2. 北京航空航天大学 飞行器控制一体化技术国防科技重点实验室, 北京 100083;
3. 北京航空航天大学 大数据科学与脑机智能高精尖创新中心, 北京 100083
2. Science and Technology on Aircraft Control Laboratory, Beihang University, Beijing 100083, China;
3. Beijing Advanced Innovation Center for Big Data and Brain Computing, Beihang University, Beijing 100083, China
集群系统协同控制在包括航空航天在内的众多军事和民用领域中展现出了强大的应用潜力,如多微纳卫星深空探测、多无人机协同侦察、多导弹饱和攻击[1-3]、多无人艇协同巡逻及多机器人协同搬运等。编队控制是集群系统协同控制中的重要课题之一。通过调整智能体之间的相对阵位关系,使得集群系统形成特定的编队队形,可以为协同侦察、探测、突防、围捕及打击等任务创造有利条件,提供技术保障。考虑到外部态势和任务需求的高动态性,集群系统的编队队形往往不是固定不变的,需要能够根据实际需求实时动态调整,即需要时变编队控制。
通过不同类型智能体的合理搭配,可以弥补同类个体的不足,大幅提升协同作业效能。例如,在丘陵、山地及城市环境作业的多辆无人车往往会因为遮挡而无法有效探测和通信,通过加入多架无人机并进行编队控制,可以为多无人车提供大范围环境信息和通信中继功能,实现无人车与无人机资源的有效互补;在海上作业的多艘无人艇由于海浪及地球曲率的影响,也会出现探测和通信受限的情况,尤其是在协同对海探测反潜时,无人艇二维运动的特性,也使得所获得探测目标的信息不够丰富,无人机三维探测信息及通信中继的加入,可以大幅提升整个集群系统通信的品质和探测的精度、维度及覆盖度。在多无人机-无人车空地协同围捕和多无人机-无人艇空海协同巡逻任务场景中,集群系统中存在动力学特性完全不同的智能体,即集群系统是异构的。异构集群系统时变编队控制问题是解决包括空地协同在内的跨域协同应用过程中的关键技术问题,具有重要理论价值和实际意义,已成为学术界和工业界一个共同的研究热点[4-8]。
现有的编队控制研究主要针对同构系统[9-14],即要求系统中每个个体具有完全相同的动力学特性。在异构系统中,各个体不仅在动力学模型的参数上存在差异,还可能在状态变量的维度上存在不同。例如,无人车和无人艇是二维运动,而无人机是三维运动。对于有人/无人战斗机、导弹、无人车及无人艇等复杂个体,典型的一阶或二阶模型很难对其动力学特性进行精确刻画[15-21],可能需要三阶以上的模型描述其动力学特性,针对高阶模型的研究更具有意义[22-24]。此外,高阶系统中各个体的全状态信息很难被全部观测,对输出信息进行观测的难度和代价要比全状态小很多。由于异构系统中各个体可能具有不同的状态维度,并且各状态的物理意义可能有所差异,异构系统很难在全状态空间实现编队控制。许多实际应用中也并不需要系统形成全状态编队,对输出编队的研究更具有实际意义。
目前国内外常见的编队控制策略主要包括基于行为的、基于虚拟结构的以及基于领导者-跟随者的方法[25]。但是,领导者-跟随者方法严重依赖于领导者的运动,领导者的故障将会导致整个编队的崩溃;基于行为的编队方法依靠于定性的行为规则,难以建立整个系统的定量模型,无法保证整个系统编队运动的稳定性;基于虚拟结构的方法需要中心节点进行集中式控制,不能够以分布式的形式实现。近年来,随着一致性控制理论的发展与完善,基于一致性的编队控制方法受到国内外研究者的广泛关注[26]。该方法仅利用邻居节点的相对作用信息设计本地控制器,结构简单,具有较好的可扩展性与自组织性,同时该方法能够在一定程度上克服上述3种传统编队控制方法的缺点。此外,在实际应用中,无人集群系统往往工作在较为复杂的外部环境下,如无人机在大侧风条件下飞行,无人车在复杂地形中运动等,为了应对未知的外部干扰,希望异构系统中各个体在存在扰动的情况下仍能实现期望的时变编队,因此需要对时变编队控制中的扰动抑制问题进行研究。
基于以上分析,本文针对一类典型的异构系统协同控制问题即无人机-无人车空地协同时变输出编队控制,提出了一种具有扰动抑制作用的时变编队控制方法。给出了控制器架构,参数设计方法和稳定性证明,最后进行了仿真试验,验证其有效性。
1 基础理论与系统建模 1.1 数学基础与图论文中相关变量定义:Rm×n表示m×n阶矩阵的集合;IN表示维度为N的单位矩阵;diag(A1, A2, …, An)表示对角元为A1, A2, …, An的块对角矩阵;||x||表示向量x的欧几里得范数;A⊗B表示矩阵A与矩阵B的克罗内克积。
在集群系统协同控制中,每个个体除了完成自身的闭环控制之外,还受到其他邻居个体影响,为了方便表达这种个体间相互影响,使用图论来描述这种影响关系。
将集群中的所有对象描述为节点集S={s1, s2, …, sN},其中每个个体i对应的节点si。对象i对对象j的影响对应于图中的一条边eij=(si, sj),集群中全部影响关系对应边集ε⊆{(si, sj):si, sj∈S}。个体间的相互影响强度由图的邻接矩阵W=[wij]∈RN×N描述。W的每个元素wij描述个体j对个体i的影响强度,wij非负。
综上所述,N阶图的三元组G={S, ε, W}描述了对象集群中相互作用关系。
每个节点i入度为
当图中存在一个节点到其他所有节点均有有向路径时,则称该图包含一个生成树。
1.2 线性系统理论定义1 对于方阵S,如果
| $ {{\mathit{\boldsymbol{x}}_i} = {{[x_i^X,v_i^X,x_i^Y,v_i^Y]}^{\rm{T}}}} $ |
式中:β表示常值方阵,其特征多项式等于S的最小多项式;σ为常值列向量,满足(β, σ)可控。则称矩阵对(Q1, Q2)包含矩阵S的最小p-copy内模。
考虑如下线性时不变系统[27]:
| $ \left\{ {\begin{array}{*{20}{l}} {{{\mathit{\boldsymbol{\dot x}}}_i}(t) = {\mathit{\boldsymbol{A}}_i}{\mathit{\boldsymbol{x}}_i}(t) + {\mathit{\boldsymbol{B}}_i}{\mathit{\boldsymbol{u}}_i}(t)}\\ {{\mathit{\boldsymbol{y}}_i}(t) = {\mathit{\boldsymbol{C}}_i}{\mathit{\boldsymbol{x}}_i}(t)} \end{array}} \right. $ | (1) |
式中:x(t)∈Rn、u(t)∈Rm与y(t)∈Rq分别表示系统的状态、控制输入和输出;A∈Rn×n、B∈Rn×m和C∈Rq×n分别表示系统矩阵、输入矩阵和输出矩阵。
定义2 对于矩阵A∈Cn×n,若A阵的所有特征值都具有负实部,则称A为Hurwitz矩阵。
定义3 如果存在矩阵K∈Rm×n使得矩阵A+BK是Hurwitz的,则称上述线性时不变系统是可镇定的,或(A, B)是可镇定的。
定义4 如果存在矩阵F∈Rn×q使得矩阵A+FC是Hurwitz的,则称上述线性时不变系统是可检测的,或(C, A)是可检测的。
引理1 如果A阵是Hurwitz的,则上述系统是输入-状态稳定的。此外对于输入-状态稳定的系统,如果
引理2[28] 如果A阵的特征值不具有负实部,假设(Q1, Q2)包含A阵的最小p-copy内模。令
| $ {\mathit{\boldsymbol{A}}_c} = \left[ {\begin{array}{*{20}{c}} {\mathit{\boldsymbol{\hat A}}}&{\mathit{\boldsymbol{\hat B}}}\\ {{\mathit{\boldsymbol{Q}}_2}\mathit{\boldsymbol{\hat C}}}&{{\mathit{\boldsymbol{Q}}_1} + {\mathit{\boldsymbol{Q}}_2}\mathit{\boldsymbol{\hat D}}} \end{array}} \right] $ | (2) |
为指数稳定的,
| $ \left\{ {\begin{array}{*{20}{l}} {\mathit{\boldsymbol{XA}} = \mathit{\boldsymbol{\hat AX}} + \mathit{\boldsymbol{\hat BZ}} + \mathit{\boldsymbol{\hat E}}}\\ {\mathit{\boldsymbol{ZA}} = {\mathit{\boldsymbol{Q}}_1}\mathit{\boldsymbol{Z}} + {\mathit{\boldsymbol{Q}}_2}(\mathit{\boldsymbol{\hat CX}} + \mathit{\boldsymbol{\hat DZ}} + \mathit{\boldsymbol{\hat F}})} \end{array}} \right. $ | (3) |
存在唯一矩阵解对(X, Z), 且满足:
| $ \mathit{\boldsymbol{\hat CX}} + \mathit{\boldsymbol{\hat DZ}} + \mathit{\boldsymbol{\hat F}} = {{\bf 0}} $ | (4) |
无人车选择基于麦克纳姆轮的无人车,其具有可全向移动、数学模型简单、易设计控制方法的特性,其结构布局如图 1所示。其中,ω表示无人车的旋转角速度, ωmi(i=1, 2, 3, 4)表示第i个麦克纳姆轮的旋转角速度;α表示麦克纳姆轮的辊轴与轮轴之间的夹角;lx、ly分别表示麦克纳姆轮中心与无人车中心沿x轴与y轴的相对距离。X-Y坐标系为惯性坐标系,XG-YG坐标系为车体坐标系,其夹角θ为车体偏航角。
