航空学报 > 2025, Vol. 46 Issue (11): 531322-531322   doi: 10.7527/S1000-6893.2024.31322

考虑通信和梯度时延的联盟博弈分布式对偶平均算法及在编队控制中的应用

刘加勋, 陈明飞, 徐晓鹏, 刘帅, 王东()   

  1. 大连理工大学 控制科学与工程学院 工业装备智能控制与优化教育部重点实验室,大连 116024
  • 收稿日期:2024-09-30 修回日期:2024-10-18 接受日期:2024-11-04 出版日期:2024-11-26 发布日期:2024-11-25
  • 通讯作者: 王东 E-mail:dwang@dlut.edu.cn
  • 基金资助:
    国家自然科学基金(61973050);国家自然科学基金(62173061);辽宁省科技合作项目(2023JH2/101700362);辽宁省科技合作项目(2023JH2/101300200)

Distributed dual average algorithm with communication and gradient delays for coalition games and its application in formation control

Jiaxun LIU, Mingfei CHEN, Xiaopeng XU, Shuai LIU, Dong WANG()   

  1. Key Laboratory of Intelligent Control and Optimization for Industrial Equipment of Ministry of Education,School of Control Science and Engineering,Dalian University of Technology,Dalian 116024,China
  • Received:2024-09-30 Revised:2024-10-18 Accepted:2024-11-04 Online:2024-11-26 Published:2024-11-25
  • Contact: Dong WANG E-mail:dwang@dlut.edu.cn
  • Supported by:
    National Natural Science Foundation of China(61973050);Liaoning Province Science and Technology Cooperation Programs(2023JH2/101700362)

摘要:

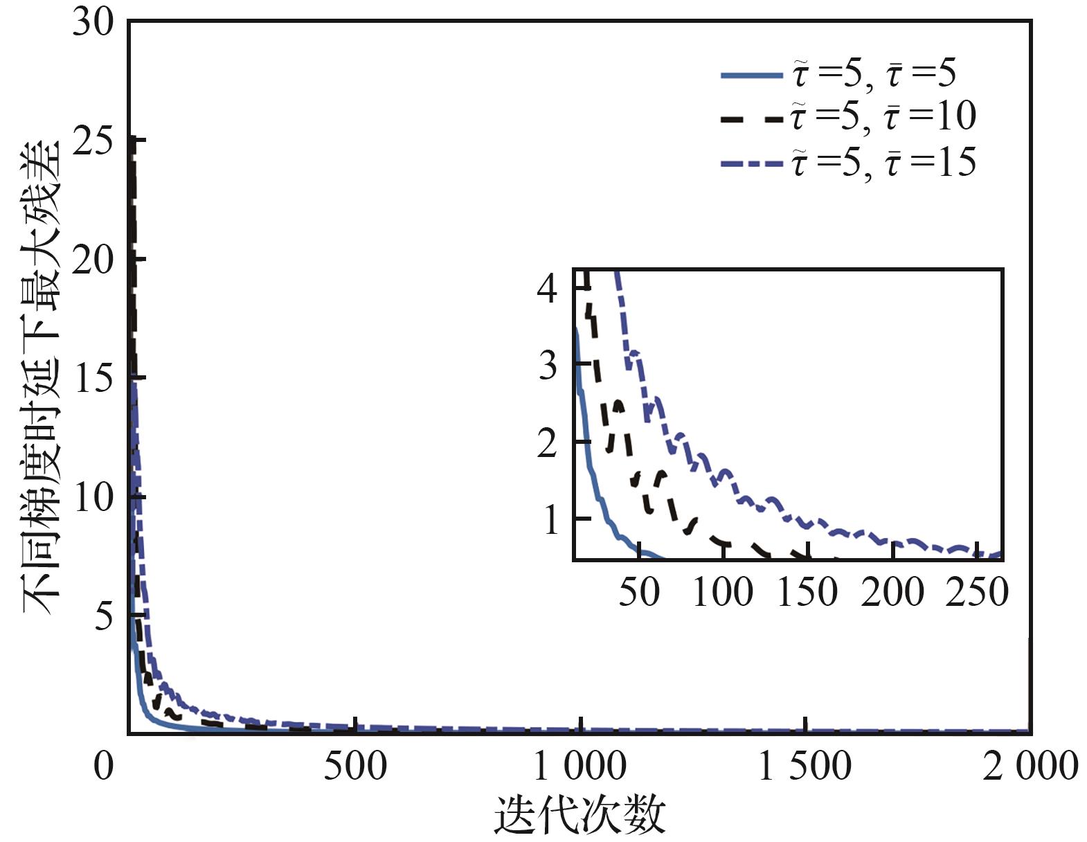
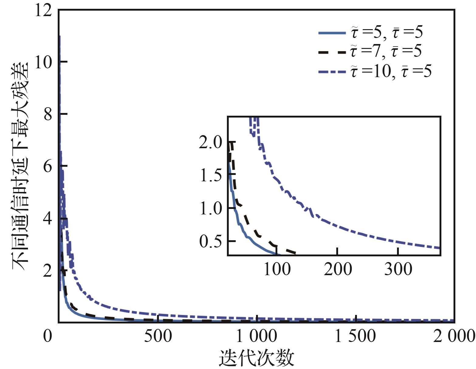
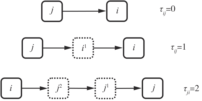
针对通信时延与梯度时延共存下的联盟博弈,提出基于对偶平均技术和时延梯度的分布式对偶平均算法来求解纳什均衡。采用增广图方法表征通信时延以及利用布雷格曼散度度量时延梯度与当前梯度之间的误差,理论分析表明,提出的分布式对偶平均算法以次线性收敛率收敛至纳什均衡。同时,研究结果阐明了通信时延与梯度时延对算法收敛误差的影响。最后,将所提出的分布式对偶平均算法应用到无人机集群的编队控制中验证算法的有效性。

关键词: 联盟博弈, 通信时延, 梯度时延, 对偶平均, 纳什均衡

Abstract:

To address coalition games with communication and gradient delays, this paper proposes a distributed algorithm based on dual averaging and delayed gradient to seek the Nash equilibrium. With the help of augmented graphs and Bregman divergence, it is demonstrated that the proposed algorithm converges to the Nash equilibrium at a sub-linear rate, and the effect of communication and gradient delays on the convergence error is also clarified. Simulations in formation of unmanned aerial vehicle swarms verify the effectiveness of the proposed algorithm.

Key words: coalition game, communication delay, gradient delay, dual averaging, Nash equilibrium

中图分类号: