第二十七届中国科协年会专栏

跨速域乘波体组合变体机翼布局及其任务能力评估

  • 马铁林 1 ,
  • 景彪 2 ,
  • 蒋崇文 2 ,
  • 乔南璇 , 2, 3 ,
  • 付竟成 1 ,
  • 向锦武 2
展开
  • 1. 北京航空航天大学 无人系统研究院,北京 100191
  • 2. 北京航空航天大学 航空科学与工程学院,北京 100191
  • 3. 北京航空航天大学 沈元学院,北京 100191

收稿日期: 2025-03-31

  修回日期: 2025-07-21

  录用日期: 2025-08-10

  网络出版日期: 2025-08-18

基金资助

航空科学基金(2024Z006051002)

中央高校基本科研业务费专项资金(501QYJC2024129001)

Configuration design and mission capability evaluation of a cross-speed-range waverider-integrated morphing wing

  • Tielin MA 1 ,
  • Biao JING 2 ,
  • Chongwen JIANG 2 ,
  • Nanxuan QIAO , 2, 3 ,
  • Jingcheng FU 1 ,
  • Jinwu XIANG 2
Expand
  • 1. Institute of Unmanned System,Beihang University,Beijing 100191,China
  • 2. School of Aeronautic Science and Engineering,Beihang University,Beijing 100191,China
  • 3. Shenyuan Honors College,Beihang University,Beijing 100191,China

Received date: 2025-03-31

  Revised date: 2025-07-21

  Accepted date: 2025-08-10

  Online published: 2025-08-18

Supported by

Aeronautical Science Foundation of China(2024Z006051002)

the Fundamental Research Funds for the Central Universities(501QYJC2024129001)

摘要

跨速域飞行器在快速部署、持久侦察与高速投送等领域展现出广阔应用前景,其设计核心挑战在于依靠单一气动布局难以兼顾复杂飞行工况需求且单体平台尺寸较大难以向集群应用场景拓展。提出一种具备集群部署潜力且宽速域性能均衡的变体滑翔飞行器构型,融合乘波体与旋转伸缩机翼气动布局,建立了完整的设计、优化和性能评估框架,实现跨速域变体滑翔飞行器从任务需求到性能评价的完整闭环。在总体参数评估方面,提出了基于多阶段再入飞行走廊的总体参数评估方法;在气动外形优化方面,建立了乘波体尾部整流罩宽速域优化方法和变体机翼全局-梯度两阶段优化策略;在飞行器任务能力评估方面,基于hp-RPM (hp-adaptive Radau Pseudospectral Method)方法完成飞行器可达域计算和任务能力评估,探索出适用于该布局的俯冲-跃升减速策略,可在不改变布局的情况下突破准平衡滑翔软约束完成预定减速任务,使飞行器具备更强的载重能力。

本文引用格式

马铁林 , 景彪 , 蒋崇文 , 乔南璇 , 付竟成 , 向锦武 . 跨速域乘波体组合变体机翼布局及其任务能力评估[J]. 航空学报, 2026 , 47(1) : 632051 -632051 . DOI: 10.7527/S1000-6893.2025.32051

Abstract

Cross-speed-range vehicles have shown significant application potential in rapid deployment, persistent reconnaissance, and high-speed delivery. However, their development faces core challenges: a single aerodynamic configuration is often insufficient to accommodate complex flight condition requirements, and large monolithic platforms are difficult to adapt for swarm-based deployment. This study proposes a morphing glide vehicle configuration with swarm deployment capability and balanced cross-speed-range performance. The design integrates a waverider body with rotating and telescopic wings. A comprehensive framework is established, encompassing design, optimization, and performance evaluation, forming a closed-loop development process from mission requirement definition to performance validation for cross-speed-range morphing glide vehicles. In the system-level assessment, a parameter evaluation method based on a multi-stage reentry flight corridor is proposed. For aerodynamic optimization, a cross-speed-range optimization method is developed for the waverider tail fairing, along with a two-stage global–local optimization strategy for morphing wing design. Based on the hp-adaptive Radau Pseudospectral Method (hp-RPM), reachable domain computation and mission capability evaluation are performed. A dive–climb deceleration strategy suitable for this layout is proposed, enabling the vehicle to overcome quasi-equilibrium glide constraints and fulfill deceleration requirements without modifying the configuration, thereby improving its payload capacity.

随着快速抵近持续侦察/监视/干扰1-2与跨洲际快速运输3-4等新型任务出现,跨速域飞行器逐渐成为当前航空航天交叉领域的重要研究方向5。在跨速域气动布局设计领域,目前已经出现了一批新概念跨速域飞行器布局和乘波体设计方法6,主要包括涡波一体化布局、变马赫数乘波体设计7-10、高压捕获翼布局以及一系列变构型/组合布局11。涡波一体化布局是基于传统乘波体设计方法的进一步发展,通过融合乘波体和后掠三角翼,实现了在亚、跨、超、高超声速各飞行状态下良好的气动性能12-14。目前在涡波一体化布局协同优化、飞行稳定性、流动机理等方面已有大量研究。该布局通过综合乘波体高速优势和三角翼低速涡升力特性,使其具备了较好的宽速域飞行能力。然而,从应用角度出发,该布局通常考虑用于大型飞行器中以发挥其宽速域飞行和高升力性能优势,在小型化和集群应用方面发展潜力相对有限,目前关于该布局的相关研究主要集中于干净构型设计和优化层面。变马赫数乘波体布局在设计过程中采用不同的马赫数进行设计,以期在不同速度范围内具有良好气动性能15。但是,该布局形式无法兼顾不同速域的升力面积需求差异,仅能实现在高超声速阶段的变马赫数适应性,亚声速飞行能力有限16。高压捕获翼布局通过在飞行器背面添加与气流方向平行的机翼,可有效捕获并利用飞行器上部压缩空气形成的高压区域,为飞行器提供额外升力,该布局在大型飞行器中的应用效果较好。然而,由于该布局对单体尺寸的严格要求以及复杂的气动布局设计思想,导致其单机研制成本相对较高,在集群化应用场景中的适应性和扩展性也相对受限。
因此,针对快速抵近和长时间滞空的任务需求,若想使飞行器兼具低成本和高效装载能力使其具备集群化应用潜力,需要采用变构型或组合设计,使飞行器能够灵活适应不同速域的飞行环境特征和装载空间约束。目前,变体构型可分为柔性变体与机械变体2类。柔性变形通常通过有限体积内的机身形状或机翼曲率变化实现。Phoenix等17提出了一种可变形下流面高超声速乘波体构型,具备从马赫数10到马赫数5的跨速域高效气动性能,确定了实现设计操作所需的变形精度与控制要求。而机械变体则包括变后掠角、变上反角、机翼折叠与伸缩等方法,通过机械驱动显著改变机翼面积,实现更宽速域内的调节。Dai等18提出一种组合变后掠翼布局,通过飞行条件与后掠角匹配以达到最佳飞行性能,改善乘波体在低速和高速状态下的飞行状态,从而实现飞行速域的扩展。罗世彬等19提出一种变展长高超声速气动布局,并在该布局基础上采用自由曲面变形(FFD)参数化和径向基函数网格变形方法,对该气动布局开展了详细的优化设计。Liu等20提出了一种新的机翼变体机制,该变体方法可以改变机翼的平面形状(展长、后掠角)和翼型(弦长、相对厚度),在优化过程中考虑了变体机翼的不同后掠角状态以及不同流动条件,优化后的变体机翼在亚声速到高超声速流动条件下具有较好的气动性能提升效果。目前面内变体相关布局形式应用较为广泛,面外变体和柔性变体布局相对较少。面内变体结构的主要优势在于变体机构可以嵌入机身内部,从而避免关键变体机构直接暴露在外部环境中。这种设计不仅降低了因外界环境对机构造成的影响,而且在高超声速飞行阶段能够有效缓解因气动加热所带来的热负荷问题。面内变体方式又可分为面内变后掠、变展长、面内旋转以及面内组合变体方式。相比之下,面外变体方案则需要在设计中重点考虑折叠机构的防热处理。由于机体在高超声速条件下容易受到相对较大的法向气动力,这就对折叠机构的锁定精度和承载能力提出了更高要求。因而,面外变体机构在实际应用中容易面临结构过重以及可靠性不足的问题。柔性变体技术目前主要依赖小尺度的外形调整,其局限在于无法大幅度改变机体的水平投影面积。尽管这一方式在高超声速飞行阶段能够获得相对理想的气动适应效果,但在亚声速阶段,由于动压较低,柔性变体无法大幅改善低速升力面积不足导致升重平衡困难的情况。
此外,针对快速抵近长时滞空需求,需要建立完整的任务评价体系。跨速域飞行器的性能评估方法需紧密结合其飞行特点与任务需求,而传统基于单一飞行状态的评价体系已无法满足复杂任务场景下的设计优化需求。飞行可达域分析与轨迹规划成为性能评估的核心手段,主要方法可分为解析法、数值优化及智能优化3类。解析/半解析方法通过简化动力学模型,能够快速估算可达域边界,适用于初步设计阶段或需要快速评估的场景21-23。数值优化方法通过数值求解动力学方程和控制输入计算可达域边界,适用于复杂非线性系统和高精度任务规划。典型方法包括最优控制方法以及智能优化算法。其中,hp自适应伪谱法结合了伪谱法精度和hp自适应技术效率,能精确捕捉变体飞行器的气动参数跃变,并高效处理多阶段约束24-27。近年来,智能优化与机器学习方法在可达域求解中得到了广泛应用。通过智能算法驱动的方法创新28-30与复杂约束场景的技术突破31-33,在约束建模、计算效率及实时性等维度取得显著进展,推动了再入可达域计算技术向多约束、高动态场景的工程实用化发展。可达域求解方法的选择需根据问题的复杂度、计算资源限制和精度要求进行权衡。解析法适用于快速初步评估,数值优化方法如hp-RPM(hp-adaptive Radau Pseudospectral Method)适用于高精度复杂场景,而智能优化方法则适合多目标优化和全局搜索任务。
针对上述挑战,本文聚焦于解决跨速域飞行器多状态气动需求矛盾与总体设计耦合难题,提出乘波体组合旋转伸缩翼的跨速域变体飞行器总体设计及任务性能评估框架。针对该飞行器的任务特点和多阶段变体特征,开展了该类飞行器的总体参数可行性评估方法研究,建立了基于多阶段再入飞行走廊约束的跨速域变体飞行器总体参数评估方法。在确定了飞行器的总体参数和布局后,本文开展了高超声速乘波体整流罩的宽速域优化和亚声速变体机翼的气动优化。形成满足多阶段飞行约束的优化方案,为该布局的进一步发展奠定了基础。

