近年来,多弹协同制导已成为制导领域的研究热点。针对反舰、反导等作战场景,时间协同[1-4]、时间和角度协同[5-9]、相对角度协同[10]等多种协同制导策略被相继提出。
针对多反舰导弹打击配备近程防御系统(CIWS)舰船的作战问题,文献[1]提出了基于时间控制的时间协同制导律。该制导律导引多枚导弹按指定的攻击时间同时命中目标,以实现饱和攻击。文献[5]在时间控制的基础上,考虑了末端攻击角度的约束,研究了同时控制攻击时间和攻击角度的协同制导方法。为了应对制导过程中的不确定性,文献[9]利用滑模方法研究了控制攻击时间和攻击角度的协同制导律。
以上的制导方法不要求多枚导弹在制导过程中互相通信,因此其制导效果基本不受作战时导弹间通信网络瘫痪的影响。但这种制导方法需要预先指定导弹的攻击时间,当攻击时间指定不合理时,可能导致多弹不能同时到达。文献[11-12]研究了利用导弹间的通信网络来协调多枚导弹的剩余攻击时间的协同策略和方法,以实现同时命中, 该方法不需要预先指定攻击时间。其中,文献[11]提出了基于协调变量的双层协同制导结构,通过本地的导引律来实现底层的导引控制,通过集中式或分布式的协调策略来实现上层的协调控制,并通过选取合适的协调变量(如剩余攻击时间)来实现同时到达。文献[12]提出了一种协同比例导引方法,在比例导引的基础上添加时间协同项,通过降低多弹剩余攻击时间的差异来实现同时攻击。
上述时间一致性协同策略所考虑的待攻击目标是静止的、慢速的或非机动的。对于高速机动目标,同时击中可能难以实现,因而其他协同策略可能更实用。文献[10]研究了多弹以相对攻击角度拦截机动目标的问题,结果显示指定导弹间相对攻击角度的拦截所需的过载比单独指定攻击角度的过载小。文献[13-14]通过引入协同滤波器来估计目标的加速度,以提升拦截效果。
值得注意的是,在制导律的设计中,以上研究皆没有考虑导弹实际存在的过载约束,尤其没有考虑拦截大机动目标时导弹机动能力不足的问题。文献[15-17]提出了基于覆盖的协同拦截策略,在线性化模型下,分别研究了基于偏置微分对策、偏置比例导引和三维偏置真比例导引的协同拦截问题,结果表明该策略下多弹能够协同拦截比自己机动能力强的目标。然而,在过载约束下,直接针对非线性拦截模型研究大机动目标的协同拦截仍然具有很大的研究空间和价值。
受上述研究现状的启发,本文研究非线性拦截模型下的多枚机动能力受限的导弹对机动能力强的目标的协同拦截问题。非线性模型会带来数学处理难度的增大,但蕴含的信息更丰富。在末制导段,目标的大机动特性会增加拦截过程中的非线性,因此需要考虑其中的非线性。
与现有的其他关于大机动目标协同拦截的研究工作相比,本文的主要贡献为:①首先,研究工作直接针对非线性模型进行,考虑了拦截大机动目标过程中的非线性特性;②基于标准弹道的思想,分析了多枚导弹的末制导初始阵位、制导律参数和导弹对目标机动范围的覆盖区域等的关系;③基于上述关系,给出了基于覆盖的拦截策略所要求的导弹数、期望的中末制导交接班阵位和制导律参数的数值求解算法。
本文的其他部分组织如下:第1节分析了比例导引律拦截大机动目标的局限性;第2节研究了非线性拦截模型下多弹的初始阵位、协同制导律参数和对目标机动的覆盖区域这三者间的关系,并给出了数值求解算法以确定这些量的初始值,然后利用导弹间的通信网络,自动调整协同拦截制导律中的参数,以实现更好的拦截效果;第3节对所研究的方法进行仿真分析;最后进行了总结。
1 比例导引局限性分析平面拦截几何如图 1所示,其中坐标系OXY为惯性笛卡尔坐标系,M和T分别表示导弹和目标, V为速度,σ为速度矢量与OX轴的夹角,η为速度矢量与弹目连线MT的夹角,称为前置角,θ为MT与OX轴的夹角,称为视线角。以上角度皆以逆时针为正,则导弹与目标的非线性相对运动方程组为[18]
|
| 图 1 平面拦截几何 Fig. 1 Geometry of planar engagement |
| $ \left\{ {\begin{array}{*{20}{l}} {\dot r = {V_T}{\rm{cos}}{\eta _T} - {V_M}{\rm{cos}}{\eta _M}}\\ {\dot r = {V_M}{\rm{sin}}{\eta _M} - {V_T}{\rm{sin}}{\eta _T}}\\ {{\theta _M} = {\eta _M} + {\sigma _M}}\\ {{\theta _T} = {\eta _T} + {\sigma _T}}\\ {{{\dot \sigma }_M} = {a_M}/{V_M}}\\ {{{\dot \sigma }_T} = {a_T}/{V_T}} \end{array}} \right. $ | (1) |
式中:a为法向加速度(本文中,为了叙述方便,将过载和加速度视为同一个量);r为导弹与目标的距离。
比例导引实现简单,对反馈误差的鲁棒性比较好[19-20],在工程上运用广泛,其形式为
| $ {a_M} = N|\dot r|\dot \theta $ | (2) |
式中:N为有效导航比。由式(1)可知
| $ \dot r\ddot \theta = - (N|\dot r|{\rm{cos}}{\eta _M} + 2\dot r)(\dot \theta - {\dot \theta ^*}) $ | (3) |
式中:
在拦截过程中,若取N以满足N|ṙ|cosηM+2ṙ>0,则
| $ |{a_{T,f}}| \le \frac{{N{\rm{cos}}{\eta _{M,f}} - 2}}{{N|{\rm{cos}}{\eta _{T,f}}|}}{a_{M, {\rm{Max}} }} $ | (4) |
对于迎头拦截的场景,导弹与目标的前置角分别约为0、±π,即cosηM≈1、cosηT≈-1,则当N=3时,至少需要3倍于目标的机动过载才能实现零脱靶量拦截;当N=4时,则至少需要2倍于目标的过载。另一方面,N值选得越大,则外界干扰对导弹的飞行行为影响也越大,视线转率
以上分析表明,拦截机动目标时,比例导引律要求导弹具有数倍于目标的可用过载,否则不能实现零脱靶量拦截。对于大机动目标,若拦截导弹的机动性能不满足要求,则可能产生较大的脱靶量,甚至导致拦截失败。
2 基于覆盖的协同拦截策略与方法 2.1 基于覆盖的协同拦截策略在线性化模型下,文献[16]已经对基于覆盖的大机动目标协同拦截策略进行了详细的叙述,而针对非线性模型,本文的推导思路与其有所差别,且后续的推导过程依赖于对该策略的解释。因此,这里给出非线性拦截模型下对该策略的描述。