|
| 图 1 麦克纳姆轮无人车示意图 Fig. 1 Diagram of Mecanum wheel UGV |
本文无人车4个麦克纳姆轮采用对称布局,α1=45°,α2=-45°,α3=45°,α4=-45°,保证其逆运动学方程的Jacobian矩阵列满秩,进而可以实现在3个自由度上全方位移动,即不仅可以实现水平面内任意方向的直线运动而且可以实现原地旋转。其运动学模型为
| $ \left[ {\begin{array}{*{20}{l}} {{v_x}}\\ {{v_y}}\\ \omega \end{array}} \right] = \left[ {\begin{array}{*{20}{c}} {\frac{R}{4}{\rm{tan}}\alpha }&{ - \frac{R}{4}{\rm{tan}}\alpha }&{ - \frac{R}{4}{\rm{tan}}\alpha }&{\frac{R}{4}{\rm{tan}}\alpha }\\ {\frac{R}{4}}&{\frac{R}{4}}&{\frac{R}{4}}&{\frac{R}{4}}\\ { - \frac{{R{\rm{tan}}\alpha }}{{4({l_x} + {l_y})}}}&{\frac{{R{\rm{tan}}\alpha }}{{4({l_x} + {l_y})}}}&{ - \frac{{R{\rm{tan}}\alpha }}{{4({l_x} + {l_y})}}}&{\frac{{R{\rm{tan}}\alpha }}{{4({l_x} + {l_y})}}} \end{array}} \right]\left[ {\begin{array}{*{20}{l}} {{\omega _{m1}}}\\ {{\omega _{m2}}}\\ {{\omega _{m3}}}\\ {{\omega _{m4}}} \end{array}} \right] $ | (5) |
式中:vx和vy分别表示无人车沿车体x轴与y轴的速度;R表示麦克纳姆轮的半径;设无人车在惯性系下的位置坐标为(x, y),车体系y轴与惯性系x轴之间夹角为θ(偏航角),则有
| $ \left\{ {\begin{array}{*{20}{l}} {x = {v_x}{\rm{cos}}\theta - {v_y}{\rm{sin}}\theta }\\ {\dot y = {v_x}{\rm{cos}}\theta + {v_y}{\rm{cos}}\theta }\\ {\dot \theta = \omega } \end{array}} \right. $ | (6) |
无人机选择四旋翼飞行器,其动力学模型建立如下:
| $ \left\{ \begin{array}{l} \begin{array}{*{20}{l}} {\ddot x = ( - {\rm{sin}}\phi {\rm{sin}}\psi - {\rm{cos}}\phi {\rm{sin}}\theta {\rm{cos}}\psi )\frac{{{u_1}}}{m}}\\ {\ddot y = ( - {\rm{cos}}\phi {\rm{sin}}\theta {\rm{sin}}\psi + {\rm{sin}}\phi {\rm{cos}}\psi )\frac{{{u_1}}}{m}} \end{array}\\ \begin{array}{*{20}{l}} {\ddot z = - {\rm{cos}}\phi {\rm{cos}}\theta \frac{{{u_1}}}{m} + g}\\ {\ddot \phi = \frac{{{u_2}L}}{{{I_{xx}}}} + \dot \theta \dot \psi \frac{{{I_{yy}} - {I_{zz}}}}{{{I_{xx}}}}}\\ {\ddot \theta = \frac{{{u_3}L}}{{{I_{yy}}}} + \dot \phi \dot \psi \frac{{{I_{zz}} - {I_{xx}}}}{{{I_{yy}}}}}\\ {\ddot \psi = \frac{{{u_4}}}{{{I_{zx}}}} + \dot \phi \frac{{{I_{xx}} - {I_{yy}}}}{{{I_{zz}}}}} \end{array} \end{array} \right. $ | (7) |
式中:x、y、z表示无人机在空间的位置;ϕ、θ、ψ表示滚转角、俯仰角、偏航角;m表示无人机的质量;Ixx、Iyy、Izz分别表示关于x、y、z轴的转动惯量;L表示电机轴与机身中心的距离;g表示重力加速度;u1、u2、u3、u4表示无人机控制输入,定义为
| $ \left[ {\begin{array}{*{20}{l}} {{u_1}}\\ {{u_2}}\\ {{u_3}}\\ {{u_4}} \end{array}} \right] = \left[ {\begin{array}{*{20}{l}} b&b&b&b\\ 0&b&0&{ - b}\\ b&0&{ - b}&0\\ d&{ - d}&d&{ - d} \end{array}} \right]\left[ {\begin{array}{*{20}{c}} {\omega _1^2}\\ {\omega _2^2}\\ {\omega _3^2}\\ {\omega _4^2} \end{array}} \right] $ | (8) |
其中:b表示升力系数;d表示扭矩系数;ω1、ω2、ω3、ω4分别表示旋翼1、2、3、4的转速;u1表示垂直于机身方向的总升力;u2表示影响飞机俯仰运动的升力差;u3表示影响飞机滚转运动的升力差;u4表示影响飞机偏航运动的扭矩。
2 问题描述在地面惯性系OXYZ下,由于无人车仅在水平面(OXY平面)内运动,不存在轴方向的运动,并且各无人机的高度向运动与横侧向解耦可以单独控制,可在定高模式下水平运动。因此,仅考虑无人机-无人车集群OXY在平面内的编队运动控制。
每个无人机/无人车自身的姿态稳定控制是编队控制的基础,国内外学者在这方面也有着丰富的理论研究和相关实验;但是编队运动控制的研究重点在于多无人机-无人车之间的相对位置、形成的编队构型以及整体的编队运动等问题,因此,在本文的编队控制器设计及分析中,合理地忽略姿态控制的动态过程,仅考虑各无人机/无人车在空间中的位置控制。给出如图 2所示的无人机-无人车异构集群系统的双环控制结构,每个无人机/无人车在内环独立进行姿态控制,在外环进行编队控制时每个无人机/无人车获取自身和邻居的位置、速度等状态信息,由1.3节建立的动力学模型特性可知无人车可直接响应速度指令,无人机通过姿态控制实现编队环所需的输出。
|
| 图 2 无人机/无人车控制结构 Fig. 2 Control structure of UAV/UGV |
在实际的无人机/无人车运动控制系统中,麦克纳姆轮无人车可以通过在内环的速度控制解算实现任意方向的运动,四旋翼无人机的位置控制可以通过调整姿态和推力实现任意方向的运动,且内外环的控制输出频率和响应时间常数均有数量级的差距,因此,在编队控制器分析设计时,其姿态环动态响应过程相对于编队控制可以忽略。
选取无人机水平面内的位置和速度为状态变量,即
| $ \left\{ {\begin{array}{*{20}{l}} {{{\dot x}_i} = {v_{ix}}}\\ {{{\dot v}_{ix}} = ( - {\phi _i}{\rm{sin}}{\psi _i} - {\theta _i}{\rm{cos}}{\psi _i})g}\\ {{{\dot y}_i} = {v_{yi}}}\\ {{{\dot v}_{iy}} = ( - {\phi _i}{\rm{cos}}{\psi _i} - {\theta _i}{\rm{sin}}{\psi _i})g} \end{array}} \right. $ | (9) |
定义系统的控制输入为
| $ \left\{ {\begin{array}{*{20}{l}} {{u_{ix}} = ( - {\phi _i}{\rm{sin}}{\psi _i} - {\theta _i}{\rm{cos}}{\psi _i})g}\\ {{u_{iy}} = ( - {\phi _i}{\rm{cos}}{\psi _i} - {\theta _i}{\rm{sin}}{\psi _i})g} \end{array}} \right. $ | (10) |
选取无人车水平面内的位置为状态变量,速度为输入,则有
| $ \left\{ {\begin{array}{*{20}{l}} {\dot x(t) = v(t)}\\ {u(t) = v(t)} \end{array}} \right. $ | (11) |
在无人机/无人车实际运动过程中,偏航角ψ通常会根据需要指定为常值,在运动过程中通常为低速小机动运动,因此俯仰角θ和滚转角ϕ均为小值,且动态响应特性迅速。为方便时变编队问题的描述与分析,对于无人机/无人车在低速小机动假设下,在平衡状态附近进行编队控制设计与分析,将无人机与无人车的模型统一表示为如下线性状态空间模型:
| $ \left\{ {\begin{array}{*{20}{l}} {{{\mathit{\boldsymbol{\dot x}}}_i}(t) = {\mathit{\boldsymbol{A}}_i}{\mathit{\boldsymbol{x}}_i}(t) + {\mathit{\boldsymbol{B}}_i}{\mathit{\boldsymbol{u}}_i}(t)}\\ {{\mathit{\boldsymbol{y}}_i}(t) = {\mathit{\boldsymbol{C}}_i}{\mathit{\boldsymbol{x}}_i}(t)} \end{array}} \right. $ | (12) |