1 乘波体组合变体机翼布局总体方案设计方法

现有的几种典型跨速域飞行器布局设计思路可以归纳为以乘波体或升力体为基础向跨速域飞行进行扩展以及变体/组合飞行器布局34-35。其中,以乘波体为基础的跨速域扩展设计包含组合拼接乘波体、涡升力乘波体、乘波体-机翼组合以及变马赫数/激波角乘波体36-40。跨速域变体布局主要包含变后掠、伸缩翼等布局41。但是,现有布局普遍受限于较大的单体尺寸和不规则形状导致其不具备集群装载和发射的能力,向低成本和集群方向发展的潜力较弱。为解决这一问题,本研究提出了一种乘波体组合旋转伸缩翼的跨速域滑翔飞行器布局,该布局在保证平台本身具备较优气动性能的同时通过合理布置机翼和外包络约束限制可实现多机集群装载发射,具有较好的应用前景。

1.1 跨速域变构型滑翔飞行器任务规划

现代战场环境下,传统依赖卫星与地面雷达为远程武器提供制导的体系存在一定局限性:地球曲率遮挡、复杂地形干扰、强电磁对抗以及动态目标特性等因素,常导致末端打击精度下降42。跨速域飞行器通过陆海空多平台快速部署,利用其长时间滞空能力构建新型战场感知网络,可有效破解这一难题。这类飞行器搭载多光谱传感器与数据链系统,在目标区域实时获取动态情报,为远程打击武器提供持续精准的目标指引,显著提升复杂电磁环境下的打击效能。完成火力引导后,飞行器还能进行毁伤效果评估并反馈数据,形成完整的“侦察-打击-评估”作战闭环。其多任务扩展性更可支持独立执行电子干扰、战场通信中继等任务,与传统导航体系形成互补增强效应。
此外,跨速域飞行器在商业航天领域同样展现出变革性潜力。针对传统洲际运输工具时效性不足的痛点,跨速域变体滑翔飞行器开创了新型解决方案:通过运载火箭集群发射,多架飞行器在大气层边缘分离后展开高速滑翔,依托气动外形自适应变化,实现跨洲际高效运输。变体机翼系统使其能在常规机场完成水平降落,规避可回收火箭对专用着陆场的依赖。此外,这种“火箭助推+气动滑翔”的复合模式通过集群发射可以降低单次使用成本。
综上所述,跨速域变体滑翔飞行器在军事和商业领域都具有广阔的应用前景,相应的飞行剖面如图1所示。在军事领域,该飞行器需要具备全球快速抵达和长时滞空能力以完成侦察/监视/干扰等任务。在商业领域,该飞行器具备低成本、高效的跨洲际运输能力,满足快速、灵活的运输需求。因此,发展具备快速抵近和长时间滞空能力的跨速域变体滑翔飞行器具有重要的战略意义和应用价值。
图 1 跨速域变体滑翔飞行器任务剖面

Fig.1 Mission profile of cross-speed-range morphing glide vehicle

1.2 气动布局设计思路

在上述任务场景中,跨速域飞行器设计的一大难点在于单一布局无法兼顾高低速飞行的气动性能需求。低速飞行条件下,升力性能主要与机翼面积、机翼形状有关。在部分情况下,通过合理设计机身和机翼的相对位置及过渡形式可以产生明显的涡升力,通过涡流的有利干扰也可以进一步提高升力性能。低速飞行时主要的阻力来源是摩擦阻力和诱导阻力,为了减小摩擦阻力,常用的方法是提高飞行器表面光滑度,并通过延长层流区域范围和控制边界层分离减少湍流引起的摩擦阻力;对于降低诱导阻力,常用的方法是增大机翼的展弦比或设置翼梢小翼。在高超声速条件下,升力性能主要与水平投影面积、飞行器形状、高压区的分布情况有关。高超声速阶段的阻力主要由激波阻力和摩擦阻力构成。减小激波阻力的主要方式是采用乘波体布局,乘波体布局通过合理设计机身几何形状可以使激波紧密附着在飞行器下表面,从而在飞行器下表面产生高压区,尽可能增加升力并减少激波阻力,另外边缘锐化也可以减小激波阻力。
通过梳理不同速度条件下气动性能的主要影响因素,可以看出低速和高超声速阶段对飞行器布局的需求存在明显差异。为了在低速条件下达到较好的气动性能,需要飞行器具备较大的展弦比,细长的机身;而为了在高超声速条件下达到较好的气动性能则需要飞行器具备足够的水平投影面积以及类似于乘波体的机身形状。
由上述分析启发,可以采用乘波体组合变体机翼的形式提高飞行器的跨速域飞行能力。由于本研究中的飞行器再入高速阶段会面临严酷的气动热环境,因此必须将机翼作内埋式处理,否则机翼曲面形状易被破坏,导致低速性能急剧下降甚至影响飞行安全。由此,可排除X形折叠式布局和类似的变上反布局,X形折叠式布局中机翼位于机身四周,在高速飞行阶段无法避免被高温高速气流烧蚀,因此不适合用于该场景。变上反布局无法实现机翼内埋的效果,无法规避高超声速带来的机翼烧蚀问题,也不适用于本研究的任务场景。面内变体方面,目前比较典型的面内变体方案有串列折叠翼、变后掠折叠翼和旋转伸缩翼。3种典型构型展示在图2中,其中串列折叠翼布局的翼面积较小,主要原因在于乘波体下表面为上斜曲面,导致机翼的装载空间受限,无法发挥多机翼的面积优势。此外,串列折叠翼在折叠状态侵占了大量机身内部空间,导致飞行器的内部空间利用率极低,实用性较差。变后掠折叠翼布局采用上下机翼叠放的形式,围绕机身前方或者后方的转轴旋转,可以根据飞行速度灵活调整后掠角实现更优的气动性能。但是,该布局在焦点配置方面难度较大,主要原因在于机翼绕端部旋转,若绕前端转轴旋转则在低速飞行的小后掠角状态存在焦点过于靠前的问题,若绕后端转轴旋转存在焦点过于靠后的问题,在配平和控制方面存在较大困难。一字旋转伸缩翼布局围绕机翼中部转轴旋转,并且在主机翼内部嵌套伸缩机翼,可以在低速飞行阶段进一步增大机翼面积以提高低速滑翔性能。该布局的优势在于折叠状态机翼占据空间较小,并且和乘波体的长机身,上斜底面和水平上表面特征实现良好匹配,充分提高乘波体机身内部的空间利用率。目前,旋转伸缩机翼内部结构已有较为成熟的方案43,主机翼内部通过翼梁和翼肋加强,外段机翼通过与主机翼的搭接面传递弯矩,整体结构一体化程度较高,具备较强的工程可实现性。
图 2 典型面内变体布局形式