每枚拦截导弹由于过载约束,存在一个扇形的机动区域。该区域由导弹的速度、初始位置和过载上限等因素决定,是导弹能到达的最大区域,称为可达域,记为AR。此外,前文的分析显示,制导律本身的特性也制约着导弹的拦截能力,只有满足制导律特性要求的弹目相遇区域才能实现零脱靶量拦截,才是可行的。这里将特定导引律导引下的在拦截过程中未发生饱和的导弹运动区域称为导弹的可行域,记为AF。显然,可行域包含于可达域中,即AF⊂AR。同时,目标也存在一个机动逃逸的最大区域,称为逃逸域,记为AE。若目标的逃逸域大于导弹的可行域,则目标能逃逸成功。如图 2所示,基于逃逸域覆盖的协同拦截策略,要求多枚导弹的可行域的并集覆盖目标的逃逸域,保证至少有一枚导弹能拦截目标。
|
| 图 2 基于逃逸域覆盖的协同拦截策略 Fig. 2 Cooperative interception strategy based on coverage of escape region |
可行域主要由目标特性、导弹速度、导弹过载约束、导弹初始位置及导弹制导律特性共同决定。前三者是导弹和目标的固有特性,后两者是可变的。因此本文把前三者当作前提而把后两者作为研究重点——研究多枚拦截导弹的初始阵位的选取以及相应的协同拦截制导律的设计,使得每枚拦截导弹的可行域覆盖目标逃逸域的一个子集,全体导弹覆盖整个逃逸域,以实现多枚导弹对大机动目标的有效拦截。
现实中,目标的机动加速度是变化的,在非线性模型下,这极大地增加了数学处理的难度。为了数学处理的方便,本文在制导律推导过程中默认目标的逃逸加速度aT是常值。
如图 2所示,当目标以某一期望的常值aT, i, s机动时,若通过初始阵位和制导律的合理设计,使得导弹i在整个末制导拦截过程中的弹道最为平直,即所需的过载在某种评价指标上最小,则称该弹道为标准弹道。标准弹道所对应的值用下标s表示。当目标以常值
1) ∀aT, i, s∈UT:=[-aT, Max, aT, Max],确定初始位置Pi, s=[ηM, i, 0, s, ηT, i, 0, s, ri, 0, s]T和制导律gM, i,以满足标准弹道的要求:拦截过程中过载aM, i=gM, i的评价函数J=J(aM, i)最小。
2) 确定导弹i的覆盖区域UM, i(aT, i, s)。UM, i(aT, i, s)是
3) 分配多弹的覆盖区域UM, i(aT, i, s)以均匀地覆盖目标机动范围UT,即UT⊂∪UM, i。
以上推导过程中,约定下标0和f分别表示初始时刻和命中点处对应的值,下标s表示目标以期望加速度aT, i, s逃逸所对应的值,下标i表示第i枚导弹对应的值。
2.2 协同拦截制导律上述基于覆盖的拦截策略以及基于标准弹道的设计方法要求导弹以可行域AF, i中的非标准弹道拦截aT, i, s+ε机动的目标,以可行域AF, i中的标准弹道拦截aT, i, s机动的目标,则协同导引律应具有aM, i=gM, i(
| $ {a_{M,i}} = N(|{\dot r_i}|{\dot \theta _i} - {B_i}) $ | (5) |
式中:Ni|ṙ|
记aT, i为目标的实际逃逸加速度,将式(5)代入式(1),整理可得
| $ {r_i}{\ddot \theta _i} = - (N|{\dot r_i}|{\rm{cos}}{\eta _{M,i}} + 2{\dot r_i})({\dot \theta _i} - \dot \theta _i^*) $ | (6) |
式中:
| $ \dot \theta _i^* = \frac{1}{{N|{{\dot r}_i}|{\rm{cos}}{\eta _{M,i}} + 2{{\dot r}_i}}}({a_{T,i}}{\rm{cos}}{\eta _{T,i}} + N{B_i}{\rm{cos}}{\eta _{M,i}}) $ | (7) |
选取合适的N以使得拦截过程中|ṙi|(NcosηM, i-2)>0,则
| $ {\dot \theta _{i,f}}: = {\dot \theta _i}{|_{t = {t_f}}} = \dot \theta _i^*{|_{t = {t_f}}} $ | (8) |
取上述的评价函数J=aM, i, 02+aM, i, f2。在拦截过程线性程度较好的情况下,通过最小化初始时刻和命中点的过载,可有效压低整个拦截过程中的过载大小,产生比较平直的标准弹道。J=0要求
| $ {a_{M,i,0}} = {a_{M,i,f}} = 0 $ | (9) |
结合式(5)、式(7)~式(9)可知,以标准弹道拦截期望过载为aT, i, s的机动目标时,制导律中的偏置Bi应选取为
| $ {B_i} = - 0.5{a_{T,i,s}}{\rm{cos}}{\eta _{T,i,f,s}} $ | (10) |
结合式(1)、式(5)和式(9)可知,标准弹道的初始时刻应满足:
| $ \begin{array}{*{20}{c}} {({V_T}{\rm{cos}}{\eta _{T,i,0,s}} - {V_M}{\rm{cos}}{\eta _{M,i,0,s}}) \cdot ({V_M}{\rm{sin}}{\eta _{M,i,0,s}} - }\\ {{V_T}{\rm{sin}}{\eta _{T,i,0,s}}) + {B_i}{r_{i,0,s}} = 0} \end{array} $ | (11) |
式(10)表明标准弹道的命中点的目标前置角ηT, i, s, f影响制导律的设计,因而需要对其进行求解。下面推导当目标以常值加速度aT, i机动逃逸而导弹采用协同制导律(5)拦截时, 初始时刻的前置角和命中点的前置角之间的关系。
由式(7)和式(8)可知
| $ {V_M}{\rm{sin}}{\eta _{M,i,f}} - {V_T}{\rm{sin}}{\eta _{T,i,f}} = 0 $ | (12) |
在非线性模型下,初始时刻与命中点的前置角的关系的显示解不易求得,若采用数值积分的方法则会耗费大量时间,这里采用变量积分的技巧和一些合理的假设,将前置角间的非线性动力学约束转化为非线性代数约束,以加快求解速度。
