高性能战斗机与发动机协同设计关键技术
王海峰

Key technologies in collaborative airframe⁃engine design for high performance fighters
Haifeng WANG
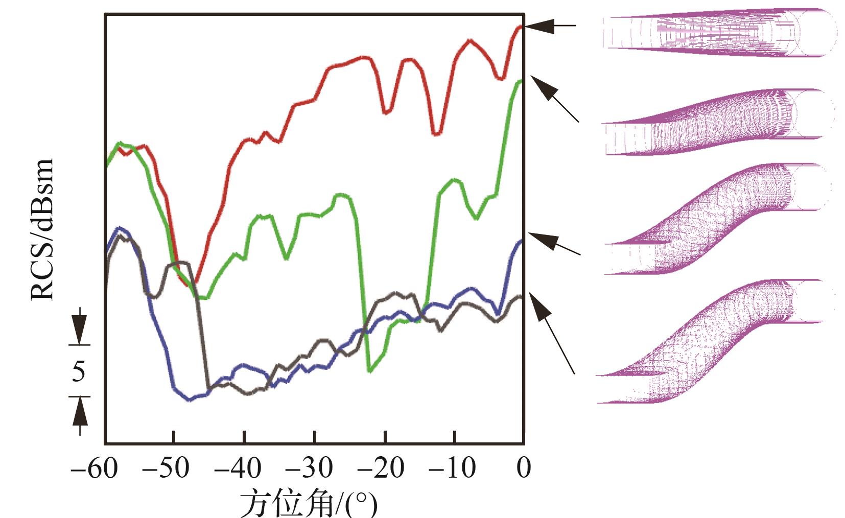
图12 不同弯度进气道的RCS对比
Fig.12 Comparison of RCS of inlets with different bending conditions