Fig.2 Typical in-plane morphing configuration layout

乘波体组合旋转伸缩翼布局可以满足多机集群装载的可能性,其完整的构型切换流程如图3所示。本研究采用密切锥乘波体设计方法设计机身外形,密切锥设计方法由给定的激波出口形状拟合流场,进而生成乘波体外形。在课题组的前述研究中,已经对该部分内容进行了详细描述,具体可参考文献[44]中的内容。
图 3 跨速域变体滑翔飞行器构型切换示意图

Fig.3 Schematic diagram of configuration switching for cross-speed-range morphing gliding vehicle

1.3 基于多阶段再入飞行走廊的总体参数评估方法

跨速域变体滑翔飞行器与常规巡航类飞行器相比,没有典型的设计状态点,在总体参数评估的过程中,无法通过单一飞行状态来确定飞行器的关键参数。对于本研究所提出的飞行器布局而言,存在3种基本构型,目前的总体设计方法很难用一种统一的方式对所有飞行工况和飞行状态进行完整评估从而确定飞行器的总体参数。为此,本研究提出一种基于多阶段再入走廊分析的总体参数评估方法。再入走廊结合了过载约束、热流密度约束、动压约束以及准平衡滑翔软约束,形成了随高度变化的速度可行区域。通过分析各约束条件下的速度曲线,可以判断飞行器在不同阶段是否能够满足构型切换条件,并由此评估飞行器的总体参数。
通常,对于再入滑翔飞行器而言,根据任务指标可以大致确定其总质量范围。如果飞行器布局一致,则其升阻力性能也相似。通过调节飞行器的参考面积,可以对再入走廊进行评估,进而选择合适的参考面积范围,以保证飞行器由高速构型切换至低速构型的可行性。本研究共选取3种飞行过程硬约束和一种飞行过程软约束作为构建再入飞行走廊的基础,分别是过载约束、热流密度约束、动压约束和准平衡滑翔软约束。
过载约束用于限制飞行器在再入过程中所承受的过载。过载约束限制了飞行器的最大过载,确保飞行器结构能够承受再入过程中产生的气动载荷,计算公式为
n = L W = C L 1 2 ρ V 2 S m g
式中:L为升力;W为重力;CL 为升力系数;ρ为空气密度;V为真实空速;S为机翼参考面积;m为飞行器质量;g为重力加速度。
再入过程中飞行器的热流密度是飞行器结构设计中的重要约束条件。热流密度约束用于限制飞行器再入过程中表面所承受的气动加热,防止飞行器外壳过热,热流密度约束计算公式为
Q = K Q ρ 0.5 V 3
式中:KQ 为热流系数。
动压约束用于限制再入过程中飞行器所承受的动压,避免气动压力超过结构设计极限。动压约束主要影响飞行器的速度上限,确保飞行器在高动态压强下不发生结构损坏,动压约束计算公式为
q = 1 2 ρ V 2
准平衡滑翔约束用于描述飞行器在滑翔飞行阶段的可行速度范围。准平衡滑翔条件下,飞行器的升力与重力平衡,飞行状态相对稳定。其基本方程为
L = W C L 1 2 ρ V 2 S = m g
式中:升力系数与飞行器的攻角、速度、高度有关,通常采用攻角-速度曲线控制飞行器的攻角进而控制飞行器的升力系数。各约束定义如表1所示。
表1 不同构型飞行过程约束

Table 1 Constraints during flight processes of different configurations

飞行器构型 过载 最大动压/kPa 最大热流密度/(kW∙m-2
乘波体构型 58 150 2 000
小展弦比构型 23 10 1 000
大展弦比构型 23 5 500
通过计算多阶段飞行走廊,可以获取飞行器的交接区范围,通过拟合参考面积和总质量与交接区范围的关系,即可直观反映总体参数对于飞行器设计裕度的影响。
设定交接指标为指定高度范围的平均可行速度,平均可行速度范围越大,代表着两阶段的交接范围越大,也就意味着飞行器的设计裕度更大。具体而言,由于乘波体的水平投影面积低于小展弦比构型,因此当总质量过大时乘波体构型容易打破准平衡滑翔约束,导致其无法在指定高度区间内减速至指定速度范围,进而导致小展弦比构型不满足状态切换条件。当速度过大时,对于小展弦比构型而言动压过大,容易导致机翼结构受损,因此乘波体构型的速度下界是否能够低于小展弦比构型的速度上界决定了构型切换的可能性。
根据图4可以看出,线性坐标轴无法清晰直观地体现分阶段再入飞行走廊的情况,由于乘波体再入阶段跨越较大的速度和高度范围,而2种亚声速飞行构型的速度和高度范围较小,因此使用线性坐标轴会使得乘波体构型飞行区间占据较大图示空间,无法细致观察到2种亚声速构型的再入走廊约束情况。为此,提出一种H-lgV再入走廊如图5所示,对横轴的速度取对数后,可以平衡不同阶段的速度范围差异,从而更清晰地表示出各构型的飞行约束特点。图中,红色部分为乘波体构型的再入飞行走廊,相同高度的速度下界为准平衡滑翔约束,上界同时受到热流密度、过载和动压的约束;小展弦比和大展弦比构型的速度下界同样为准平衡滑翔约束,速度上界仅受过载约束,此时热流密度和动压不再是飞行器滑翔速度的主要约束条件。图中黄色区域为构型切换的交接区域,海拔高度为18~22 km为乘波体与小展弦比构型变换的交接范围;高度8~12 km为小展弦比与大展弦比构型变换的交接范围。采用平均交接速度范围作为总体参数可行性评价指标,从而对总体参数进行评估。再入过程构型切换区间平均速度范围如图6所示。
图 4 多阶段再入飞行走廊(速度线性坐标轴)

Fig.4 Multi-stage reentry flight corridor (linear velocity axis)

图 5 多阶段再入飞行走廊(速度对数坐标轴)

Fig.5 Multi-stage reentry flight corridor (logarithmic velocity axis)

图 6 再入过程构型切换区间平均速度范围

Fig.6 Average speed range during configuration switching intervals in reentry process

1.4 乘波体尾部整流罩宽速域设计优化

通常,乘波体飞行器在高超声速阶段尾部阻力占比较小,但是在亚声速阶段,飞行器尾部会出现大范围流动分离,导致尾部阻力显著增加,严重影响低速段的气动效率。本研究以一款总长2 m的乘波体作为研究对象,取马赫数为0.3的飞行状态进行全机气动力分析(见图7),乘波体底阻在小攻角占比超过60%,为了提高亚声速阶段的气动性能,机身尾部整流罩的优化设计成为设计环节的关键之一。
图 7 亚声速状态(Ma=0.3)全机各部件气动力

Fig.7 Aerodynamic forces on all components of aircraft in subsonic conditions (Ma=0.3)

对于滑翔类飞行器,为解决乘波体机身在低速飞行阶段底阻过大严重影响整机气动性能的问题,可采取尾部加装整流罩的方式降低底阻。本研究中,尾部整流罩参数化方式如图8所示,通过截取尾部特定平面进行平移、缩放和样条线平滑控制实现尾部整流罩的参数化。尾部整流罩总长度设置为0.3 m, x 1 x 2为控制尾部平面的水平缩放和纵向缩放因子, x 3控制上下平移距离, x 4 x 5 x 6控制上引导线、侧引导线和下引导线起点位置的张度。乘波体尾部整流罩的宽速域优化方法细节可参考课题组内的相关研究45
图 8 机身尾部整流罩参数化方法

Fig.8 Parametrization method for fuselage tail fairing

1.5 伸缩机翼全局-梯度两阶段优化策略

在伸缩机翼的优化过程中,本研究采用全局-梯度两阶段优化策略,将基于代理模型的全局优化与基于离散-伴随的梯度优化相结合,完整优化流程如图9所示。
图 9 伸缩机翼优化流程

TMFEI—Time Aware Multi Fidelity Expected Improvement;RBF-RFI—Radial Basis Function-Radial Function Interpolation;SLSQP—Sequential Least Squares Programming