假设在整个拦截过程中ṙ变化不大,认为是常数,用ṙi, 0代替ṙi(t),则导弹的拦截时长可表示为
| $ {t_{i,f}} = \frac{{{r_{i,0}}}}{{|{{\dot r}_{i,0}}|}} = \frac{{{r_{i,0}}}}{{{V_M}{\rm{cos}}{\eta _{M,i,0}} - {V_T}{\rm{cos}}{\eta _{T,i,0}}}} $ | (13) |
对式(1)的第4个方程求导,并结合第6个方程可知
| $ {\dot \theta _i} = {\dot \eta _{T,i}} + \frac{{{a_{T,i}}}}{{{V_T}}} $ | (14) |
对式(1)的第3个方程求导,并结合第5个方程,有
| $ {\dot \theta _i} = {\dot \eta _{M,i}} + {a_{M,i}}/{V_M} $ | (15) |
结合式(5)和式(15)可知
| $ {\dot \eta _{M,i}} + \left( {\frac{{N|{{\dot r}_i}|}}{{{V_M}}} - 1} \right){\dot \theta _i} - \frac{{N{B_i}}}{{{V_M}}} = 0 $ | (16) |
结合式(14)和式(16),消去
| $ \begin{array}{l} {\eta _{M,i}} + (N|{{\dot r}_i}|/{V_M} - 1)({{\dot \eta }_{T,i}} + {a_T}/{V_T}) - \\ {\kern 1pt} {\kern 1pt} {\kern 1pt} {\kern 1pt} {\kern 1pt} {\kern 1pt} {\kern 1pt} {\kern 1pt} {\kern 1pt} {\kern 1pt} {\kern 1pt} {\kern 1pt} {\kern 1pt} {\kern 1pt} {\kern 1pt} {\kern 1pt} {\kern 1pt} {\kern 1pt} {\kern 1pt} {\kern 1pt} {\kern 1pt} {\kern 1pt} {\kern 1pt} {\kern 1pt} {\kern 1pt} {\kern 1pt} {\kern 1pt} N{B_i}/{V_M} = 0 \end{array} $ | (17) |
对式(17)进行积分,且将ṙi当作常数ṙi, 0处理,则
| $ \begin{array}{l} {\eta _{M,i,f}} - {\eta _{M,i,0}} - N{B_i}{t_{i,f}}/{V_M} + \\ {\kern 1pt} {\kern 1pt} {\kern 1pt} {\kern 1pt} {\kern 1pt} {\kern 1pt} {\kern 1pt} {\kern 1pt} {\kern 1pt} {\kern 1pt} {\kern 1pt} {\kern 1pt} {\kern 1pt} {\kern 1pt} {\kern 1pt} {\kern 1pt} {\kern 1pt} {\kern 1pt} {\kern 1pt} {\kern 1pt} {\kern 1pt} {\kern 1pt} {\kern 1pt} {K_{i,0}}({\eta _{T,i,f}} - {\eta _{T,i,0}} + {a_{T,i}}{t_{i,f}}/{V_T}) = 0 \end{array} $ | (18) |
式中:Ki, 0=N|ṙi, 0|/VM-1。
式(11)、式(12)和式(18)约束了初始时刻和命中点处的前置角之间的关系,给定一组初始阵位{(ηM, i, 0, ηT, i, 0, ri, 0)|i=1, 2, …, Nm}(其中Nm表示参与拦截的导弹数),可快速求解出目标以加速度aT, i逃逸所对应的命中点的前置角信息,现将它们整理为
| $ \left\{ {\begin{array}{*{20}{l}} {{V_M}{\rm{sin}}{\eta _{M,i,f}} - {V_T}{\rm{sin}}{\eta _{T,i,f}} = 0}\\ {{\eta _{M,i,f}} + {K_{i,0}}{\eta _{T,i,f}} + z = 0} \end{array}} \right. $ | (19) |
式中:
| $ \begin{array}{*{20}{l}} {z = - {\eta _{M,i,0}} + {K_{i,0}}( - {\eta _{T,i,0}} + {a_{T,i}}{t_{i,f}}/{V_T}) - }\\ {{\kern 1pt} {\kern 1pt} {\kern 1pt} {\kern 1pt} {\kern 1pt} {\kern 1pt} {\kern 1pt} {\kern 1pt} {\kern 1pt} {\kern 1pt} {\kern 1pt} {\kern 1pt} {\kern 1pt} {\kern 1pt} {\kern 1pt} {\kern 1pt} {\kern 1pt} {\kern 1pt} {\kern 1pt} {\kern 1pt} {\kern 1pt} {\kern 1pt} {\kern 1pt} {\kern 1pt} {\kern 1pt} N{B_i}{t_{i,f}}/{V_M}} \end{array} $ |
结合式(10)、式(11)和式(19),可知aT, i, s对应的标准弹道应满足:
| $ \left\{ \begin{array}{l} ({V_T}{\rm{cos}}{\eta _{T,i,0,s}} - {V_M}{\rm{cos}}{\eta _{M,i,0,s}}) \cdot ({V_M}{\rm{sin}}{\eta _{M,i,0,s}} - \\ {\kern 1pt} {\kern 1pt} {\kern 1pt} {\kern 1pt} {\kern 1pt} {\kern 1pt} {\kern 1pt} {\kern 1pt} {\kern 1pt} {\kern 1pt} {\kern 1pt} {\kern 1pt} {\kern 1pt} {\kern 1pt} {\kern 1pt} {\kern 1pt} {\kern 1pt} {\kern 1pt} {\kern 1pt} {\kern 1pt} {\kern 1pt} {V_T}{\rm{sin}}{\eta _{T,i,0,s}}) - 0.5{a_{T,i,s}}{r_{i,0,s}}{\rm{cos}}{\eta _{T,i,f,s}} = 0\\ {V_M}{\rm{sin}}{\eta _{M,i,f,s}} - {V_T}{\rm{sin}}{\eta _{T,i,f,s}} = 0\\ {\eta _{M,i,f,s}} + {K_{i,0,s}}{\eta _{T,i,f,s}} + 0.5{a_{T,i,s}}N{t_{i,f,s}}{\rm{cos}}{\eta _{T,i,f,s}}/\\ {\kern 1pt} {\kern 1pt} {\kern 1pt} {\kern 1pt} {\kern 1pt} {\kern 1pt} {\kern 1pt} {\kern 1pt} {\kern 1pt} {\kern 1pt} {\kern 1pt} {\kern 1pt} {\kern 1pt} {\kern 1pt} {\kern 1pt} {\kern 1pt} {\kern 1pt} {\kern 1pt} {\kern 1pt} {\kern 1pt} {V_M} + \bar z = 0 \end{array} \right. $ | (20) |
式中:z=Ki, 0, s(aT, i, sti, f, s/VT-ηT, i, 0, s)-ηM, i, 0, s;ti, f, s=ri, 0, s/|ṙi, 0, s|;Ki, 0, s=N|ṙi, 0, s|/VM-1。
导弹的初始阵位由导弹速度前置角ηM, i, 0、目标速度前置角ηT, i, 0和弹目距离ri, 0这3个量确定。式(20)中,关于初始阵位的约束只有第一式,可以根据作战场景添加的2个关于初始阵位的约束以完成对初始阵位的求解。根据式(10)、式(20)以及添加的两个关于初始阵位的约束,可确定拦截期望加速度为aT, i, s时的导弹的初始阵位和相应的协同制导律中的偏置Bi。
为了求解覆盖区域UM, i(aT, i, s),假设目标以
| $ \left| {\frac{{N({{\tilde a}_{T,i}}{\rm{cos}}{{\tilde \eta }_{T,i,f}} - {a_{T,i,s}}{\rm{cos}}{\eta _{T,i,f,s}})}}{{N{\rm{cos}}{{\tilde \eta }_{M,i,f}} - 2}}} \right| \le {a_{M, {\rm{Max}} }} $ | (21) |
设UM, i(aT, i, s)是aT, i, s的邻域,且满足: ① ∀
在上述分析的基础上,以下研究多枚导弹的分配算法,即通过一种算法,确定多弹中末制导交班阵位、确定多弹各自所覆盖的目标机动的区域、确定多弹协同制导算法中参数的选取。
为了后续的表述方便,定义u=aT/aT, Max为目标的归一化后的加速度,则aT, i, s和UM, i(aT, i, s):=[aT, i, low, aT, i, up]相应地归一化为uT, i, s和[ui, low, ui, up](仍记为UM, i),而目标的机动范围归一化为[-1, 1](仍记为UT)。
每枚导弹对目标的机动逃逸范围有一个覆盖区间UM, i,只需为每枚导弹分配一个合理的区间UM, i即可实现对目标机动范围的全覆盖,即UT⊂∪ UM, i,再合理配置多导弹的初始阵位和制导律,即可保证无论目标做任意常值机动,多弹队伍中至少有一枚导弹能成功对其进行拦截。
所设计的覆盖策略应使得多导弹能完全覆盖UT,相邻覆盖区间UM, i和UM, i+1的重合区域尽量均匀。如图 3所示,本文给出了两种理想覆盖模式,第1种模式下,均匀覆盖UT所需的导弹数最少;而第2种模式要求其中的一枚导弹(编号记为1)所采用的制导律中的偏置B1=0,其他导弹在UM, 1两边均匀覆盖UT。显然,第1种分配模式所需的导弹数≤第2种的导弹数,而第2种的优势在于,导弹1的协同制导律退化为了传统的比例导引律,因此其拦截行为与传统的比例导引律下的一致。这表明,弹群中有一枚弹可以容易地将工程上关于比例导引所积累的经验与技术应用到多弹的协同拦截中。在这层意义上,基于覆盖的协同拦截策略与方法,是工程上广泛采用的比例导引方法的拓展。若不考虑多弹拦截带来的经济成本,则多弹拦截的作战效果至少不比传统的比例导引的差。
|
| 图 3 2种理想覆盖模式 Fig. 3 Two ideal coverage modes |
在非线性拦截方程下,导弹的覆盖区域UM, i的宽度原则上是随其期望拦截的目标机动值uT, i, s变化的,因此不能直接采用文献[16]所提的方法进行覆盖区域的确定和制导律的设计。
为了实现理想覆盖模式1,可先求得Nm个子区域{UM, i|i=1, 2, …, Nm}。其中,UM, 1的左边界与-1对齐,UM, Nm的右边界与1对齐,UM, i-1与UM, i(i=2, 3, …, Nm-1)相接而不重叠,UM, Nm与UM, Nm-1可能存在重叠区域,即u1, low=-1,uNm, up=1,ui-1, up=ui, low(i=2, 3, …, Nm-1),uNm-1, up-uNm, low≥0。为了使得多个子区域覆盖均匀,应将重叠区域[uNm, low, uNm-1, up]均匀分配到其他子区域上。可以将子区域UM, 2~UM, Nm-1分别向左移动(i-1)(uNm-1, up-uNm, low)/(Nm-1)长度,以趋向于理想覆盖模式1。