对无人机i(i∈FA),有
| $ {{\mathit{\boldsymbol{u}}_i} = {{[u_i^X,u_i^Y]}^{\rm{T}}}} $ |
| $ {{\mathit{\boldsymbol{A}}_i} = {\mathit{\boldsymbol{I}}_2} \otimes \left[ {\begin{array}{*{20}{l}} 0&1\\ 0&0 \end{array}} \right]} $ |
| $ {{\mathit{\boldsymbol{B}}_i} = {\mathit{\boldsymbol{I}}_2} \otimes \left[ {\begin{array}{*{20}{l}} 0\\ 1 \end{array}} \right]} $ |
| $ {{\mathit{\boldsymbol{C}}_i} = {\mathit{\boldsymbol{I}}_2} \otimes \left[ {\begin{array}{*{20}{l}} 1&0 \end{array}} \right]} $ |
| $ {{\mathit{\boldsymbol{x}}_i} = {{\left[ {\begin{array}{*{20}{l}} {x_i^X}&{,x_i^Y} \end{array}} \right]}^{\rm{T}}}} $ |
对于无人车i(i∈FG),有
| $ {{\mathit{\boldsymbol{u}}_i} = {{\left[ {\begin{array}{*{20}{l}} {u_i^X}&{,u_i^Y} \end{array}} \right]}^{\rm{T}}}} $ |
| $ {{\mathit{\boldsymbol{A}}_i} = {{{\bf 0}}_{2 \times 2}}} $ |
| $ {{\mathit{\boldsymbol{B}}_i} = {\mathit{\boldsymbol{I}}_2}} $ |
| $ {{\mathit{\boldsymbol{C}}_i} = {\mathit{\boldsymbol{I}}_2}} $ |
对无人机-无人车系统所受未知外部扰动建立状态空间描述模型,设未知扰动满足如下状态方程:
| $ {\mathit{\boldsymbol{\dot w}}_i}(t) = {\mathit{\boldsymbol{S}}_{wi}}{\mathit{\boldsymbol{w}}_i}(t) $ | (13) |
通过选取不同的Swi,可描述不同类型的外部扰动,例如脉冲扰动、常值扰动、周期扰动等。
综上所述,可将受到扰动情况的无人机/车模型统一建立为
| $ \left\{ {\begin{array}{*{20}{l}} {{{\mathit{\boldsymbol{\dot x}}}_i}(t) = {\mathit{\boldsymbol{A}}_i}{\mathit{\boldsymbol{x}}_i}(t) + {\mathit{\boldsymbol{B}}_i}{\mathit{\boldsymbol{u}}_i}(t) + {\mathit{\boldsymbol{W}}_i}{\mathit{\boldsymbol{w}}_i}(t)}\\ {{\mathit{\boldsymbol{y}}_i}(t) = {\mathit{\boldsymbol{C}}_i}{\mathit{\boldsymbol{x}}_i}(t)} \end{array}} \right. $ | (14) |
式中:i∈{1, 2, …, N}; xi(t)∈Rni; ui(t)∈Rmi; wi(t)∈Rli, 和yi(t)∈Rp, 分别表示第i个无人机/车的状态、控制输入、外部扰动和系统输出。要求(Ai, Bi)是可镇定的,(Ci, Ai)是可检测的。由于无人机与无人车状态变量维数不一致,故选取合适的输出方程使得输出yi(t)具有相同的维度,以实现期望的时变输出编队。
采用代数图论描述多无人机/无人车之间的作用拓扑关系,定义G为集群系统作用拓扑所对应的有向图,将无人机、无人车表示为图G中的节点,令wij为节点j到节点i的作用强度,要求有向图G具有生成树。
无人机-无人车异构系统期望的编队构型利用分段连续可微时变向量hy=[hy1T, hy2T, …, hyNT]T刻画。对于各无人机/无人车的任意有界初始状态,如果存在一个向量函数ry(t)∈Rp,有
| $ \mathop {{\rm{lim}}}\limits_{t \to \infty } ({\mathit{\boldsymbol{y}}_i}(t) - {\mathit{\boldsymbol{h}}_{{y_i}}}(t) - {\mathit{\boldsymbol{r}}_y}(t)) = {{\bf 0}}\;\:i = 1,2, \cdots ,N $ | (15) |
则称无人机-无人车集群实现了由hy(t)描述的期望输出时变编队,其中ry(t)被称为时变输出编队参考函数。
3 时变编队控制器设计与分析 3.1 时变编队控制器设计由于无人机/无人车具有不同的状态空间模型,所以本文提出一种针对异构系统的具有分层架构的组合分布式时变编队控制器,以实现异构系统的时变输出编队。其主要由3部分构成:对异构系统的编队参考函数ry(t)进行估计的编队中心估计器pi(t),对未知外部扰动wi(t)进行补偿的扰动抑制补偿器qi(t),以及基于编队中心估计和扰动补偿的分布式时变输出编队控制器ui(t)。
对于无人机/车i(i∈{1, 2, …, N}), 构造如下控制器:
| $ \left\{ \begin{array}{l} {{\mathit{\boldsymbol{\dot p}}}_i}(t) = {\mathit{\boldsymbol{S}}_p}{\mathit{\boldsymbol{p}}_i}(t) - \alpha {\mathit{\boldsymbol{K}}_p}\sum\limits_{j = 1}^N {{\mathit{\boldsymbol{w}}_{ij}}} ({\mathit{\boldsymbol{\xi }}_i}(t) - {\mathit{\boldsymbol{\xi }}_j}(t))\\ {{\mathit{\boldsymbol{\dot q}}}_i}(t) = {{\mathit{\boldsymbol{\bar Q}}}_{1i}}{\mathit{\boldsymbol{q}}_i}(t) + {{\mathit{\boldsymbol{\bar Q}}}_{2i}}({\mathit{\boldsymbol{y}}_i}(t) - {\mathit{\boldsymbol{h}}_{yi}}(t) - {\mathit{\boldsymbol{\xi }}_i}(t))\\ {\mathit{\boldsymbol{u}}_i}(t) = {\mathit{\boldsymbol{K}}_{1i}}{\mathit{\boldsymbol{x}}_i}(t) + {\mathit{\boldsymbol{K}}_{2i}}({\mathit{\boldsymbol{p}}_i}(t) + {\mathit{\boldsymbol{\delta }}_i}(t)) + \\ {\kern 1pt} {\kern 1pt} {\kern 1pt} {\kern 1pt} {\kern 1pt} {\kern 1pt} {\kern 1pt} {\kern 1pt} {\kern 1pt} {\kern 1pt} {\kern 1pt} {\kern 1pt} {\kern 1pt} {\kern 1pt} {\kern 1pt} {\kern 1pt} {\kern 1pt} {\kern 1pt} {\mathit{\boldsymbol{K}}_{3i}}{\mathit{\boldsymbol{q}}_i}(t) + {\mathit{\boldsymbol{v}}_i}(t) \end{array} \right. $ | (16) |
式中:pi(t)∈Rq表示编队中心估计器的状态;δi(t)∈Rq表示相对于pi(t)的状态偏移向量;vi(t)∈Rmi表示时变编队补偿信号;qi(t)表示扰动控制器的内模;ξi(t)∈Rp表示编队中心估计器的输出;Sp与F表示常值系数矩阵,且要求(F, Sp)是可检测的;K1i、K2i、K3i、Kp、Q1i、Q2i表示增益系数矩阵; α为邻居信息增益系数。
上述控制器中第1式为编队中心估计器,为状态模型不同的异构系统中的每个个体配备一个虚拟同构系统,基于自身状态和邻居信息局部交互反馈设计合理的增益矩阵和增益系数使得ξi(t)收敛至ry(t);第2式为扰动抑制补偿器,采用内模控制原理,对控制器的自身内状态qi(t)和系统输出误差进行反馈,用来补偿未知外部扰动wi(t)的影响。
3.2 时变编队控制器参数选取算法考虑异构系统协同控制中的常用假设,针对无人机-无人车异构时变编队控制器设计有:
假设1 利用有向图G表示无人机-无人车异构系统对应的作用拓扑,L表示图G的拉普拉斯矩阵,要求有向图G具有生成树。
假设2 存在矩阵对(Xi, Ui)(i=1, 2, …, N),使得如下调节器方程成立:
| $ \left\{ {\begin{array}{*{20}{l}} {{\mathit{\boldsymbol{X}}_i}{\mathit{\boldsymbol{S}}_p} = {\mathit{\boldsymbol{A}}_i}{\mathit{\boldsymbol{X}}_i} + {\mathit{\boldsymbol{B}}_i}{\mathit{\boldsymbol{U}}_i}}\\ {{\mathit{\boldsymbol{C}}_i}{\mathit{\boldsymbol{X}}_i} - \mathit{\boldsymbol{F}} = {{\bf 0}}} \end{array}} \right. $ | (17) |