Fig.9 Optimization process of telescopic wing

第1阶段为全局优化阶段,通过构建多保真度代理模型结合考虑多源模型时间成本的多保真度代理模型优化方法(TMFEI)45对目标函数进行寻优,高效探索设计空间,找到性能较优的初始方案,同时避免直接优化高维复杂问题时可能出现的计算代价过高或陷入局部最优解的风险。
第2阶段为梯度优化,采用基于离散-伴随的梯度优化方法,以第一阶段获得的全局优化结果作为初始构型,进一步对机翼进行精细优化。梯度优化阶段可专注于基于初始解的精细化调整,进一步提升设计精度和优化效果。该策略兼顾了全局搜索能力与局部调整能力,可以有效提高优化效率和优化质量。
在本文的任务背景中,滑翔时间与任务能力密切相关。滑翔时间越长,飞行器在执行侦察、监视和干扰等任务时的持续工作能力越强。因此,本文的优化任务重点聚焦于延长低速阶段的滑翔时间,以进一步增强飞行器的任务效能。若要使飞行器的滑翔时间最大,则要求飞行过程中的下滑率最小,将下滑率记为 h ˙ s。通常, h ˙表示爬升率,因此 h ˙ s = - h ˙,则下滑率的表达式为
h ˙ s = - V γ = D V W = 2 W ρ S C L C D C L = 2 W ρ S C D C L 3 / 2
式中:Vγ 为爬升速度;D为空气阻力;V为真实空速;CL 为升力系数;CD 为阻力系数; D V代表了维持滑行的需用功率 P R。由式(5)可知,当 C L 3 / 2 / C D最大时,滑翔时间最久,将 C L 3 / 2 / C D定义为久航因子。
全局优化目的是同时提高小展弦比构型与大展弦比构型的久航因子。将主机翼在高亚声速状态(海拔20 km,马赫数0.75)的久航因子定义为 J s u b ,   m a i n,将大展弦比机翼在低速状态(海拔10 km,马赫数0.3)的久航因子定义为 J s u b ,   f u l l
优化目标函数为
m a x F g l o b a l = w 1 J s u b ,   m a i n + w 2 J s u b ,   f u l l
式中: w 1 w 2分别为主机翼和完整机翼的优化权重,本研究中均设置为0.5。
优化约束主要包含升力系数约束和几何约束。升力系数约束要求优化主机翼的过程中升力系数不低于0.3(等效于海拔高度20 km、马赫数0.75条件下机翼升力达到70%的总质量),优化完整机翼的过程中升力系数不低于0.55(等效于在海拔高度10 km、马赫数0.3条件下机翼升力达到70%的总质量)。几何约束需要保证伸缩机翼在满足合理的嵌套关系的基础上主机翼厚度不低于10%,外段机翼厚度不低于5%以保证机翼的结构强度和内部设备的布置。
在第2阶段,采用伴随优化方法对全局优化结果进行精细调整。设定离散伴随优化的目标为提高大展弦比机翼在低速阶段的久航因子,因此优化目标为
m a x F l o c a l = J s u b ,   f u l l
计算条件为高度10 km、马赫数0.3,同样的,优化过程中需要满足升力约束和几何约束,升力约束要求升力系数不低于0.55,几何约束需要保证伸缩机翼在满足合理的嵌套关系的基础上主机翼厚度>10%,外段机翼厚度>5%以保证机翼的结构强度和内部设备的布置。两阶段优化的结果如图10所示。
图 10 变体机翼两阶段优化结果

Fig.10 Two-stage optimization results of morphing wing

2 宽速域气动性能分析

为了分析乘波体组合旋转伸缩翼布局气动性能,对比分析了优化构型和原始构型,如图11所示。其中,原始构型的主机翼为NACA0012,外段机翼为NACA0009。优化构型与原始构型共用相同的乘波体机身,其外形差别主要在于优化构型采用了优化后的尾部整流罩和机翼。乘波体尾部整流罩的优化目标为马赫数0.3(海拔10 km),马赫数2(海拔高度20 km),马赫数6(海拔30 km),攻角为0°和4°条件下升阻比平均加权值最大。变体机翼第1阶段全局优化目标为最大化大展弦比机翼(海拔20 km,马赫数0.75)和小展弦比机翼(海拔10 km,马赫数0.3)的久航因子,第2阶段梯度优化目标为最大化大展弦比机翼低速阶段(海拔10 km,马赫数0.3)的久航因子。乘波体尾部整流罩的优化作用是提升飞行器的航程,变体机翼的优化作用为提升飞行器亚声速阶段的留空时间。
图 11 原始构型与优化构型对比

Fig.11 Comparison between original and optimized configurations

2.1 乘波体构型气动性能

针对典型高超声速状态(Ma=6)的流场进行了研究,其流场如图12所示。从图中可以看出,乘波体机身配合优化后的整流罩在高超声速条件下表现出良好的乘波特性,依托激波附着的设计理念,充分利用激波产生的高压区域来提升升力性能。此外,为进一步评估整流罩对气动性能的影响,将优化整流罩和无整流罩构型的气动性能进行对比如图13所示。结果表明,优化整流罩的乘波体在高超声速阶段的气动性能显著优于无整流罩构型。其中,最大升阻比提升了11%,从无整流罩的3.8提高至4.2。
图 12 乘波体构型流场云图

Fig.12 Flow field contour of waverider configuration

图 13 乘波体构型纵向气动性能

Fig.13 Longitudinal aerodynamic performance of waverider configuration

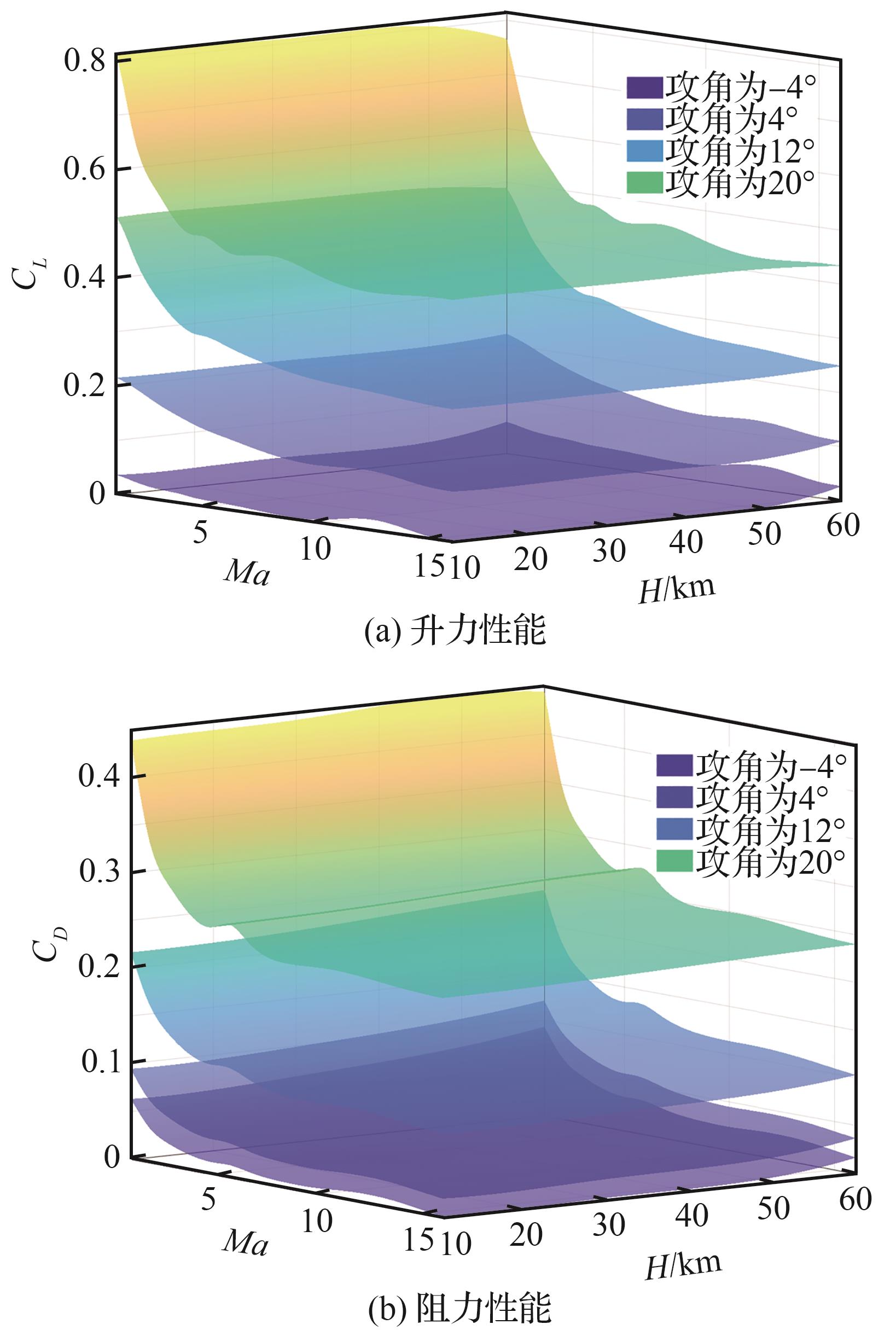
对乘波体宽速域的气动性能进行建模分析,升阻力系数在不同马赫数和迎角下的变化趋势分别展示于图14中。从图中可以看出,当马赫数超过5后,升力和阻力性能均表现出明显的“马赫无关性”效应。此外,随着攻角的增大,气动力系数的变化表现出一定的非线性特征。具体而言,升力系数和阻力系数随攻角增幅逐渐变大。这种非线性现象反映出高攻角下激波强度的提高,从而对气动特性产生更复杂的影响。从海拔高度的影响来看,升力性能受高度变化的影响较小,这主要是由于升力的产生主要依赖于乘波体机身的激波附着特性,在不同高度下流场压力的比例关系比较接近。而阻力性能则随海拔高度的增加略有上升,这与高空环境中气流稀薄导致的黏性阻力占比增加有关。
图 14 乘波体构型宽速域气动性能