对于理想覆盖模式2,其要求B1=0,根据式(10),则要求aT, 1, s=0或者cosηT, 1, f=0。对于迎头拦截或者追尾拦截,假设拦截过程中满足cosηT, i>0或者cosηT, i < 0,则B1=0要求aT, 1, s=0。为了趋向理想覆盖模式2,首先利用aT, 1, s=0求得UM, 1(0),然后在其左边求得一系列的覆盖区域{UM, i|i=2, 3, …, Nl}。其中,UM, Nl的左边界与-1对齐,UM, i-1与UM, i(i=2, 3, …, Nl-1)相接而不重叠,UM, Nl-1与UM, Nl可能重叠,即uNl, low=-1,ui-1, low=ui, up, uNl, up-uNl-1, low≥0。在UM, 1(0)右边求得一系列覆盖区域{UM, i|i=Nl+1, …, Nm}。UM, Nm与1对齐,UM, i-1与UM, i(i=Nl+1, …, Nm-1)相接而不重叠,UM, Nm-1与UM, Nm可能重叠,即uNm, low=1,ui-1, up=ui, low,uNm-1, up-uNm, low≥0。为了均匀覆盖,可通过移动子区域{UM, i|i=2, 3, …, Nl-1}将左边的重叠区域[uNl-1, low, uNl, up]均匀分配到[-1, 0]上,并移动子区域{UM, i|i=Nl+1, …, Nm-1}将[uNm, low, uNm-1, up]均匀分配到[0, 1]上。具体来说,就是将UM, 2~UM, Nl-1分别向右移动(i-1)(uNl, up-uNl-1, low)/(Nl-1)(i=2, 3, …, Nl-1)长度,将UM, Nl+1~UM, Nm-1分别向左移动(i-Nl)(uNm-1, up-uNm, low)/(Nm-Nl)(i=Nl+1, …, Nm-1)长度。趋近理想覆盖模式1的伪代码如算法1所示。趋近理想覆盖模式2的伪代码不再给出。
| 算法1 理想覆盖模式1的实现算法 Algorithm 1 Algorithm for implement ideal coverage Mode 1 |
|
| 1 | 输入:导弹、目标参数, 初始阵位约束 |
| 2 | 求解[B1, P1, sT, uT, 1, s, UM, 1]T使得u1, low=-1 |
| 3 | 令i=2 |
| 4 | while ui-1, up < 1 |
| 5 | 求解[Bi, Pi, sT, uT, i, s, UM, i]T使得ui, low=ui-1, up |
| 6 | if ui, up>1 |
| 7 | 求解(Bi, Pi,sT, uT, i, s, UM, i)T使得ui, up=1 |
| 8 | i=i+1 |
| 9 | 令Nm=i-1 |
| 10 | 令i=2, Δ=(uNm-1, up-uNm, low)/(Nm-1) |
| 11 | while i≤Nm-1 |
| 12 | uT, i, s=uT, i, s-(i-1)Δ |
| 13 | 以新的uT, i, s为期望值, 求解[Bi, Pi, sT, UM, i]T |
| 14 | i=i+1 |
| 15 | 输出:{Bi, Pi, s, uT, i, s, UM, i|i=1, 2, …, Nm}和Nm |
上述拦截策略将目标的逃逸空间划分为多个子空间,并分配多枚导弹来拦截对应的子空间。拦截开始后,目标会进入其中一个子空间,被预先分配的导弹拦截。由于上述协同制导律中的偏置在预先分配后不再变化,其他导弹可能会成为无用的导弹。可以动态调整其余导弹的制导律偏置Bi,使得这些导弹在拦截过程中更接近目标,从而降低其脱靶量,提升整体的拦截效果。
目标的实际逃逸轨迹与标准弹道所期望的目标逃逸轨迹越接近,拦截过程中导弹的需用过载越小,拦截效果越好。因此将这两者的偏离程度作为单枚导弹拦截效果的评价指标,利用导弹间的通信网络来交互该指标,以确定拦截效果最好的导弹Mj,让其他导弹Mi的制导参数Bi趋向Bj。
零控脱靶量(Zero Effort Miss,ZEM)为导弹与目标不进行机动飞行的情况下,导弹与目标飞行过程中的最小距离,即[21]
| $ {\rm{ZE}}{{\rm{M}}_i} = {r_i}\sqrt {\frac{{{{({r_i}{{\dot \theta }_i})}^2}}}{{{{({{\dot r}_i})}^2} + {{({r_i}{{\dot \theta }_i})}^2}}}} $ | (22) |
记导弹i以标准弹道拦截aT, i, s机动逃逸的目标的过程中的零控脱靶量为ZEMi, s,则
| $ {\rm{ZE}}{{\rm{M}}_{i,s}} = \left\{ {\begin{array}{*{20}{c}} {{r_{i,s}}\sqrt {\frac{{{{({r_{i,s}}{{\dot \theta }_{i,s}})}^2}}}{{{{({{\dot r}_{i,s}})}^2} + {{({r_{i,s}}{{\dot \theta }_{i,s}})}^2}}}} }&{{\rm{ if}}{\kern 1pt} {\kern 1pt} {\kern 1pt} {\kern 1pt} {\kern 1pt} {\kern 1pt} {r_{i,s}} > \kappa }\\ 0&{{\rm{ otherwise }}} \end{array}} \right. $ | (23) |
式中:κ为一个小量,用来避免下述积分过程在ri, s=0处的数值奇异。
| $ \left\{ \begin{array}{l} {{\dot r}_{i,s}} = {V_T}{\rm{cos}}(({\theta _{i,s}} - {\theta _{i,s,0}}) - (t \cdot {a_{T,i,s}}/{V_T} - \\ {\kern 1pt} {\kern 1pt} {\kern 1pt} {\kern 1pt} {\kern 1pt} {\kern 1pt} {\kern 1pt} {\kern 1pt} {\kern 1pt} {\kern 1pt} {\kern 1pt} {\kern 1pt} {\kern 1pt} {\kern 1pt} {\kern 1pt} {\kern 1pt} {\kern 1pt} {\kern 1pt} {\kern 1pt} {\kern 1pt} {\kern 1pt} {\kern 1pt} {\kern 1pt} {\eta _{T,i,0,s}})) - {V_M}{\rm{cos}}({\theta _{i,s}} - {\sigma _{M,i,s}})\\ {r_{i,s}}{{\dot \theta }_{i,s}} = {V_M}{\rm{sin}}({\theta _{i,s}} - {\sigma _{M,i,s}}) - {V_T}{\rm{sin}}(({\theta _{i,s}} - \\ {\kern 1pt} {\kern 1pt} {\kern 1pt} {\kern 1pt} {\kern 1pt} {\kern 1pt} {\kern 1pt} {\kern 1pt} {\kern 1pt} {\kern 1pt} {\kern 1pt} {\kern 1pt} {\kern 1pt} {\kern 1pt} {\kern 1pt} {\kern 1pt} {\kern 1pt} {\kern 1pt} {\kern 1pt} {\kern 1pt} {\kern 1pt} {\kern 1pt} {\theta _{i,s,0}}) - (t{a_{T,i,s}}/{V_T} - {\eta _{T,i,0,s}}))\\ {{\dot \sigma }_{M,i,s}} = N(|{{\dot r}_{i,s}}|{{\dot \theta }_{i,s}} - {B_i})/{V_M} \end{array} \right. $ | (24) |