假设3 令σ(Swi)表示矩阵Swi所有特征值的集合,对于任意λwi∈σ(Swi),有λwi不具有负实部,且
在满足上述假设的条件下,给出编队控制器的参数设计算法。
对于无人机/无人车i,时变编队控制器的设计算法如下:
Step 1 选取使得调节器方程成立的矩阵对解(Xi, Ui)。对于给定的时变输出编队构型hy(t),检验是否存在编队补偿输入vi(t)使得如下编队可行性条件成立:
| $ \mathop {{\rm{lim}}}\limits_{t \to \infty } ({\mathit{\boldsymbol{X}}_i}({\mathit{\boldsymbol{S}}_p}{\mathit{\boldsymbol{\delta }}_i} - {\mathit{\boldsymbol{\dot \delta }}_i}) + {\mathit{\boldsymbol{B}}_i}{\mathit{\boldsymbol{v}}_i}) = 0 $ | (18) |
如果所有无人机/无人车都存在vi(t)(i=1, 2, …, N)使得编队可行性条件成立,则算法继续;否则,给定的时变输出编队构型hy(t)在本文设计的控制器下不可行,算法终止。
Step 2 选取K2i使得Ai+BiK1i是Hurwitz的,令K2i=Ui-K1iXi。
Step 3 选取增益系数
| $ \mathit{\boldsymbol{PS}}_p^{\rm{T}} + {\mathit{\boldsymbol{S}}_p}\mathit{\boldsymbol{P}} - \mathit{\boldsymbol{P}}{\mathit{\boldsymbol{F}}^{\rm{T}}}\mathit{\boldsymbol{FP}} + \mathit{\boldsymbol{Q}} = {{\bf 0}} $ | (19) |
式中:Q为给定正定矩阵。
Step 4 令
如果假设1~3成立,且给定的时变输出编队满足编队可行性条件,则无人机-无人车异构系统在由3.1节所述的控制器以及3.2节所述算法选取的增益矩阵与参数的作用下,能够对未知扰动有效抑制实现期望的时变输出编队。
证明 无人机/车i的编队中心估计器pi为同构系统,令p=[p1T, p2T, …, pNT]T,则其可写为
| $ \mathit{\boldsymbol{\dot p}} = ({\mathit{\boldsymbol{I}}_N} \otimes {\mathit{\boldsymbol{S}}_p})\mathit{\boldsymbol{p}} - \alpha (\mathit{\boldsymbol{L}} \otimes {\mathit{\boldsymbol{K}}_p}\mathit{\boldsymbol{F}})\mathit{\boldsymbol{p}} $ | (20) |
令λi表示拉普拉斯矩阵的特征值,在假设1的条件下,有λ1=0,0 < Re(λ2)≤…≤Re(λN)。存在非奇异矩阵
| $ \left\{ {\begin{array}{*{20}{l}} {{{\mathit{\boldsymbol{\dot \vartheta}} }_1} = {\mathit{\boldsymbol{S}}_p}{\mathit{\boldsymbol{\vartheta _1}}}}\\ {\mathit{\boldsymbol{\dot {\bar \vartheta}}} = (({\mathit{\boldsymbol{I}}_{N - 1}} \otimes {\mathit{\boldsymbol{S}}_p}) - \alpha (\mathit{\boldsymbol{\bar J}} \otimes {\mathit{\boldsymbol{K}}_p}\mathit{\boldsymbol{F}})){\mathit{\boldsymbol{\bar \vartheta}}} } \end{array}} \right. $ | (21) |
令
考虑系统:
| $ {\mathit{\boldsymbol{\dot \theta }}_i} = ({\mathit{\boldsymbol{S}}_p} - \alpha {\lambda _i}{\mathit{\boldsymbol{K}}_p}\mathit{\boldsymbol{F}}){\mathit{\boldsymbol{\theta }}_i}\;\:i = 2,3, \cdots ,N $ | (22) |
构造Lyapunov函数Vi=θiHP-1θi, 代入Kp=PFT, 对Lyapunov函数求导可得
| $ {\mathit{\boldsymbol{\dot V}}_i} = \mathit{\boldsymbol{\theta }}_i^{\rm{H}}({\mathit{\boldsymbol{P}}^{ - 1}}{\mathit{\boldsymbol{S}}_r} + \mathit{\boldsymbol{S}}_r^{\rm{T}}\mathit{\boldsymbol{P}} - 2\alpha {\rm{Re}} ({\lambda _i}){\mathit{\boldsymbol{F}}^{\rm{T}}}\mathit{\boldsymbol{F}}){\mathit{\boldsymbol{\theta }}_i} $ | (23) |
令θi=P-1θi, 由算法Step 3中
| $ {\mathit{\boldsymbol{\dot V}}_i} = \mathit{\boldsymbol{\bar \theta }}_i^{\rm{H}}({\mathit{\boldsymbol{P}}^{ - 1}}{\mathit{\boldsymbol{S}}_r} + \mathit{\boldsymbol{S}}_r^{\rm{T}}\mathit{\boldsymbol{P}} - 2\alpha {\rm{Re}} ({\lambda _i}){\mathit{\boldsymbol{F}}^{\rm{T}}}\mathit{\boldsymbol{F}}){\bar \theta _i} $ | (24) |
因此,有矩阵组Sp-αλiKpF(i=2, 3, …, N)是Hurwitz的,即每个无人机/车i的编队中心估计器pi的状态实现了一致。其中,ϑ1=(t1⊗Iq)p表示编队中心估计器的状态一致函数。输出编队参考函数可表示为ry=Fϑ1。
令状态误差为
| $ \begin{array}{*{20}{l}} {{{\mathit{\boldsymbol{\dot {\tilde x}}}}_i} = {{\mathit{\boldsymbol{\bar A}}}_i}{{\mathit{\boldsymbol{\tilde x}}}_i} + {\mathit{\boldsymbol{B}}_i}{\mathit{\boldsymbol{K}}_{3i}}{\mathit{\boldsymbol{q}}_i} + {\mathit{\boldsymbol{W}}_i}{\mathit{\boldsymbol{w}}_i} + {\mathit{\boldsymbol{X}}_i}({\mathit{\boldsymbol{S}}_p}{\mathit{\boldsymbol{\delta }}_i} - {{\mathit{\boldsymbol{\dot \delta }}}_i}) + }\\ {{\kern 1pt} {\kern 1pt} {\kern 1pt} {\kern 1pt} {\kern 1pt} {\kern 1pt} {\kern 1pt} {\kern 1pt} {\kern 1pt} {\kern 1pt} {\kern 1pt} {\kern 1pt} {\kern 1pt} {\kern 1pt} {\kern 1pt} {\kern 1pt} {\kern 1pt} {\kern 1pt} {\kern 1pt} {\kern 1pt} {\kern 1pt} {\kern 1pt} {\kern 1pt} {\kern 1pt} {\kern 1pt} {\kern 1pt} {\kern 1pt} {\mathit{\boldsymbol{B}}_i}{\mathit{\boldsymbol{v}}_i} + \alpha {\mathit{\boldsymbol{X}}_i}{\mathit{\boldsymbol{K}}_{pi}}\sum\limits_{j = 1}^N {{\mathit{\boldsymbol{w}}_{ij}}} ({\mathit{\boldsymbol{\xi }}_i}(t) - {\mathit{\boldsymbol{\xi }}_j}(t))} \end{array} $ | (25) |
由于时变输出编队可行性条件成立,可得
| $ {\mathit{\boldsymbol{\tilde n}}_i} = \alpha {\mathit{\boldsymbol{X}}_i}{\mathit{\boldsymbol{K}}_{pi}}\sum\limits_{j = 1}^N {{\mathit{\boldsymbol{w}}_{ij}}} ({\mathit{\boldsymbol{\xi }}_i}(t)) - {\mathit{\boldsymbol{\xi }}_j}(t))) \to {{\bf 0}} $ | (26) |
令输出编队误差为ei=yi-ξi-hyi,则将yi=Cixi, ξi=Fpi, hyi=Fδi以及调节器方程CiXi-F=0代入,可得