Fig.14 Wide-speed-range aerodynamic performance of waverider configuration

2.2 小展弦比构型气动性能

小展弦比构型的流场云图如图15所示。加装尾整流罩后,气流能够平滑地沿尾部表面流动,未出现明显的分离现象。
图 15 小展弦比构型流场云图

Fig.15 Flow field contour of low-aspect-ratio configuration

图16中各部件的升阻比曲线以及久航因子曲线可以看出,飞行器整体的升阻比和滑翔性能提升明显。与未加装尾整流罩的构型相比,在攻角分别为-4°、0°和4°时,升阻比分别提升了328.6%、145.3%和95.4%,优化后的整机最大升阻比达到了8.4,最大久航因子达到了5.56。尾整流罩的优化和变体机翼的优化对飞行器整体气动性能起到较大改善,尤其是在较小攻角范围内效果更为突出。另外,机翼的升阻比性能也有提升,在0°攻角,小展弦比构型的机翼升阻比相比原始构型提升了58.8%。进一步分析图17中小展弦比构型各部件的阻力分布可以发现,飞行器尾部阻力占比明显降低,尤其是在攻角为0°和4°时表现尤为明显。当攻角为0°时,尾部阻力占比降至39.9%,而攻角为4°时降至22.4%,分别较未加装尾部整流罩的构型减少了21.29%和19.6%。
图 16 小展弦比构型纵向气动性能

Fig.16 Longitudinal aerodynamic performance of low-aspect-ratio configuration

图 17 小展弦比构型各部件阻力系数占比

Fig.17 Drag coefficient contributions of components for low-aspect-ratio configuration

2.3 大展弦比构型气动性能

图18展示了大展弦比构型在加装尾整流罩后的压力系数分布和流线图。从图中可以看出,尾整流罩有效实现了尾部气流的整流,使气流能够平稳经过机身尾部,减少了尾部的气流分离现象。
图 18 大展弦比构型流场云图

Fig.18 Flow field contour of high-aspect-ratio configuration

图19中各部件的升阻比曲线和久航因子曲线可以看出,优化整流罩以及优化变体机翼提升了飞行器的整体升阻比。与未加装尾整流罩的原始构型相比,在攻角为-4°、0°和4°时,整体升阻比分别提高了357.3%、133.3%和70.1%。其中,在攻角为0°和4°时,整体升阻比分别达到了14.1和12.8,整机最大升阻比达到了14.2,最大久航因子达到了12.5。此外,大展弦比构型0°攻角机翼升阻比相比原始构型也提升了21%。可以看出整流罩和机翼优化对大展弦比构型的气动性能改善效果比较明显,特别是在小攻角范围内,升阻比和久航因子的改善最为突出。进一步分析图20中大展弦比构型各部件的阻力占比,可以发现,尾整流罩的加入降低了尾部阻力。在攻角为0°时,尾部阻力占比降低至40.55%,在攻角为4°时尾部阻力占比降至27.2%,分别比未加装整流罩的构型减少了23.9%和21.16%。综上所述,整流罩和机翼优化对大展弦比构型的气动性能提升效果比较明显,同时提升了整体升阻比和久航因子。
图 19 大展弦比构型纵向气动性能

Fig.19 Longitudinal aerodynamic performance of high-aspect-ratio configuration

图 20 大展弦比构型各部件阻力系数占比

Fig.20 Drag coefficient contributions of components for high-aspect-ratio configuration

2.4 舵面配置方案及稳定性分析

为了提高飞行器的操纵效率,需要配置舵面以提高其姿态控制能力,完整的舵面配置方案如图21所示。舵面控制思路为在乘波体构型和小展弦比构型中,使用舵面1作为升降副翼控制飞行器的俯仰和滚转,在大展弦比构型中为了提高横向控制能力,使用外段机翼上的舵面2控制滚转,该状态下舵面1仅作为升降舵控制飞行器俯仰。在集群装载状态下,舵面1折叠于整流罩内部,飞行器释放后舵面1从整流罩中展开。
图 21 乘波体组合变体机翼布局舵面配置方案

Fig.21 Rudder configuration scheme of waverider-integrated morphing wing layout

对飞行器3种构型的典型状态开展稳定性分析,再入滑翔飞行器为了提高机动性能,降低舵面负载,可以将静稳定度要求适当放宽。本文采取俯仰中立稳定设计策略,图22给出了3种构型的纵向俯仰力矩曲线。其中,乘波体构型的重心位置设定为机身总长(考虑整流罩长度)的54.2%,计算条件为海拔30 km、马赫数6;小展弦比构型由于机翼展开后影响了焦点位置,需要小幅调整重心位置以提高飞行器的俯仰配平性能,经过计算分析后,重心略微向前移动,重心位置为机身总长的52.9%,计算条件为海拔20 km、马赫数0.75;大展弦比构型机翼面积进一步增加,为了实现更好的配平性能,重心继续向前小幅移动,重心位置为机身总长的52.1%,计算条件为海拔10 km、马赫数0.3。计算过程中纵向参考长度为机身总长(考虑整流罩长度),参考面积统一为乘波体机身的水平投影面积。
图 22 3种构型典型状态俯仰力矩系数曲线

Fig.22 Pitching moment coefficient curves for three typical configurations

3 多阶段融合任务能力评估方法

对于跨速域再入飞行器的飞行性能,仅从气动性能的角度分析只能反映其在理想条件下的最佳状态,但并不能全面体现其实际任务能力。相比之下,结合多阶段交班点约束的可达性能以及侦察区域预测,更能贴合该飞行器的实际任务场景,从而对其任务能力形成更加直观和全面的认识,为设计优化和任务规划提供更有力的支撑。

3.1 多阶段融合可达边界预测

本研究提出的飞行器具有多状态、多阶段飞行特征。由于乘波体构型飞行速度快,其航程占比最大,约占总航程的98%,因此乘波体构型基本上决定了飞行器的可达边界。考虑到本研究中飞行器的任务特点为亚声速长时间驻空,本研究设计了如图23所示的飞行器侦察区域预测方法。由于各阶段存在明确的交班点约束,可以分阶段逐步完成求解。首先,对于乘波体构型,通过轨迹优化方法分别求解最大航程(即直线飞行的经度跨度)以及固定不同经度条件下的可达纬度边界,从而确定乘波体构型的整体可达区域。在乘波体构型的可达边界基础上,针对小展弦比构型,沿乘波体构型原轨迹切线方向求解其最大飞行距离,进而获得小展弦比构型的最大可达边界。接着,在小展弦比构型的可达边界基础上,考虑大展弦比构型的任务特征,以盘旋周期不低于1圈为约束,确定大展弦比构型的盘旋覆盖区域。最终,通过计算大展弦比盘旋航线的外切圆,即可得出飞行器的侦察监视区域边界。
图 23 飞行器可达任务区域求解流程