ZEMi, s可在拦截过程中实时计算得到,也可以在末制导开始前计算完成并存储起来而在拦截过程中通过插值获得。
记ΔZEMi=|ZEMi-ZEMi, s|,则ΔZEMi越小,导弹i的拦截效果越好。设ΔZEMi1≤ΔZEMi2≤…≤ΔZEMiNm-1≤ΔZEMiNm,并记Λ=ΔZEMi2-ΔZEMi1。取协同拦截制导律中的偏置Bi的调整策略为
| $ {B_i}({t_{k + 1}}) = \left\{ {\begin{array}{*{20}{l}} {{c_i}{B_{i,0}} + (1 - {c_i}){B_{{i_1}}}({t_k})}&{{\rm{ if}}{\kern 1pt} {\kern 1pt} {\kern 1pt} {\kern 1pt} {\kern 1pt} {\kern 1pt} {\kern 1pt} \varLambda > \rho }\\ {{B_i}({t_k})}&{{\rm{ otherwise }}} \end{array}} \right. $ | (25) |
式中:Bi, 0为算法1预先分配的值;系数ci=exp(ΔZEMi1-ΔZEMi);ρ为一个用来避免拦截过程中下标i1的值频繁跳变的小量。
3 仿真验证本节针对2种多弹作战方式对上述理论结果进行数值分析和验证。第1种作战方式是多弹齐射,即多枚导弹从多地发射,经过中制导后,形成一定的中末制导交班阵位,并开启导引头,进行末制导[1]。第2种是子母弹分离方式,即多枚子弹装载在一枚母弹中,经过一定的中制导导引后,在合适的交班条件下,子弹从母弹分离,开始末制导拦截。
第1种作战方式下,为了导引头更好地捕获目标,可设定末制导结束后目标处于导引头视场中心,并忽略导弹的攻角、侧滑角,认为导弹的速度方向和导弹的对称轴重合,则导弹的前置角为零;此外,仿真假设所有导弹在相同的弹目距离处开启末制导。因此,该作战方式下的末制导初始阵位的约束为
| $ \left\{ {\begin{array}{*{20}{l}} {{\eta _{M,i,0,s}} = 0}\\ {{r_{i,0,s}} = {r_0}} \end{array}} \right. $ | (26) |
第2种作战方式中,忽略多子弹从母弹分离的动态过程,即认为分离过程瞬间完成,多枚子弹的位置在目标的某个方向上聚集,即认为多弹初始时刻的目标前置角ηT, i和弹目距离ri, 0基本一致,以迎头拦截为仿真算例,则ηT, i=-π。因此,这种作战方式下初始阵位的约束为
| $ \left\{ {\begin{array}{*{20}{l}} {{\eta _{T,i,0,s}} = - \pi }\\ {{r_{i,0,s}} = {r_0}} \end{array}} \right. $ | (27) |
仿真假设导弹的速度大小为7Ma,最大机动过载为3.3g,目标速度为6Ma,最大机动过载为4g,导弹和目标的初始距离为50 km,有效导航比N取为4。
对于多弹齐射作战方式,应用算法1,求得拦截目标所需的导弹数为3,记为M1、M2和M3,3枚导弹的制导参数、初始阵位、分配的覆盖区域以及标准弹道对应的目标加速度uT, i, s的求解结果如表 1所示。
| 导弹 | Bi | ηT, i, 0, s/(°) | UM, i | uT, i, s |
| M1 | -11.44 | -183.6 | [-1.00, -0.17] | -0.59 |
| M2 | 0 | -180.0 | [-0.41, 0.41] | 0 |
| M3 | 11.44 | -176.4 | [0.17, 1] | 0.59 |
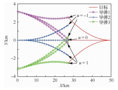
利用表 1的数值求解结果,对目标做负向最大机动(u=-1)、不机动(u=0)和正向最大机动(u=1)的拦截情况进行仿真,其拦截弹道和过载如图 4和图 5所示。从图 4和图 5可以看出,在基于覆盖的协同制导律的导引下,3种情况下都至少有一枚导弹成功拦截目标。
|
| 图 4 u=±1, 0时的拦截弹道 Fig. 4 Interception trajectory when u=±1, 0 |
|
| 图 5 u=±1, 0时的过载 Fig. 5 Acceleration when u=±1, 0 |
记多弹队伍中最小的脱靶量为多弹拦截的脱靶量。以相同的初始拦截阵位进行仿真,图 6对比了比例导引和基于覆盖的协同导引的脱靶量关于目标机动值u的分布情况。可以看出,基于覆盖的协同制导律在目标的整个机动范围内皆可实现覆盖,而比例导引在目标的逃逸机动|u|≥0.4时出现了较大的脱靶量。
|
| 图 6 脱靶量分布情况 Fig. 6 Distribution of miss distance |
对于分离式作战,应用算法1,求得所需的导弹数量为3,3枚导弹的求解结果如表 2所示。
| 导弹 | Bi | ηM, i, 0, s/(°) | UM, i | uT, i, s |
| M1 | -11.36 | -3.10 | [-1.00, -0.17] | -0.58 |
| M2 | 0 | 0 | [-0.41, 0.41] | 0 |
| M3 | 11.36 | 3.10 | [0.17, 1] | 0.58 |
在表 2的配置下,对目标的3种机动情况(u=±1, 0)分别进行仿真,结果如图 7和图 8所示。可以看出,在这种方式下,多子弹从母弹分离后,在过载约束下,弹群中至少有一枚弹能拦截上目标。
