1 弹伤形态快速预测方法
1.1 冲击有限元理论模型
表1 靶板性能参数Table 1 Performance parameters of target plate |
| 参数 | 数值 | |
|---|---|---|
| 密度ρ/(kg·m-3) | 2 790 | |
| 剪切模量G/GPa | 27.6 | |
| 弹性模量E/GPa | 73.416 | |
| 泊松比μ | 0.33 | |
| 屈服应力A/MPa | 265 | |
| 应变硬化常数B/MPa | 426 | |
| 应变硬化指数n | 0.34 | |
| 应变率常数C | 0.015 | |
| 热软化系数m | 1 | |
| 熔点T m/K | 775 | |
| 室温T r/K | 300 | |
| 断裂常数 | D 1 | 0.130 |
| D 2 | 0.130 | |
| D 3 | -1.500 | |
| D 4 | 0.011 | |
| D 5 | 0 | |
1.2 双椭圆弹伤形态数值模型
1.3 基于双椭圆弹伤形态数值模型的快速预测方法
1.4 非对称弹伤形态与入射角度的关联函数
表2 不同角度下弹伤形态数据Table 2 Bullet hole shape data at different angles |
| 入射角度/ (°) | 偏心距/ mm | 宽度/mm | 左半长/ mm | 右半长/ mm |
|---|---|---|---|---|
| 0 | 0 | 26.84 | 13.89 | 13.62 |
| 5 | 0.82 | 26.61 | 13.62 | 13.98 |
| 10 | 1.60 | 26.39 | 14.13 | 14.69 |
| 15 | 1.92 | 26.54 | 14.58 | 15.30 |
| 20 | 2.82 | 26.30 | 14.00 | 15.85 |
| 25 | 3.87 | 26.61 | 14.14 | 16.90 |
| 30 | 4.32 | 26.89 | 14.66 | 17.02 |
| 35 | 4.12 | 26.41 | 15.76 | 17.90 |
| 40 | 4.48 | 26.49 | 16.52 | 20.02 |
| 45 | 4.58 | 26.80 | 18.02 | 21.18 |
| 50 | 5.17 | 26.75 | 19.97 | 22.61 |
| 55 | 5.87 | 26.43 | 21.29 | 26.21 |
| 60 | 6.44 | 26.73 | 23.51 | 27.75 |
| 65 | 8.32 | 26.79 | 25.07 | 34.85 |
| 70 | 11.7 | 26.28 | 29.24 | 45.44 |
| 75 | 13.76 | 26.41 | 36.79 | 60.73 |
2 弹伤形态快速预测方法验证
2.1 与有限元数值方法对比验证
表3 有限元与预测方法结果比较Table 3 Comparison of finite element and predictive method results |
| 工况类型 | 偏心距/ mm | 宽度/mm | 左半长/ mm | 右半长/ mm |
|---|---|---|---|---|
| 有限元① | 6.02 | 31.33 | 21.82 | 26.56 |