Fig.23 Solution process for vehicle reachable mission area

飞行器再入问题可以描述为一个典型的最优控制问题。其数学模型包括动力学方程、边界条件、约束条件以及目标函数。
假设地球为均匀圆球,并且不考虑地球的自转。飞行器的运动受气动力、重力等作用力的影响,其飞行状态可定义为 x = [ r , λ , ϕ , v , γ , ψ ],其中, r为飞行器距离地心的半径; λ为经度; ϕ为纬度; v为速度; γ为飞行路径角(弹道倾角); ψ为航向角; σ为滚转角。重力加速度模型为 g = μ / r 2,其中, μ为引力常数, r为地心距离。飞行器的总质量设定为100 kg,经纬高体系下再入飞行器无动力滑翔动力学方程为
r ˙ = v s i n γ λ ˙ = v c o s γ s i n ψ r c o s ϕ ϕ ˙ = v c o s γ c o s ψ r v ˙ = - D - g s i n γ γ ˙ = L c o s σ v - g c o s γ v + v c o s γ r ψ ˙ = L s i n σ v c o s γ + v c o s γ s i n ψ t a n ϕ r
初始再入条件及再入边界约束如表2所示,再入过程控制量约束如表3所示。再入飞行器轨迹优化作为典型的最优控制问题,其复杂性在于高度非线性的微分代数方程组与多类型约束(包含状态路径约束、终端精度约束及控制量饱和约束)的耦合作用。本研究采用hp-RPM构建求解框架,通过Legendre-Gauss-Radau(LGR)配点将连续最优控制问题离散为稀疏结构的非线性规划问题。相较于需解析求解协态方程的间接法,该方法通过分段拉格朗日插值多项式实现在各时域子区间内状态与控制变量的参数化,状态量采用p阶多项式近似,控制量则降阶为p-1阶多项式,通过微分矩阵将动力学方程转化为代数约束,有效规避了间接法面临的协态初值敏感性问题。为实现计算精度与效率的平衡,hp-RPM引入基于相对残差的误差估计机制:当局部误差超过阈值时,对非光滑区域(如约束激活点)实施网格细分(h-refinement),而对高曲率光滑区段则提升插值阶次(p-refinement)。数值求解采用SNOPT优化器,其结合序列二次规划(SQP)与拟牛顿法的混合策略,配合稀疏矩阵处理技术,可有效提升大规模非线性规划问题的求解效率,算法流程如图24所示。
表2 初始再入条件及再入边界约束

Table 2 Initial reentry conditions and reentry boundary constraints

边界条件 指标
再入高度/km 60
再入速度/(m·s-1 5 500
乘波体构型法向过载 58
小展弦比及大展弦比构型法向过载 23
再入构型最大动压/kPa 150
小展弦比构型最大动压/kPa 10
大展弦比构型最大动压/kPa 5
第1交班点高度/km 20
第1交班点速度上限/(m·s-1 220
第1交班点航向倾角/(°) 0
第2交班点高度/km 10
第2交班点速度上限/(m·s-1 90
第2交班点航向倾角/(°) 0
表3 再入过程控制量约束

Table 3 Control constraints during reentry process

控制量 指标
攻角/(°) 1020
乘波体构型攻角变化率/((°)·s-1 [-5,5]
小展弦比及大展弦比构型攻角变化率/((°)·s-1 [-10,10]
滚转角/(°) [-30,30]
乘波体构型滚转角变化率/((°)·s-1 [-10,10]
小展弦比及大展弦比构型滚转角变化率/((°)·s-1 [-15,15]
图 24 hp-RPM算法流程

Fig.24 hp-RPM algorithm flowchart

为了直观比较基于hp-RPM获得的可达域边界效果,采用改进的常值滚转角控制方法作为对比:在初始再入段,由于飞行器速度较大(超过5 000 m/s),滚转角被设定为0°,此时飞行器保持无侧向偏转的飞行状态;当速度降低至5 000 m/s以下时,进入中后段飞行,滚转角被设定为不同的常值以引导飞行器偏转。通过滚转角的调整,飞行器能够逐步改变偏航角,从而实现控制航向的目的。当偏航角达到预定值后,将滚转角重新置为0°,此时飞行器沿预定航向继续飞行,直至到达指定高度停止。将采用改进的常值滚转角控制策略得到的可达域定义为原始可达域,并与采用hp-RPM方法优化得到的优化可达域进行对比。通过对比分析(如图25所示),可以清晰地观察到,hp-RPM方法在原始可达域的基础上进一步优化了飞行器的轨迹分布,使其在覆盖范围和目标区域到达能力上表现更优。在无滚转条件下,通过优化攻角控制剖面,优化轨迹的最大经度范围提升了7.47%,表明优化方法在提升飞行器最大航程方面具有比较明显的效果。在最大横程方面,优化轨迹通过引入回旋动作实现了更大的可达范围。这主要是因为在再入初期,飞行器受到过载和热流密度的严格约束,无法执行大角度转弯。因此,在初始阶段以较小转弯幅度维持飞行轨迹,而当速度降低至约束条件允许范围后,通过大角度回旋进一步扩大再入范围。
图 25 原始可达域与优化可达域对比(乘波体再入阶段)

Fig.25 Comparison of original and optimized reachable domains (waverider reentry phase)

融合三阶段的飞行器再入可达域和监视域如图26所示。从图中可以看出,高超声速阶段的再入可达域基本决定了飞行器的监视范围,其远端经度可达95°,远端纬度可达50°,再入可达域的范围为监视任务规划奠定了基础。
图 26 再入可达域及监视域计算结果

Fig.26 Reentry reachable domain and surveillance domain calculation results

3.2 跨速域变构型滑翔飞行器任务能力评估方法

通过3.1节的研究可以看出,本研究所提出的构型,其飞行边界主要由乘波体构型的飞行距离决定。根据1.1节中的任务规划,该飞行器主要特点为快速抵近与长时间滞空,因此其留空时间能力属于任务性能的重要方面。
为了获取飞行器完整任务能力,将乘波体构型的轨迹优化目标设置为最大航程,将亚声速小展弦比/大展弦比构型的轨迹优化目标设置为最久滑翔。
通过轨迹优化,本研究探索出适用于跨速域变体滑翔飞行器的俯冲-跃升减速策略。这种减速方式具有更高的效率,同时对航程的影响较小。与传统的无跳跃拉起减速方式相比,采用俯冲-拉起减速的飞行轨迹可以小幅增加滑翔距离,更为关键的是,这种方式能进一步提高飞行器的载重能力。在飞行器初步设计过程中,以准平衡滑翔条件作为总体参数设计约束,可以确保飞行器在各交接区域顺利完成任务。然而,如果在再入末期采用俯冲-拉起减速方案,通过提前下探一定高度并在拉起过程中完成减速,飞行器能够在指定高度范围内将速度降低至亚声速约束要求。由于俯冲-拉起方式的减速能力更强,这不仅使飞行器能够更高效地满足速度约束,还能够携带更重的载荷。以再入类滑翔飞行器典型攻角控制策略46作为对比,保持再入过程的初始状态、约束条件与控制量边界一致,构建同条件对比分析。在固定攻角剖面控制策略下,飞行器的最大总质量受限于再入段的减速能力,当总质量超过165 kg后无法在规定高度内实现减速任务。而采用俯冲-跃升策略后,可突破传统滑翔构型的高度软约束,实现更大的最大可承载质量。若将下探高度限制为5 km,最大总质量可提升至204 kg,相较于传统策略提升了23.6%;若将下探高度限制放宽至10 km,最大总质量进一步提升至340 kg,已超过亚声速阶段小展弦比构型的升重配平能力。
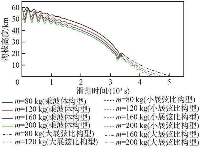
此外,本文对比了采用俯冲-跃升减速策略不同总质量条件下飞行器的滑翔轨迹,分2种情况进行讨论,分别是明确第2交班点高度(小展弦比构型切换为大展弦比构型)为10 km和取消第2交班点高度约束。明确交班点高度约束的轨迹优化结果如图27所示。其中,根据任务场景设定和各构型的优势,将乘波体构型的轨迹优化目标设定为最远滑翔距离,将小展弦比和大展弦比构型的轨迹优化目标设定为最久滑翔时间。可以看到,随着总质量增加,飞行器的滑翔时间逐渐缩短。根据表4,以总质量200 kg为例,其在第1阶段的滑翔时间相比总质量80 kg的情况降低了2.7%,在第2阶段和第3阶段的滑翔时间分别降低了32.3%和35.5%。计算结果表明亚声速构型对总质量的变化更为敏感,这主要是因为亚声速构型在偏离设计点状态的气动性能会显著下降,从而导致久航性能随总质量变化而变化。相比之下,终点经度范围受总质量的影响较小,总质量变化引起的终点经度波动范围在1%以内。
图 27 不同总质量飞行器滑翔高度-时间曲线(第2交班点高度为10 km)