|
| 图 7 u=±1, 0时的拦截弹道 Fig. 7 Interception trajectory when u=±1, 0 |
|
| 图 8 u=±1, 0时的过载 Fig. 8 Acceleration when u=±1, 0 |
以上仿真结果验证了目标作常值机动逃逸情况下的协同制导律、初始拦截阵位以及覆盖区域的设计算法的有效性。而对于目标做变机动逃逸的情况,以下的仿真对比了制导参数不调整与动态调整下的拦截效果。
假设目标做aT=-aT, Maxsign(sin(πt/2))的方波机动,其中sign(·)是符号函数。式(25)中的ρ取为10 m。图 9和图 10分别展示了多弹齐射式作战和子母弹分离式作战的制导参数调整与不调整情况下的协同拦截弹道。图 11和图 12为其对应的ZEM的变化情况。从弹道和ZEM可以看出,2种作战方式下,调整偏置Bi提升了拦截效果,从而验证了制导律中偏置Bi的动态调整策略式(25)的有效性。
|
| 图 9 多弹齐射式作战拦截bang-bang机动目标的弹道 Fig. 9 Trajectory of multiple missiles against bang-bang maneuvering target |
|
| 图 10 子母弹分离式作战拦截bang-bang机动目标的弹道 Fig. 10 Trajectory of separated missiles against bang-bang maneuvering target |
|
| 图 11 多弹齐射式作战拦截bang-bang机动目标的ZEM Fig. 11 ZEM of multiple missiles against bang-bang maneuvering target |
|
| 图 12 子母弹分离式作战拦截bang-bang机动目标的ZEM Fig. 12 ZEM of separated missiles against bang-bang maneuvering target |
1) 研究了多枚过载受限的弱机动能力导弹拦截强机动能力目标的协同拦截问题,针对平面非线性拦截模型,在建立可达域、可行域和逃逸域这3个概念的基础上提出了基于覆盖的协同拦截策略,并提出了基于标准弹道的设计方法。
2) 研究了协同制导律的形式,并给出了拦截导弹的末制导初始阵位、制导律参数以及导弹对目标机动的覆盖区域的关系。
3) 给出了多弹对目标的2种理想覆盖模式,并分别设计了实现这2种覆盖模式的数值求解算法。
4) 针对多弹齐射作战和子母弹分离作战两种作战模式,对所提的方法进行了仿真。仿真结果验证了本文研究的基于覆盖的协同拦截策略、基于标准弹道的设计方法以及协同制导律参数和中末制导交班阵位的数值求解算法的有效性。
| [1] | JEON I S, LEE J I, TAHK M J. Impact-time-control guidance law for anti-ship missiles[J]. IEEE Transactions on Control Systems Technology, 2006, 14(2): 206-266. |
| Click to display the text | |
| [2] | HE S M, LIN D F. Three-dimensional optimal impact time guidance for antiship missiles[J]. Journal of Guidance, Control, and Dynamics, 2019, 42(4): 941-948. |
| Click to display the text | |
| [3] | ZHAO Q L, DONG X W, LIANG Z X, et al. Distributed cooperative guidance for multiple missiles with fixed and switching communication topologies[J]. Chinese Journal of Aeronautics, 2017, 30(4): 1570-1581. |
| Click to display the text | |
| [4] | KUMAR S R, GHOSE D. Impact time guidance for large heading errors using sliding mode control[J]. IEEE Transactions on Aerospace and Electronic Systems, 2015, 51(4): 3123-3138. |
| Click to display the text | |
| [5] | LEE J K, JEON I S, TAHK M J. Guidance law to control impact time and angle[J]. IEEE Transactions on Aerospace and Electronic Systems, 2007, 43(1): 301-310. |
| Click to display the text | |
| [6] | CHEN Y D, WANG J N, WANG C Y, et al. Impact time and angle control based on constrained optimal solutions[J]. Journal of Guidance, Control, and Dynamics, 2016, 39(10): 2445-2451. |
| Click to display the text | |
| [7] | KANG S, KIM H J. Differential game missile guidance with impact angle and time constraints[C]//Proceedings of the International Federation of Automatic Control World Congress, 2011: 3920-3925. |
