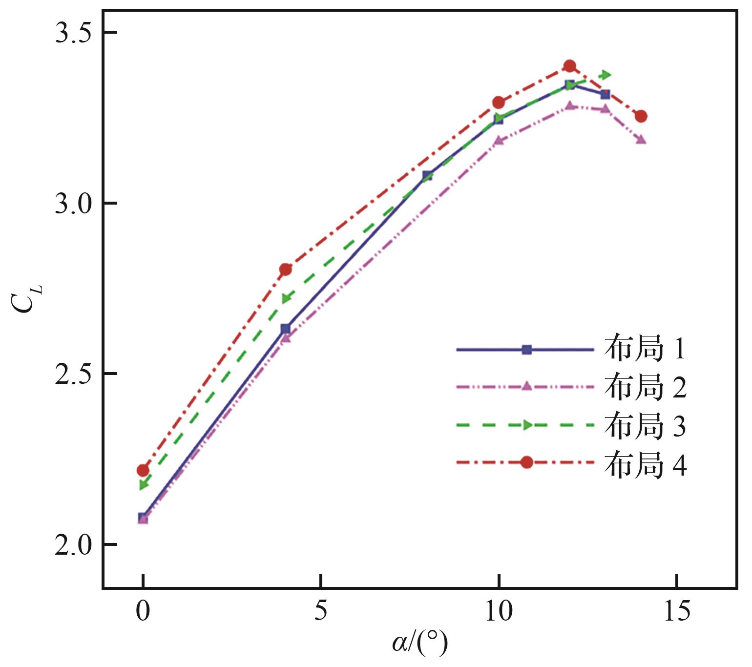
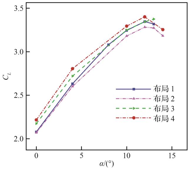
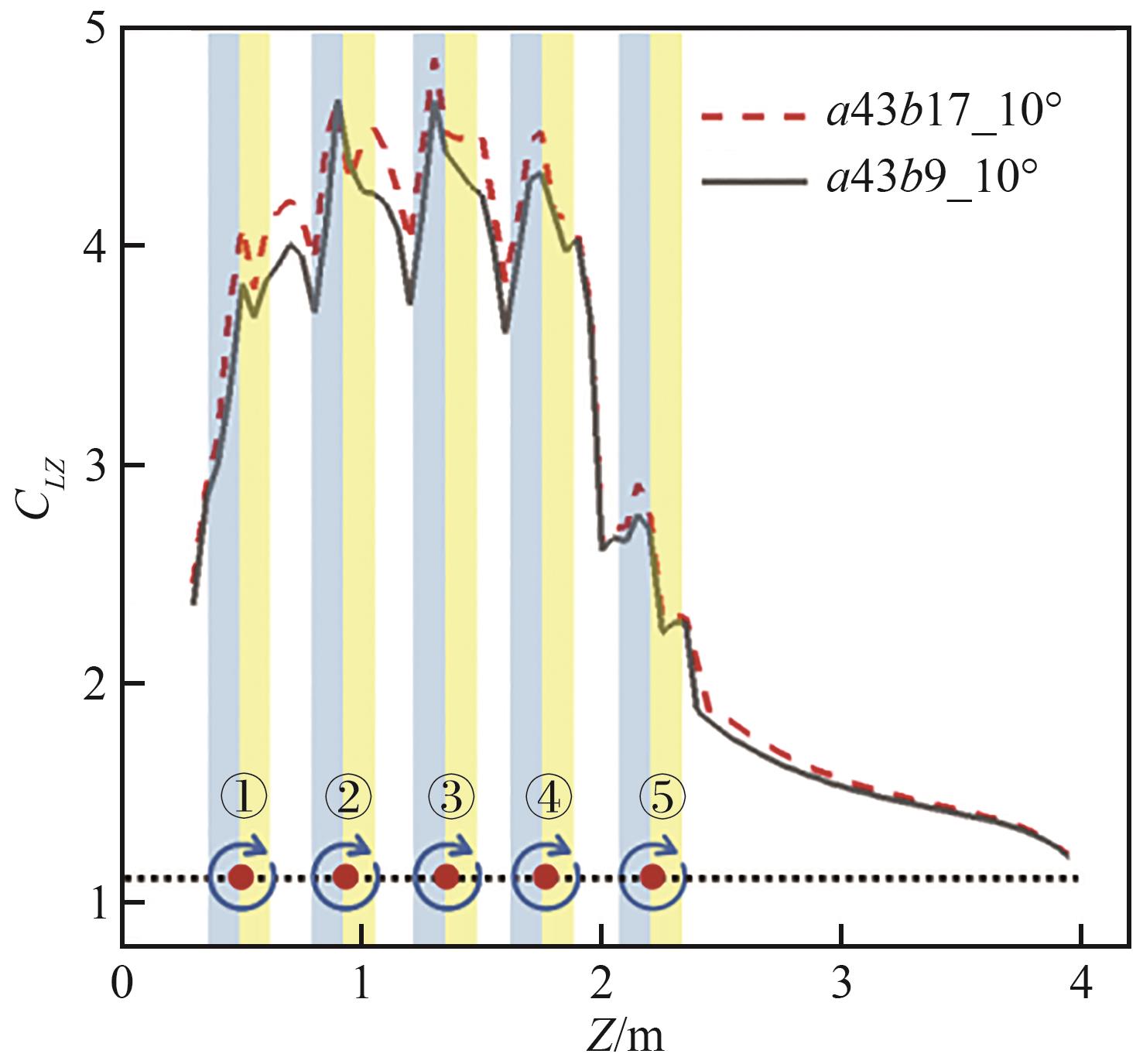
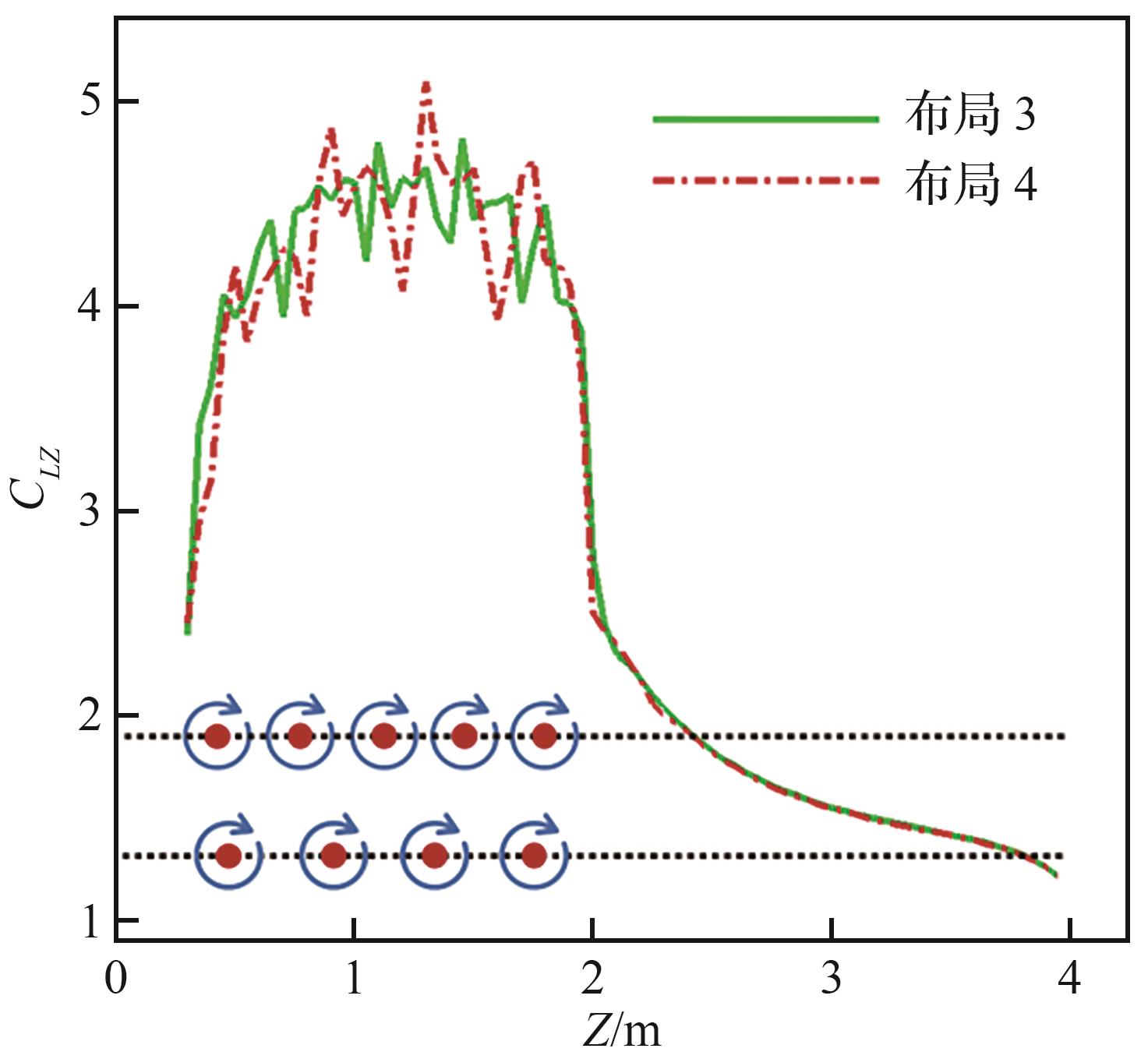
固定螺旋桨纵向位置为a47b17,桨盘直径为11 in,对分布式动力在展向的布局进行设计,主要设计了4种布局,如图23所示,来流速度均为18 m/s,其中布局1、2、4的前进比相同,均为0.45,布局3的螺旋桨转速更高,前进比为0.41,4种布局中1、3、4的总推力相同。
图 23 4种分布式动力展向布局示意