| 预测方法① | 5.81 | 31.46 | 22.05 | 25.63 |
| 有限元② | 3.81 | 36.47 | 23.40 | 26.31 |
| 预测方法② | 4.05 | 36.65 | 22.56 | 24.96 |
| 有限元③ | 2.88 | 31.00 | 17.32 | 19.36 |
| 预测方法③ | 2.72 | 31.55 | 16.84 | 18.87 |
| 有限元④ | 5.58 | 31.13 | 20.57 | 23.77 |
| 预测方法④ | 5.71 | 31.51 | 19.96 | 23.34 |
2.2 与GA-SVR模型对比验证
表4 不同评价指标对比Table 4 Comparison of different evaluation indices |
| 参数 | R 2 | MAE | RMSE |
|---|---|---|---|
| 偏心距 | 0.982 1 | 0.350 1 | 0.437 9 |
| 宽度 | 0.996 7 | 0.192 1 | 0.240 3 |
| 左半长 | 0.987 4 | 0.572 9 | 0.732 4 |
| 右半长 | 0.994 2 | 0.593 9 | 0.740 4 |
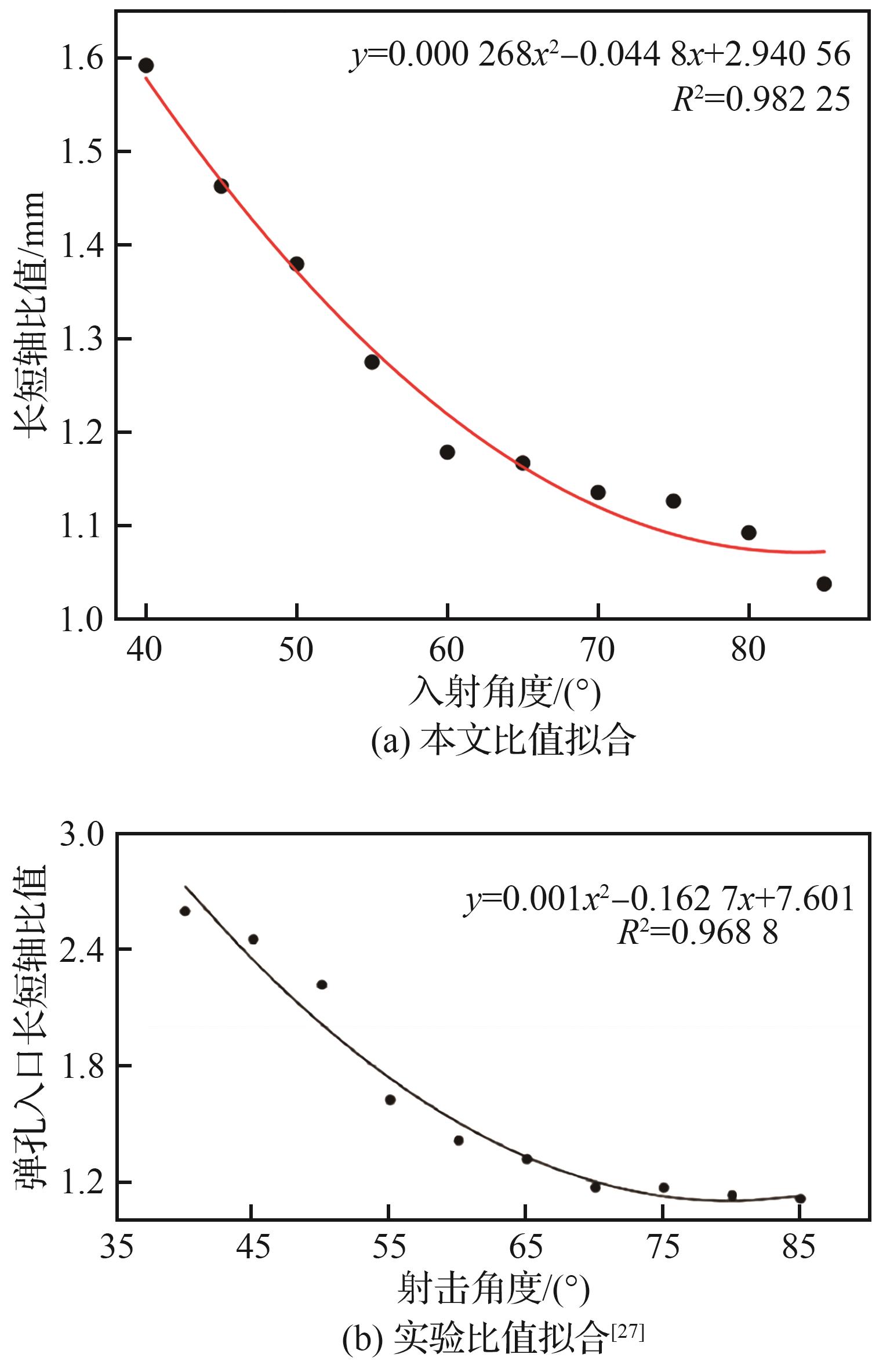
2.3 与实验对比验证
表5 实验与预测方法的误差对比Table 5 Comparison of errors between experiment and prediction methods |
| 序号 | 宽度/mm×长度/mm | 误差/% |
|---|---|---|
| 1,2 | 143.08×160.98,129.803×149.668 | 9.28,7.03 |
| 3,4 | 147.50×164.75,129.784×162.002 | 12.04,2.75 |
| 5,6 | 144.28×172.18,129.686×163.052 | 10.12,5.30 |
2.4 计算效率
3 射击参数与弹伤形态的影响特性
3.1 入射角度与弹伤形态的影响特性
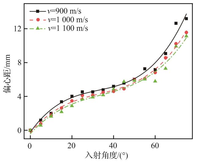
3.2 速度与弹伤形态的影响特性
表6 不同速度均方根误差Table 6 RMSE for different speeds |
| 项目 | RMSE | |||
|---|---|---|---|---|
| =900 m/s | =1 000 m/s | =1 100 m/s | ||
| 左半长 | 0.725 2 | 0.624 3 | 0.543 6 | |
| 右半长 | 0.608 7 | 0.508 2 | 0.217 4 | |
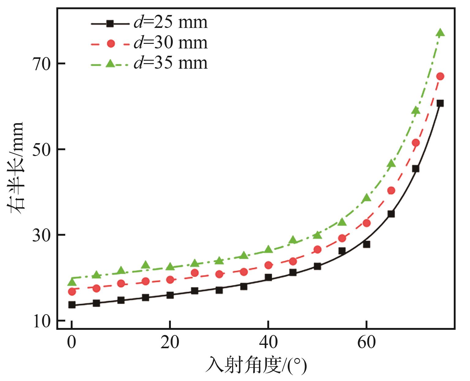
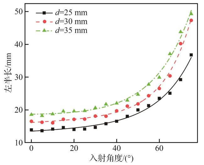
3.3 口径与弹伤形态的影响特性
表7 不同口径均方根误差Table 7 RMSE for different calibers |
| 项目 | RMSE | ||
|---|---|---|---|
| =25 mm | =30 mm | =35 mm | |
| 左半长 | 0.624 3 | 0.704 7 | 0.891 4 |
| 右半长 | 0.586 9 | 0.544 4 | 0.632 8 |