| $ {\mathit{\boldsymbol{e}}_i} = {\mathit{\boldsymbol{y}}_i} - {\mathit{\boldsymbol{\xi }}_i} - {\mathit{\boldsymbol{h}}_{yi}} = {\mathit{\boldsymbol{C}}_i}({\mathit{\boldsymbol{x}}_i} - {\mathit{\boldsymbol{X}}_i}({\mathit{\boldsymbol{p}}_i} + {\mathit{\boldsymbol{\delta }}_i})) = {\mathit{\boldsymbol{C}}_i}{\mathit{\boldsymbol{\tilde x}}_i} $ | (27) |
则有
| $ \left\{ {\begin{array}{*{20}{l}} {{{\mathit{\boldsymbol{\dot {\tilde x}}}}_i} = {{\mathit{\boldsymbol{\bar A}}}_i}{{\mathit{\boldsymbol{\tilde x}}}_i} + {\mathit{\boldsymbol{B}}_i}{\mathit{\boldsymbol{K}}_{3i}}{\mathit{\boldsymbol{q}}_i} + {\mathit{\boldsymbol{W}}_i}{\mathit{\boldsymbol{w}}_i} + {{\mathit{\boldsymbol{\tilde h}}}_i} + {{\mathit{\boldsymbol{\tilde n}}}_i}}\\ {{{\mathit{\boldsymbol{\dot q}}}_i}(t) = {{\mathit{\boldsymbol{\bar Q}}}_{1i}}{\mathit{\boldsymbol{q}}_i}(t) + {{\mathit{\boldsymbol{\bar Q}}}_{2i}}({\mathit{\boldsymbol{y}}_i}(t) - {\mathit{\boldsymbol{h}}_{yi}}(t) - {\mathit{\boldsymbol{\xi }}_i}(t))}\\ {{\mathit{\boldsymbol{e}}_i} = {\mathit{\boldsymbol{C}}_i}{{\mathit{\boldsymbol{\tilde x}}}_i}} \end{array}} \right. $ | (28) |
令
| $ \left\{ {\begin{array}{*{20}{l}} {{{\mathit{\boldsymbol{\dot \varphi }}}_i} = {\mathit{\boldsymbol{A}}_{{\mathit{\boldsymbol{\varphi }}_i}}}{\mathit{\boldsymbol{\varphi }}_i} + {\mathit{\boldsymbol{B}}_{{\mathit{\boldsymbol{\varphi }}_i}}}{\mathit{\boldsymbol{w}}_i} + {{\mathit{\boldsymbol{\tilde \eta }}}_i}}\\ {{\mathit{\boldsymbol{e}}_i} = {\mathit{\boldsymbol{C}}_{{\mathit{\boldsymbol{\varphi }}_i}}}{\mathit{\boldsymbol{\varphi }}_i}} \end{array}} \right. $ | (29) |
式中:
将Q1i和Q2i代入Aφi,并对其进行相似变换可得
| $ {\mathit{\boldsymbol{A}}_{{\mathit{\boldsymbol{\varphi }}_i}}} \backsim \left[ {\begin{array}{*{20}{c}} {{{\mathit{\boldsymbol{\bar A}}}_i} + {\mathit{\boldsymbol{B}}_i}{\mathit{\boldsymbol{K}}_{3i1}}}&{{\mathit{\boldsymbol{B}}_i}{\mathit{\boldsymbol{K}}_{3i2}}}&{{\mathit{\boldsymbol{B}}_i}{\mathit{\boldsymbol{K}}_{3i1}}}\\ {{\mathit{\boldsymbol{Q}}_{2i}}{\mathit{\boldsymbol{C}}_i}}&{{\mathit{\boldsymbol{Q}}_{1i}}}&{{\bf 0}}\\ {{\bf 0}}&{{\bf 0}}&{{{\mathit{\boldsymbol{\bar A}}}_i}} \end{array}} \right] $ | (30) |
由于Ai和
由于Aφi也是Hurwitz的,(Q1i, Q2i)包含Swi的最小p-copy内模,在假设3的条件下,根据引理2可得下列矩阵方程存在唯一解(Xwi, Zwi):
| $ \left\{ {\begin{array}{*{20}{l}} {{\mathit{\boldsymbol{X}}_{wi}}{\mathit{\boldsymbol{S}}_{wi}} = {{\mathit{\boldsymbol{\bar A}}}_i}{\mathit{\boldsymbol{X}}_{wi}} + {\mathit{\boldsymbol{B}}_i}{\mathit{\boldsymbol{K}}_{3i}}{\mathit{\boldsymbol{Z}}_{wi}} + {\mathit{\boldsymbol{W}}_i}}\\ {{\mathit{\boldsymbol{Z}}_{wi}}{\mathit{\boldsymbol{S}}_{wi}} = {{\mathit{\boldsymbol{\bar Q}}}_{2i}}{\mathit{\boldsymbol{C}}_i}{\mathit{\boldsymbol{X}}_{wi}} + {{\mathit{\boldsymbol{\bar Q}}}_{1i}}{\mathit{\boldsymbol{Z}}_{wi}}}\\ {{\mathit{\boldsymbol{C}}_i}{\mathit{\boldsymbol{X}}_{wi}} = {{\bf 0}}} \end{array}} \right. $ | (31) |
令
| $ \left\{ {\begin{array}{*{20}{l}} {{{\mathit{\boldsymbol{\bar X}}}_{{\mathit{\boldsymbol{\varphi }}_i}}}{\mathit{\boldsymbol{S}}_{wi}} = {\mathit{\boldsymbol{A}}_{{\mathit{\boldsymbol{\varphi }}_i}}}{{\mathit{\boldsymbol{\bar X}}}_{{\mathit{\boldsymbol{\varphi }}_i}}} + {\mathit{\boldsymbol{B}}_{{\mathit{\boldsymbol{\varphi }}_i}}}}\\ {{\mathit{\boldsymbol{C}}_{{\mathit{\boldsymbol{\varphi }}_i}}}{{\mathit{\boldsymbol{\bar X}}}_{{\mathit{\boldsymbol{\varphi }}_i}}} = {{\bf 0}}} \end{array}} \right. $ | (32) |
令
| $ \left\{ {\begin{array}{*{20}{l}} {{{\mathit{\boldsymbol{\dot {\tilde \varphi }}}}_i} = {\mathit{\boldsymbol{A}}_{{\mathit{\boldsymbol{\varphi }}_i}}}{{\mathit{\boldsymbol{\tilde \varphi }}}_i} + {{\mathit{\boldsymbol{\tilde \eta }}}_i}}\\ {{\mathit{\boldsymbol{e}}_i} = {\mathit{\boldsymbol{C}}_{{\mathit{\boldsymbol{\varphi }}_i}}}{{\mathit{\boldsymbol{\tilde \varphi }}}_i}} \end{array}} \right. $ | (33) |
由于Aφi是Hurwitz的,且
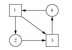
考虑由2辆无人车(编号为1, 3,图 3中方形表示)和2架无人机(编号为2, 4,图 3中圆形表示)组成的异构集群系统,设置无人机/无人车运动偏航角均为0°,且假设其具有良好的姿态稳定控制性能,即在形成编队的过程中机(车)头方向保持不变。为贴合实际,仿真在原系统模型上进行,且考虑动态过程和输入限幅,将无人车水平运动XY方向的速度限制在3 m/s,将无人机滚转角和俯仰角限制在±20°,超过时则按20°执行。其未知外部扰动配置采用第2节中所述状态空间模型,为无人车设置常值扰动,为无人机设置非定常扰动,选取:
|
| 图 3 异构系统通信拓扑 Fig. 3 Communication topology of heterogeneous system |
无人车:SwG=02×2,WG=I2,wG(0)=[1, 1]T。
无人机:
对于编队中心估计器,选取:
| $ {\mathit{\boldsymbol{S}}_r} = {\mathit{\boldsymbol{I}}_2} \otimes \left[ {\begin{array}{*{20}{l}} 0&1\\ 0&0 \end{array}} \right],\mathit{\boldsymbol{F}} = {\mathit{\boldsymbol{I}}_2} \otimes \left[ {\begin{array}{*{20}{l}} 1&0 \end{array}} \right]。$ |
异构系统作用拓扑如图 3所示,通信结构为有向通信拓扑,满足具有生成树。无人机与无人车期望形成旋转圆形编队的构型。2辆无人车在地面运行,2架无人机定高模式飞行,故本仿真中只考虑XY平面内的时变输出编队控制与扰动抑制问题。
4.1.2 期望时变编队构型设计为刻画期望的旋转圆形编队构型,对于各无人机与无人车,将时变输出编队向量描述如下:
| $ {\mathit{\boldsymbol{h}}_{yi}}(t) = \left[ {\begin{array}{*{20}{c}} {r{\rm{cos}}(\omega t + (i - 1)\pi /2)}\\ {r{\rm{sin}}(\omega t + (i - 1)\pi /2)} \end{array}} \right]\;\:i = 1,2,3,4 $ |
对应的状态偏移向量为
| $ {{\mathit{\boldsymbol{\delta }}_{Xi}} = \left[ {\begin{array}{*{20}{c}} {r{\rm{cos}}(\omega t + (i - 1)\pi /2)}\\ { - r{\rm{cos}}(\omega t + (i - 1)\pi /2)} \end{array}} \right]\;\:i = 1,2,3,4} $ |
| $ {{\mathit{\boldsymbol{\delta }}_{Yi}} = \left[ {\begin{array}{*{20}{c}} {r{\rm{sin}}(\omega t + (i - 1)\pi /2)}\\ {r{\rm{cos}}(\omega t + (i - 1)\pi /2)} \end{array}} \right]\;\:i = 1,2,3,4} $ |
如果异构集群系统实现了期望的时变输出编队,各无人机与无人车将会在XY平面内以半径为r、角速度为ω进行旋转。
4.1.3 时变输出编队控制器参数设计利用3.2节中的算法对时变输出编队控制器进行设计,选取如下的矩阵Xi与Ui(i=1, 2, 3, 4)使得调节器方程成立:
| $ {{\mathit{\boldsymbol{X}}_1} = {\mathit{\boldsymbol{I}}_2} \otimes [1\;\:0],{\mathit{\boldsymbol{U}}_1} = {\mathit{\boldsymbol{I}}_2} \otimes [0\;\:1]} $ |
| $ {{\mathit{\boldsymbol{X}}_2} = {\mathit{\boldsymbol{I}}_4},{\mathit{\boldsymbol{U}}_2} = {{{\bf 0}}_{2 \times 4}}} $ |
| $ {{\mathit{\boldsymbol{X}}_3} = {\mathit{\boldsymbol{I}}_2} \otimes [1\;\:0],{\mathit{\boldsymbol{U}}_3} = {\mathit{\boldsymbol{I}}_2} \otimes [0\;\:1]} $ |
| $ {{\mathit{\boldsymbol{X}}_4} = {\mathit{\boldsymbol{I}}_4},{\mathit{\boldsymbol{U}}_4} = {{{\bf 0}}_{2 \times 4}}} $ |
对于给定的时变输出编队hy(t), 可以检验编队可行性条件对于无人机-无人车异构系统中每个个体均成立,其中编队补偿项vi(t)分别为
| $ {{v_{X1}} = 0,{v_{Y1}} = 0} $ |
| $ {{v_{X2}} = - r{\omega ^2}{\rm{cos}}(\omega t + \pi /2)} $ |
| $ {{v_{Y2}} = - r{\omega ^2}{\rm{sin}}(\omega t + \pi /2)} $ |
| $ {{v_{X3}} = 0,{v_{Y3}} = 0} $ |
| $ {{v_{X4}} = - r{\omega ^2}{\rm{cos}}(\omega t + 3\pi /2)} $ |
| $ {{v_{Y4}} = - r{\omega ^2}{\rm{sin}}(\omega t + 3\pi /2)} $ |
对于无人机-无人车异构系统,选取各个体增益矩阵K1i和K2i分别为
| $ {{\mathit{\boldsymbol{K}}_{11}} = - {\mathit{\boldsymbol{I}}_2},{\mathit{\boldsymbol{K}}_{21}} = {\mathit{\boldsymbol{I}}_2} \otimes [1\;\:1]} $ |
| $ {{\mathit{\boldsymbol{K}}_{12}} = {\mathit{\boldsymbol{I}}_2} \otimes [ - 2 - 2],{\mathit{\boldsymbol{K}}_{22}} = {\mathit{\boldsymbol{I}}_2} \otimes [2\;\:2]} $ |
| $ {{\mathit{\boldsymbol{K}}_{13}} = - {\mathit{\boldsymbol{I}}_2},{\mathit{\boldsymbol{K}}_{23}} = {\mathit{\boldsymbol{I}}_2} \otimes [1\;\:1]} $ |
| $ {{\mathit{\boldsymbol{K}}_{14}} = {\mathit{\boldsymbol{I}}_2} \otimes [ - 2 - 2],{\mathit{\boldsymbol{K}}_{24}} = {\mathit{\boldsymbol{I}}_2} \otimes [2\;\:2]} $ |
为使得编队中心估计器能够实现一致,选择增益系数α=1,令Q=I4,求解代数Riccati方程可得
构造Swi(i=1, 2, 3, 4)的最小p-copy内模, 选取Q1i和Q2i分别为
| $ {{\mathit{\boldsymbol{Q}}_{11}} = {{{\bf 0}}_{2 \times 2}},{\mathit{\boldsymbol{Q}}_{21}} = {\mathit{\boldsymbol{I}}_2}} $ |
| $ {{\mathit{\boldsymbol{Q}}_{12}} = {\mathit{\boldsymbol{I}}_2} \otimes \left[ {\begin{array}{*{20}{c}} 0&1\\ { - 1}&0 \end{array}} \right],{\mathit{\boldsymbol{Q}}_{22}} = {\mathit{\boldsymbol{I}}_2} \otimes \left[ {\begin{array}{*{20}{l}} 0\\ 1 \end{array}} \right]} $ |
| $ {{\mathit{\boldsymbol{Q}}_{13}} = {{{\bf 0}}_{2 \times 2}},{\mathit{\boldsymbol{Q}}_{23}} = {\mathit{\boldsymbol{I}}_2}} $ |
| $ {{\mathit{\boldsymbol{Q}}_{14}} = {\mathit{\boldsymbol{I}}_2} \otimes \left[ {\begin{array}{*{20}{c}} 0&1\\ { - 1}&0 \end{array}} \right],{\mathit{\boldsymbol{Q}}_{24}} = {\mathit{\boldsymbol{I}}_2} \otimes \left[ {\begin{array}{*{20}{l}} 0\\ 1 \end{array}} \right]} $ |
设计时变输出编队控制器扰动抑制补偿项增益矩阵K3i(i=1, 2, 3, 4)分别为
| $ {{\mathit{\boldsymbol{K}}_{31}} = {\mathit{\boldsymbol{I}}_2} \otimes [\begin{array}{*{20}{c}} { - 1}&{ - 2} \end{array}],{\mathit{\boldsymbol{K}}_{311}} = - {\mathit{\boldsymbol{I}}_2},{\mathit{\boldsymbol{K}}_{312}} = - 2{\mathit{\boldsymbol{I}}_2}} $ |
| $ {{\mathit{\boldsymbol{K}}_{32}} = {\mathit{\boldsymbol{I}}_2} \otimes [\begin{array}{*{20}{c}} { - 7}&{ - 3}&{ - 5}&{ - 5} \end{array}]} $ |
| $ {{\mathit{\boldsymbol{K}}_{321}} = - {\mathit{\boldsymbol{I}}_2} \otimes [7\;\:3],{\mathit{\boldsymbol{K}}_{322}} = {\mathit{\boldsymbol{I}}_2} \otimes [5\;\: - 5]} $ |