Fig.23 Four types of distributed propulsion spanwise schemes

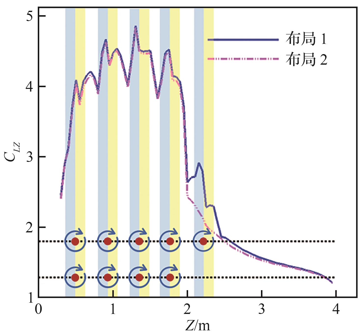
在相同来流条件下,对比4种布局的全机CL -α曲线,如图24所示。由图可知,布局1与布局2的升力线在小迎角下基本一致,而在大迎角时布局1的升力线更高,因5号桨在小迎角时增升效果不显著,而随着迎角增加动力增升效果增加;由图25可知,布局1在大迎角相比布局2的升力增量来自5号桨。布局4的升力线略高于布局3的升力线,两者差别在于布局3在增升装置前布置了4个桨,布局4在增升装置前布置了5个桨,但2种布局的总推力相同。
图 24 不同布局的全机CL -α曲线对比

Fig.24 Comparison of CL -α curves for different schemes

图 25 10°迎角下布局1与布局2的展向升力系数分布对比

Fig.25 Comparison of CLZ between scheme 1 and scheme 2 at 10° angle of attack

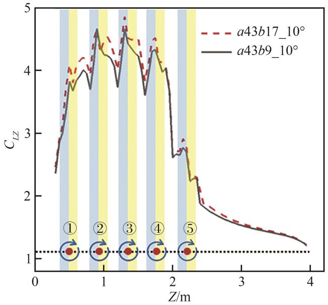
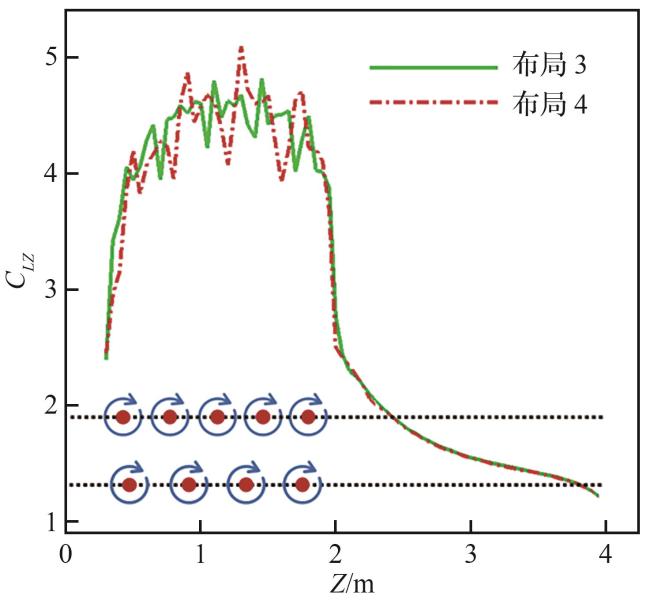
10°迎角的展向升力系数对比如图26所示,布局3因桨的个数少,桨间的波谷范围更大(螺旋桨间距更大),也更低,波峰与布局4相差不大,因此总升力更低。因此,在总推力相同的情况下,相同的螺旋桨排布数量越多,可提高动力增升效果。
图 26 10°迎角布局3与布局4的展向升力系数分布对比