| [8] | JUNG B, KIM Y. Guidance laws for anti-ship missiles using impact angle and impact time[C]//AIAA Guidance, Navigation, and Control Conference and Exhibit. Reston: AIAA, 2006. |
| [9] | HARL N, BALAKRISHNAN S N. Impact time and angle guidance with sliding mode control[J]. IEEE Transactions on Control Systems Technology, 2012, 20(6): 1436-1449. |
| Click to display the text | |
| [10] | SHAFERMAN V, SHIMA T. Cooperative differential games guidance laws for imposing a relative intercept angle[J]. Journal of Guidance, Control, and Dynamics, 2017, 40(10): 2465-2480. |
| Click to display the text | |
| [11] |
赵世钰, 周锐. 基于协调变量的多导弹协同制导[J]. 航空学报, 2008, 29(6): 1605-1611. ZHAO S Y, ZHOU R. Multi-missile cooperative guidance using coordination variables[J]. Acta Aeronautica et Astronautica Sinica, 2008, 29(6): 1605-1611. (in Chinese) |
| Cited By in Cnki (110) | Click to display the text | |
| [12] | JEON I S, LEE J I, TAHK M J. Homing guidance law for cooperative attack of multiple missiles[J]. Journal of Guidance, Control, and Dynamics, 2010, 33(1): 275-280. |
| Click to display the text | |
| [13] | SHAFERMAN V, OSHMAN Y. Cooperative interception in a multi-missile engagement[C]//AIAA Guidance, Navigation, and Control Conference and Exhibit. Reston: AIAA, 2009. |
| [14] | YUKSEK B, URE N K, INALHAN G. Cooperative interception of a highly manoeuvrable aerial target[C]//AIAA Guidance, Navigation, and Control Conference. Reston: AIAA, 2018. |
| [15] | SU W S, SHIN H S, CHEN L, et al. Cooperative interception strategy for multiple inferior missiles against one highly maneuvering target[J]. Aerospace Science and Technology, 2018, 80: 91-100. |
| Click to display the text | |
| [16] | SU W S, LI K B, CHEN L. Coverage-based cooperative guidance strategy against highly maneuvering target[J]. Aerospace Science and Technology, 2017(71): 147-155. |
| Click to display the text | |
| [17] | SU W S, LI K B, CHEN L. Coverage-based three-dimensional cooperative guidance strategy against highly maneuvering target[J]. Aerospace Science and Technology, 2019, 85: 556-566. |
| Click to display the text | |
| [18] |
钱杏芳, 林瑞雄, 赵亚男. 导弹飞行力学[M]. 北京: 北京理工大学出版社, 2008: 90-135. QIAN X F, LIN R X, ZHAO Y N. Missile flight me-chanics[M]. Beijing: Beijing Institute of Technology Press, 2008: 90-135. (in Chinese) |
| [19] | NESLINE F W, ZARCHAN P. A new look at classical vs modern homing missile guidance[J]. Journal of Guidance, Control, and Dynamics, 1981, 4(1): 78-85. |
| Click to display the text | |
| [20] | ZARCHAN P. Tactical and strategic missile guidance[M]. 6th ed. Reston: AIAA, 2012. |
| [21] | YUAN P J, CHERN J S. Analytic study of biased proportional navigation[J]. Journal of Guidance, Control, and Dynamics, 1992, 15(1): 185-190. |
| Click to display the text |