Fig.27 Glide altitude-time curves for vehicles with different total weights (second handover altitude is 10 km)

表4 不同总质量对应的滑翔时间和终点经度(第2交班点高度为10 km)

Table 4 Glide time and terminal longitude corresponding to different total weights (second handover altitude is 10 km)

总质量/kg 乘波体构型滑翔时间/s 小展弦比构型滑翔时间/s 大展弦比构型滑翔时间/s 亚声速总滑翔时间/s 终点经度/(°)
80 3 412 628 1 055 1 683 95.97
120 3 372 528 872 1 400 96.09
160 3 341 468 761 1 229 96.06
200 3 319 425 680 1 105 96.01
亚声速阶段小展弦比和大展弦比构型均可在海拔高度20 km以下飞行,主要约束差异在于动压和过载约束,因此可以放宽小展弦比和大展弦比构型的交班点约束条件,取消亚声速阶段10 km高度处的第二交班点高度约束。仍然将乘波体构型的轨迹优化目标设定为最远滑翔距离,将小展弦比和大展弦比构型的轨迹优化目标设定为最久滑翔时间,开展联合轨迹优化。根据图28表5可以发现进入亚声速阶段后,小展弦比构型维持时间明显缩短,此时,飞行器提早切换为大展弦比构型,以实现长时间滑翔。融合小展弦比和大展弦比构型开展轨迹优化后,小展弦比飞行的主要作用转变为降低飞行速度,一旦飞行速度降低至大展弦比构型的速度上限后飞行器转为大展弦比构型滑翔。该策略下,亚声速滑翔时间可大幅增加,若总质量为80 kg,亚声速滑翔时间可以达到50 min以上;即使总质量达到200 kg,依然可以实现30 min以上的亚声速滑翔时间。通过亚声速最久航时轨迹优化,证明了该飞行器在任务区域的长时间工作能力。同时也证明了飞行器的载荷能力适应性,得益于较大的总质量可行范围,该飞行器可根据任务需求搭载不同的载荷模块。
图 28 不同总质量飞行器滑翔高度-时间曲线(第2交班点无高度约束)

Fig.28 Glide altitude-time curves for vehicles with different total weights (no altitude constraint at the second handover point)

表5 不同总质量对应的滑翔时间和终点经度(第2交班点无高度约束)

Table 5 Glide time and terminal longitude corresponding to different total weights (no altitude constraint at the second handover point)

总质量/kg 乘波体构型滑翔时间/s 小展弦比构型滑翔时间/s 大展弦比构型滑翔时间/s 亚声速总滑翔时间/s 终点经度/(°)
80 3 412 107 3 099 3 206 95.83
120 3 372 104 2 504 2 608 95.97
160 3 341 106 2 111 2 217 95.85
200 3 319 105 1 984 2 089 95.81

4 结论

面向快速抵近和长时滞空的跨速域飞行需求,本研究提出一种具备集群装载发射能力的乘波体组合旋转伸缩翼跨速域滑翔飞行器构型,围绕该布局建立了完整的总体参数评估、气动外形优化和任务能力评估框架,取得了如下结论:
1) 采用乘波体组合旋转伸缩翼的布局形式解决了高低速飞行条件对飞行器气动性能需求的矛盾。围绕该布局建立了完整的设计、优化和性能评估框架,能够实现跨速域变体飞行器任务需求到设计性能的完整闭环,验证了布局的可行性和任务价值。
2) 提出适用于乘波体组合变体机翼布局的尾部整流罩及变体机翼优化思路,优化后的尾部整流罩可大幅降低亚声速阶段的飞行阻力,通过全局-梯度两阶段优化策略可以实现伸缩翼(满足嵌套关系)的气动性能提升,针对变体机翼关键结构和机构的小型化问题,本研究提出了一套完整的结构和机构实现方案,具备较高的可实现性。
3) 建立了一种跨速域变体滑翔飞行器任务能力评估方法,搭建跨速域变体滑翔飞行器多阶段可达域和监视能力的求解框架,探索出适用于跨速域变体滑翔飞行器的再入过程俯冲-跃升减速策略,可在不改变布局的情况下突破乘波体构型的准平衡滑翔软约束,将飞行器的总质量能力提升一倍以上,大幅提升跨速域飞行器的任务能力。
本文为乘波体组合变体机翼布局飞行器的应用奠定了一定的理论基础。该飞行器距离实际应用仍存在一定技术挑战,需在多状态控制律设计及状态切换过程控制策略方面开展深入研究:重点解决构型切换过程中的动态稳定性问题,开发适用于多构型切换的智能控制算法,并优化切换时机和策略,以确保飞行器在各构型间平稳过渡并提升整体性能。
[1]
曲智国, 林强, 费太勇, 等. 美国高超声速武器发展与防御[J]. 战术导弹技术2023(2): 39-45.

QU Z G LIN Q FEI T Y, et al. Development and defense of American hypersonic weapon[J]. Tactical Missile Technology2023(2): 39-45 (in Chinese).

[2]
汪丰麟, 朱启超, 张杰. 俄罗斯高超声速武器发展简析[J]. 国防科技202142(3): 57-64.

WANG F L ZHU Q C ZHANG J. The development history of Russian hypersonic weapons[J]. National Defense Technology202142(3): 57-64 (in Chinese).

[3]
HAN Z H QIAO J L ZHANG L W, et al. Recent progress of efficient low-boom design and optimization methods[J]. Progress in Aerospace Sciences2024146: 101007.

[4]
HILTON S SABATINI R GARDI A, et al. Space traffic management: Towards safe and unsegregated space transport operations[J]. Progress in Aerospace Sciences2019105: 98-125.

[5]
ZHAO Z T HUANG W YAN L, et al. An overview of research on wide-speed range waverider configuration[J]. Progress in Aerospace Sciences2020113: 100606.

[6]
LI Z H JIANG C W HU S Y, et al. Leading-edge cone method for waverider design[J]. AIAA Journal202361(6): 2331-2346.

[7]
ZHANG T T WANG Z G HUANG W, et al. A design approach of wide-speed-range vehicles based on the cone-derived theory[J]. Aerospace Science and Technology201771: 42-51.

[8]
ZHAO Z T HUANG W LI S B, et al. Variable Mach number design approach for a parallel waverider with a wide-speed range based on the osculating cone theory[J]. Acta Astronautica2018147: 163-174.

[9]
LI S B LI L Q HUANG W, et al. Design and investigation of equal cone-variable Mach number waverider in hypersonic flow[J]. Aerospace Science and Technology202096: 105540.

[10]
孟旭飞, 白鹏, 刘传振. 可变马赫数乘波体的宽速域性能优势探究[J]. 力学学报202456(12): 3442-3454.

MENG X F BAI P LIU C Z. Advantage exploring of variable Mach number waverider in hypersonic wide-speed performances[J]. Chinese Journal of Theoretical and Applied Mechanics202456(12): 3442-3454 (in Chinese).

[11]
AJAJ R M PARANCHEERIVILAKKATHIL M S AMOOZGAR M, et al. Recent developments in the aeroelasticity of morphing aircraft[J]. Progress in Aerospace Sciences2021120: 100682.

[12]
LIU C Z BAI P YANG Y J, et al. Double swept waverider from osculating-cone method[J]. Journal of Aerospace Engineering201831(6): 06018004.

[13]
WANG J F LIU C Z BAI P, et al. Design methodology of the waverider with a controllable planar shape[J]. Acta Astronautica2018151: 504-510.

[14]
刘超宇, 屈峰, 李杰奇, 等. 涡波一体乘波飞行器宽速域气动优化设计研究[J]. 力学学报202355(1): 70-83.

LIU C Y QU F LI J Q, et al. Aerodynamic optimization design of the vortex-shock integrated waverider in wide speed range[J]. Chinese Journal of Theoretical and Applied Mechanics202355(1): 70-83 (in Chinese).

[15]
LI Z H JIANG C W HU S Y, et al. Variable leading-edge cone method for waverider design[J]. Chinese Journal of Aeronautics202538(3): 103225.

[16]
LIU C Z BAI P. Waverider design using osculating method[J]. AIAA Journal202462(5): 1643-1661.

[17]
PHOENIX A A MAXWELL J R ROGERS R E. Mach 5-3.5 morphing waverider accuracy and aerodynamic performance evaluation[J]. Journal of Aircraft201956(5): 2047-2061.

[18]
DAI P YAN B B HUANG W, et al. Design and aerodynamic performance analysis of a variable-sweep-wing morphing waverider[J]. Aerospace Science and Technology202098: 105703.