Fig.26 Comparison of CLZ between scheme 3 and scheme 4 at 10° angle of attack

3 结论与展望

本文对大展弦比运输机的分布式动力布局进行了气动设计研究,研究表明相比于布置在干净翼段前,螺旋桨布置在增升翼段时动力增升效果更显著,且无论布置在哪里,动力增升效果均随着迎角增加而增加。此外还有以下结论:
1) 螺旋桨在纵向平面位置的前伸量对于动力增升效果无明显影响;对于不同下沉量,在小迎角时,机翼襟翼均处在滑流区域内,动力增升效果相同;随着迎角增大,下沉量较小时螺旋桨下行侧的双缝襟翼下表面先脱离了滑流区域,而下沉量更大的机翼与襟翼仍处在滑流区域内,因此其动力增升效果更好。
2) 在总推力相同的情况下,不同桨盘直径几何相似的螺旋桨在失速前的动力增升效果基本一致,而桨盘直径越大,在失速段螺旋桨上行侧固定翼前缘的分离越小,失速特性更好。
3) 在螺旋桨几何尺寸相同,纵向安装位置相同,总推力相同的情况下,螺旋桨的数量增加有助于提升动力增升效果。
根据本文的研究,通过分布式动力气动设计提高动力增升效果:一方面在于控制螺旋桨上行侧的固定翼前缘分离,另一方面在于控制螺旋桨下行侧的滑流区域能有效覆盖主翼与增升装置。后续研究将进一步围绕上述两方面开展机理分析与设计边界探索。
[1]
Reducing emissions from aviation[EB/OL]. (2025-05-22)[2025-08-29].

[2]
陈志华. “3060”双碳背景下能源发展现状[J]. 现代工业经济和信息化202313(6): 195-196, 199.

CHEN Z H. Current situation of energy development under the background of “30·60”dual carbon”[J]. Modern Industrial Economy and Informationization202313(6): 195-196, 199 (in Chinese).

[3]
PLIJTER J C DUIVENVOORDEN R SINNIGE T. Aerodynamic interaction effects between a propeller slipstream and single slotted flap[C]∥AIAA Scitech 2025 Forum. Reston: AIAA, 2025.

[4]
DUIVENVOORDEN R SUARD N SINNIGE T, et al. Experimental investigation of aerodynamic interactions of a wing with deployed Fowler flap under influence of a propeller slipstream[C]∥AIAA Aviation 2022 Forum. Reston: AIAA, 2022.

[5]
BECK N RADESPIEL R LENFERS C, et al. Aerodynamic effects of propeller slipstream on a wing with circulation control by internally blown flaps[C]∥52nd Aerospace Sciences Meeting. Reston: AIAA, 2014.

[6]
AMINAEI H DEHGHAN MANSHADI M MOSTOFIZADEH A R. Experimental investigation of propeller slipstream effects on the wing aerodynamics and boundary layer treatment at low Reynolds number[J]. Proceedings of the Institution of Mechanical Engineers, Part G: Journal of Aerospace Engineering2019233(8): 3033-3041.

[7]
AREF P GHOREYSHI M JIRASEK A, et al. Computational study of propeller wing aerodynamic interaction[C]∥2018 AIAA Aerospace Sciences Meeting. Reston: AIAA, 2018.

[8]
周莉, 文崧棋, 王占学. 螺旋桨滑流的三维流场特性数值研究[J]. 航空动力学报201833(4): 832-840.

ZHOU L WEN S Q WANG Z X. Numerical investigation on three-dimensional flow-field characteristics of propeller slipstream[J]. Journal of Aerospace Power201833(4): 832-840 (in Chinese).