| $ {{\mathit{\boldsymbol{K}}_{33}} = {\mathit{\boldsymbol{I}}_2} \otimes [\begin{array}{*{20}{c}} { - 1}&{ - 2} \end{array}],{\mathit{\boldsymbol{K}}_{331}} = - {\mathit{\boldsymbol{I}}_2},{\mathit{\boldsymbol{K}}_{332}} = - 2{\mathit{\boldsymbol{I}}_2}} $ |
| $ {{\mathit{\boldsymbol{K}}_{34}} = {\mathit{\boldsymbol{I}}_2} \otimes [\begin{array}{*{20}{c}} { - 7}&{ - 3}&5&{ - 5} \end{array}]} $ |
| $ {{\mathit{\boldsymbol{K}}_{341}} = - {\mathit{\boldsymbol{I}}_2} \otimes [7\;\:3],{\mathit{\boldsymbol{K}}_{342}} = {\mathit{\boldsymbol{I}}_2} \otimes [5\;\: - 5]} $ |
在本仿真中,令r=2 m, ω=1 rad/s,无人机在h=5 m定高飞行,各无人机/无人车在XY平面内的初始状态xi(0)、编队中心估计器的初始状态pi(0)以及控制器内模初始状态qi(0)(i=1, 2, 3, 4)由(-2, 2)的随机数产生。
无人机-无人车异构集群系统的运动轨迹如图 4所示,黑色点画线所连4点为4个个体的初始位置,虚线所连为2 s(天蓝色)、5 s(品红色)、15 s(绿色)和30 s(蓝色)时刻的4个个体的位置截图,红色实线为仿真结束时刻(50 s)4个个体的位置,点线为各个体的轨迹。从图 4可以看出,无人机与无人车形成了期望的旋转圆形编队,且能够对未知外部扰动有效抑制。
|
| 图 4 异构时变输出编队控制轨迹 Fig. 4 Trajectory of heterogeneous time-varying output formation control |
图 5给出了各无人机(UAV)/无人车(UGV)个体在XY平面内的输出以及编队中心估计器(FCE)的输出。图 6给出了XY平面内时变输出编队运动轨迹在不同时刻的截图(t=0, 2, 5, 15, 30, 50 s)。
|
| 图 5 XY平面输出编队与编队中心估计器轨迹 Fig. 5 Trajectory of output formation and FCE in XY plane |
|
| 图 6 XY平面输出编队与编队中心估计器不同时刻截图 Fig. 6 Screenshot of output formation and FCE in XY plane at different moments |
将编队中心估计器的输出误差定义为
|
| 图 7 编队中心估计器输出误差 Fig. 7 Errors of FCE output |
时变输出编队输出本地误差ei=yi-hyi-ξi在X和Y方向的误差曲线如图 8所示。其欧几里得范数||ei(t)||如图 9所示。
|
| 图 8 输出编队X/Y轴误差 Fig. 8 Errors of output formation in X/Y axis |
|
| 图 9 输出编队误差的欧几里得范数 Fig. 9 Euclidean norm of output formation error |
由图 8和图 9可知, 在存在未知外部扰动的情况下各个体的输出以估计器输出为中心形成了期望的旋转圆形编队,满足第2节中所述
本文提出了一种针对无人机-无人车异构系统的基于一致性理论和内模原理的编队控制和扰动抑制方法。理论分析和仿真结果表明:
1) 控制器中的编队中心估计项可对编队参考函数进行有效估计,并达到输出一致。
2) 控制器中扰动抑制补偿项可对未知外部扰动进行有效抑制。
3) 无人机-无人车异构系统在所设计的分布式控制器作用下可以构成期望的时变编队构型。
| [1] | YU J L, DONG X W, LI Q D, et al. Distributed cooperative encirclement hunting guidance for multiple flight vehicles system[J]. Aerospace Science and Technology, 2019, 95: 105475. |
| Click to display the text | |
| [2] | ZHAO Q L, DONG X W, LIANG Z X, et al. Distributed cooperative guidance for multiple missiles with fixed and switching communication topologies[J]. Chinese Journal of Aeronautics, 2017, 30(4): 1570-1581. |
| Click to display the text | |
| [3] |
赵启伦, 陈建, 董希旺, 等. 拦截高超声速目标的异类导弹协同制导律[J]. 航空学报, 2016, 37(3): 936-948. ZHAO Q L, CHEN J, DONG X W, et al. Cooperative guidance law for heterogeneous missiles intercepting hypersonic weapon[J]. Acta Aeronautica et Astronautica Sinica, 2016, 37(3): 936-948. (in Chinese) |
| Cited By in Cnki (9) | Click to display the text | |
| [4] | HUA Y Z, DONG X W, WANG J B, et al. Time-varying output formation tracking of heterogeneous linear multi-agent systems with multiple leaders and switching topologies[J]. Journal of the Franklin Institute, 2019, 356(1): 539-560. |
| Click to display the text | |
| [5] | HUA Y Z, DONG X W, HU G Q, et al. Distributed time-varying output formation tracking for heterogeneous linear multi-agent systems with a nonautonomous leader of unknown input[J/OL]. IEEE Transactions on Automatic Control, 2019(in press). |
| [6] | DUAN H B, ZHANG Y P, LIU S Q. Multiple UAVs/UGVs heterogeneous coordinated technique based on receding horizon control (RHC) and velocity vector control[J]. Science China Technological Sciences, 2011, 54(4): 869-876. |
| Click to display the text | |
| [7] | WANG X L. Distributed formation output regulation of switching heterogeneous multi-agent systems[J]. International Journal of Systems Science, 2013, 44(11): 2004-2014. |
| Click to display the text | |
| [8] | LIU X K, WANG Y W, XIAO J W, et al. Distributed hierarchical control design of coupled heterogeneous linear systems under switching networks[J]. International Journal of Robust and Nonlinear Control, 2017, 27(8): 1242-1259. |
| Click to display the text | |
| [9] | DONG X W, HU G Q. Time-varying formation tracking for linear multi-agent systems with multiple leaders[J]. IEEE Transactions on Automatic Control, 2017, 62(7): 3658-3664. |
| Click to display the text | |
| [10] | HUA Y Z, DONG X W, LI Q D, et al. Distributed time-varying formation robust tracking for general linear multiagent systems with parameter uncertainties and external disturbance[J]. IEEE Transactions on Cybernetics, 2017, 47(8): 1959-1969. |