[19]
罗世彬, 岳航, 刘俊. 高超声速变构型飞行器气动布局优化设计[J]. 电子技术与软件工程2023(2): 51-55.

LUO S B YUE H LIU J. Aerodynamic layout optimization design of hypersonic variable configuration aircraft[J]. Electronic Technology & Software Engineering2023(2): 51-55 (in Chinese).

[20]
LIU B LIANG H HAN Z H, et al. Surrogate-based aerodynamic shape optimization of a morphing wing considering a wide Mach-number range[J]. Aerospace Science and Technology2022124: 107557.

[21]
LI H F ZHANG R LI Z Y, et al. Footprint problem with angle of attack optimization for high lifting reentry vehicle[J]. Chinese Journal of Aeronautics201225(2): 243-251.

[22]
吴楠, 王锋, 赵敏, 等. 高超声速滑翔再入飞行器的可达区快速预测[J]. 国防科技大学学报202143(1): 1-6.

WU N WANG F ZHAO M, et al. Fast prediction for footprint of hypersonic glide reentry vehicle[J]. Journal of National University of Defense Technology202143(1): 1-6 (in Chinese).

[23]
ZHANG Y L CHEN K J LIU L H, et al. Rapid generation of landing footprint based on geometry-predicted trajectory[J]. Proceedings of the Institution of Mechanical Engineers, Part G: Journal of Aerospace Engineering2017231(10): 1851-1861.

[24]
GARG D PATTERSON M HAGER W W, et al. A unified framework for the numerical solution of optimal control problems using pseudospectral methods[J]. Automatica201046(11): 1843-1851.

[25]
李兆亭, 周祥, 张洪波, 等. 基于伪谱法的再入可达域影响因素分析[J]. 上海交通大学学报202256(11): 1470-1478.

LI Z T ZHOU X ZHANG H B, et al. Analysis of entry footprint based on pseudospectral method[J]. Journal of Shanghai Jiao Tong University202256(11): 1470-1478 (in Chinese).

[26]
王涛, 张洪波, 李永远, 等. Gauss伪谱法的再入可达域计算方法[J]. 国防科技大学学报201638(3): 75-80.

WANG T ZHANG H B LI Y Y, et al. Landing footprint generation of entry vehicle based on Gauss pseudospectral method[J]. Journal of National University of Defense Technology201638(3): 75-80 (in Chinese).

[27]
赵江, 周锐. 基于粒子群优化的再入可达区计算方法研究[J]. 兵工学报201536(9): 1680-1687.

ZHAO J ZHOU R. Landing footprint computation based on particle swarm optimization[J]. Acta Armamentarii201536(9): 1680-1687 (in Chinese).

[28]
GUO X L HUANG Y R LI T R, et al. Intelligent calculation of reachable domain under No-fly zone influence based on tangent flight trajectories[J]. Engineering Applications of Artificial Intelligence2024137: 109146.

[29]
HOLZINGER M J SCHEERES D J HAUSER J. Reachability using arbitrary performance indices[J]. IEEE Transactions on Automatic Control201560(4): 1099-1103.

[30]
LIU K ZHANG J L GUO X L. Reentry flight capability assessment based on dynamics-informed neural network and piecewise guidance[J]. Aerospace20229(12): 790.

[31]
CHAI R Q TSOURDOS A SAVVARIS A, et al. Trajectory planning for hypersonic reentry vehicle satisfying deterministic and probabilistic constraints[J]. Acta Astronautica2020177: 30-38.

[32]
PAN L PENG S C XIE Y, et al. 3D guidance for hypersonic reentry gliders based on analytical prediction[J]. Acta Astronautica2020167: 42-51.

[33]
ZHANG D LIU L WANG Y J. On-line reentry guidance algorithm with both path and no-fly zone constraints[J]. Acta Astronautica2015117: 243-253.

[34]
张阳, 韩忠华, 张科施, 等. 高超声速飞行器宽速域气动布局设计与优化研究进展[J]. 空天技术2024(2): 1-14.

ZHANG Y HAN Z H ZHANG K S, et al. Progress in the research on aerodynamic layout design and optimization for wide-speed-range hypersonic vehicles[J]. Aerospace Technology2024(2): 1-14 (in Chinese).

[35]
刘文, 郭帅旗, 刘洋, 等. 乘波体设计与优化研究进展: 从高超声速至宽速域[J]. 力学学报202456(6): 1655-1677.

LIU W GUO S Q LIU Y, et al. Advances in design and optimization of waverider: From hypersonic to wide-speed range[J]. Chinese Journal of Theoretical and Applied Mechanics202456(6): 1655-1677 (in Chinese).

[36]
陈树生, 冯聪, 张兆康, 等. 基于全局/梯度优化方法的宽速域乘波-机翼布局气动设计[J]. 航空学报202445(6): 629596.

CHEN S S FENG C ZHANG Z K, et al. Aerodynamic design of wide-speed-range waverider-wing configuration based on global & gradient optimization method[J]. Acta Aeronautica et Astronautica Sinica202445(6): 629596 (in Chinese).

[37]
陈树生, 张兆康, 李金平, 等. 一种宽速域乘波三角翼气动布局设计[J]. 航空学报202344(23): 128441.

CHEN S S ZHANG Z K LI J P, et al. Wide-speed aerodynamic layout adopting waverider-delta wing[J]. Acta Aeronautica et Astronautica Sinica202344(23): 128441 (in Chinese).

[38]
孟旭飞, 白鹏, 刘传振. 基于可变马赫数锥形流场的定平面形状乘波体设计方法研究[J]. 力学学报202355(9): 1809-1819.

MENG X F BAI P LIU C Z. Research on design method of planform-customized waverider from variable Mach number conical flow[J]. Chinese Journal of Theoretical and Applied Mechanics202355(9): 1809-1819 (in Chinese).

[39]
李珺, 易怀喜, 王逗, 等. 基于投影法的双后掠乘波体气动性能[J]. 航空学报202142(12): 124703.

LI J YI H X WANG D, et al. Aerodynamic performance of double swept waverider based on projection method[J]. Acta Aeronautica et Astronautica Sinica202142(12): 124703 (in Chinese).

[40]
易怀喜, 王逗, 李珺, 等. 涡升力乘波体发展研究综述[J]. 航空工程进展202112(6): 1-12.

YI H X WANG D LI J, et al. Overview on the development research of vortex lift waverider[J]. Advances in Aeronautical Science and Engineering202112(6): 1-12 (in Chinese).

[41]
武宇飞, 龙腾, 史人赫, 等. 跨域变体飞行器气动力热非层次多模型融合降阶方法[J]. 航空学报202344(21): 528259.

WU Y F LONG T SHI R H, et al. Non-hierarchical multi-model fusion order reduction based on aerodynamic and aerothermodynamic characteristics for cross-domain morphing aircraft[J]. Acta Aeronautica et Astronautica Sinica202344(21): 528259 (in Chinese).

[42]
张龙, 田野, 李博骁. 应急快速抵近侦察监视技术发展现状与思考[J]. 兵工自动化202039(6): 10-15.

ZHANG L TIAN Y LI B X. Development status and thinking of emergency fast close-in reconnaissance and surveillance techniques[J]. Ordnance Industry Automation202039(6): 10-15 (in Chinese).

[43]
马铁林, 乔南璇, 付竟成, 等. 一种具备旋转伸缩功能的飞行器机翼: CN216086693U[P]. 2024-06-07.

MA T L QIAO N X FU J C, et al. An aircraft wing with rotatable and telescopic features: CN216086693U[P]. 2024-06-07 (in Chinese).

[44]
QIAO N X MA T L JING B, et al. Design and aerodynamic analysis of the morphing waverider with rotating telescopic wing for wide-speed-range flight[J]. Aerospace Science and Technology2025158: 109941.

[45]
乔南璇, 马铁林, 薛普, 等. 考虑多源模型时间成本的乘波体整流罩宽速域优化[J]. 力学学报202557(3): 578-592.

QIAO N X MA T L XUE P, et al. Waverider fairing optimization incorporating multi-source model time cost[J]. Chinese Journal of Theoretical and Applied Mechanics202557(3): 578-592 (in Chinese).

[46]
雍恩米, 唐国金, 陈磊. 高超声速无动力远程滑翔飞行器多约束条件下的轨迹快速生成[J]. 宇航学报200829(1): 46-52.

YONG E M TANG G J CHEN L. Rapid trajectory planning for hypersonic unpowered long-range reentry vehicles with multi-constraints[J]. Journal of Astronautics200829(1): 46-52 (in Chinese).

文章导航

/