[9]
VIKEN J K VIKEN S DEERE K A, et al. Design of the cruise and flap airfoil for the X-57 Maxwell distributed electric propulsion aircraft[C]∥35th AIAA Applied Aerodynamics Conference. Reston: AIAA, 2017.

[10]
DEERE K A VIKEN J K VIKEN S, et al. Computational analysis of a wing designed for the X-57 distributed electric propulsion aircraft[C]∥35th AIAA Applied Aerodynamics Conference. Reston: AIAA, 2017.

[11]
LITHERLAND B L BORER N K ZAWODNY N S. X-57 Maxwell high-lift propeller testing and model development[C]∥AIAA Aviation 2021 Forum. Reston: AIAA, 2021.

[12]
CHRISTOPHER B C. Performance, stability and control of electric short takeoff and landing aircraft[D]. Cambridge: Massachusetts Institute of Technology, 2024.

[13]
刘毅, 赵晓霞, 欧阳绍修. 螺旋桨飞机升力失速特性研究[J]. 空气动力学学报201533(5): 655-660.

LIU Y ZHAO X X OUYANG S X. Investigation on lift stall characteristics of propeller aircraft[J]. Acta Aerodynamica Sinica201533(5): 655-660 (in Chinese).

[14]
杨小川, 李伟, 王运涛, 等. 一种分布式螺旋桨运输机方案及其滑流效应研究[J]. 西北工业大学学报201937(2): 361-368.

YANG X C LI W WANG Y T, et al. Research on aerodynamic shape design scheme of a distributed propeller transport aircraft and its slipstream effect[J]. Journal of Northwestern Polytechnical University201937(2): 361-368 (in Chinese).

[15]
DELLA VECCHIA P MALGIERI D NICOLOSI F, et al. Numerical analysis of propeller effects on wing aerodynamic: tip mounted and distributed propulsion[J]. Transportation Research Procedia201829: 106-115.

[16]
饶崇, 张铁军, 魏闯, 等. 一种分布式电动飞机螺旋桨滑流影响机理[J]. 航空学报202142(S1): 157-167.

RAO C ZHANG T J WEI C, et al. Influence mechanism of propeller slipstream on wing of a distributed electric aircraft scheme[J]. Acta Aeronautica et Astronautica Sinica202142(S1): 157-167 (in Chinese).

[17]
SZLIVKA F HETYEI C FEKETE G, et al. Comparison of mixing plane, frozen rotor, and sliding mesh methods on a counter-rotating dual-rotor wind turbine[J]. Applied Sciences202313(15): 8982.

[18]
徐家宽, 白俊强, 黄江涛, 等. 考虑螺旋桨滑流影响的机翼气动优化设计[J]. 航空学报201435(11): 2910-2920.

XU J K BAI J Q HUANG J T, et al. Aerodynamic optimization design of wing under the interaction of propeller slipstream[J]. Acta Aeronautica et Astronautica Sinica201435(11): 2910-2920 (in Chinese).

[19]
X-57 technical papers[EB/OL]. (2025-02-13)[2025-08-29].

[20]
Development of the X-57 aerodynamic database CFD results[EB/OL]. (2025-05-09)[2025-08-29].

[21]
CHADHA S A POMEROY B W SELIG M S. Computational study of a lifting surface in propeller slipstreams[C]∥34th AIAA Applied Aerodynamics Conference. Reston: AIAA, 2016.

[22]
SHAO Y WANG W B SUN J, et al. Design of high-efficiency jet lift enhancement for flaps under propeller slipstream influence[J]. Aerospace202512(3): 232.

[23]
MIKHALYOV S DUNAEVSKY A TEPERIN L, et al. Effects of propeller slipstream of distributed electric propulsion on the wing-flap system[J]. MATEC Web of Conferences2019304: 02018.

[24]
王科雷, 祝小平, 周洲, 等. 低雷诺数分布式螺旋桨滑流气动影响[J]. 航空学报201637(9): 2669-2678.

WANG K L ZHU X P ZHOU Z, et al. Distributed electric propulsion slipstream aerodynamic effects at low Reynolds number[J]. Acta Aeronautica et Astronautica Sinica201637(9): 2669-2678 (in Chinese).

文章导航

/