| Click to display the text | |
| [11] | DONG X W, ZHOU Y, REN Z, et al. Time-varying formation tracking for second-order multi-agent systems subjected to switching topologies with application to quadrotor formation flying[J]. IEEE Transactions on Industrial Electronics, 2017, 64(6): 5014-5024. |
| Click to display the text | |
| [12] | DONG X W, HU G Q. Time-varying formation control for general linear multi-agent systems with switching directed topologies[J]. Automatica, 2016, 73: 47-55. |
| Click to display the text | |
| [13] | DONG X W, LI Q D, ZHAO Q L, et al. Time-varying group formation analysis and design for general linear multi-agent systems with directed topologies[J]. International Journal of Robust and Nonlinear Control, 2017, 27(9): 1640-1652. |
| Click to display the text | |
| [14] | DONG X W, HU G Q. Time-varying output formation for linear multiagent systems via dynamic output feedback control[J]. IEEE Transactions on Control of Network Systems, 2017, 4(2): 236-245. |
| Click to display the text | |
| [15] | XIAO F, WANG L, CHEN J, et al. Finite-time formation control for multi-agent systems[J]. Automatica, 2009, 45(11): 2605-2611. |
| Click to display the text | |
| [16] | LIU C L, TIAN Y P. Formation control of multi-agent systems with heterogeneous communication delays[J]. International Journal of Systems Science, 2009, 40(6): 627-636. |
| Click to display the text | |
| [17] | ABDESSAMEUD A, TAYEBI A. Formation control of VTOL unmanned aerial vehicles with communication delays[J]. Automatica, 2011, 47(11): 2383-2394. |
| Click to display the text | |
| [18] | DUAN H B, LI S H, LIN X Z. Finite-time formation control of multiagent systems via dynamic output feedback[J]. International Journal of Robust and Nonlinear Control, 2013, 23(14): 1609-1628. |
| Click to display the text | |
| [19] | LIU Y F, GENG Z Y. Finite-time optimal formation control for second-order multiagent systems[J]. Asian Journal of Control, 2014, 16(1): 138-148. |
| Click to display the text | |
| [20] | MENG D Y, JIA Y M, ZHANG J. On iterative learning algorithms for the formation control of nonlinear multi-agent systems[J]. Automatica, 2014, 50(1): 291-295. |
| Click to display the text | |
| [21] | YU J L, DONG X W, LI Q D, et al. Practical time-varying formation tracking for second-order nonlinear multi-agent systems with multiple leaders using adaptive neural networks[J]. IEEE Transaction on Neural Networks and Learning Systems, 2018, 29(12): 6015-6025. |
| Click to display the text | |
| [22] | HUA Y Z, DONG X W, LI Q D, et al. Distributed fault-tolerant time-varying formation control for high-order linear multi-agent systems with actuator failures[J]. ISA Transactions, 2017, 71: 40-50. |
| Click to display the text | |
| [23] | DONG X W, SHI Z Y, LU G, et al. Time-varying output formation control for high-order linear time-invariant swarm systems[J]. Information Sciences, 2015, 298(20): 36-52. |
| Click to display the text | |
| [24] | YU J L, DONG X W, LI Q D, et al. Practical time-varying output formation tracking for high-order multi-agent systems with collision avoidance, obstacle dodging and connectivity maintenance[J]. Journal of the Franklin Institute, 2019, 356(12): 5898-5926. |
| Click to display the text | |
| [25] | BEARD R W, LAWTON J, HADAEGH F Y. A coordination architecture for spacecraft formation control[J]. IEEE Transactions on Control Systems Technology, 2001, 9(6): 777-790. |
| Click to display the text | |
| [26] | REN W. Consensus strategies for cooperative control of vehicle formations[J]. IET Control Theory & Applications, 2007, 1(2): 505-512. |
| Click to display the text | |
| [27] |
郑大钟. 线性系统理论[M]. 2版. 北京: 清华大学出版社, 2002. ZHENG D Z. Linear system theory[M]. 2nd ed. Beijing: Tsinghua University Press, 2002. (in Chinese) |
| [28] | HUANG J. Nonlinear output regulation:Theory and applications[M]. Philadelphia: SIAM, 2004. |
| [29] |
周思全, 化永朝, 董希旺, 等. 面向空地协同作战的无人机-无人车异构时变编队跟踪控制[J]. 航空兵器, 2019, 26(4): 54-59. ZHOU S Q, HUA Y Z, DONG X W, et al. Air-ground time varying formation tracking control for heterogeneous UAV/UGV swarm system[J]. Aero Weaponry, 2019, 26(4): 54-59. (in Chinese) |
| Cited By in Cnki | Click to display the text |



