颤振问题是气动弹性研究领域的重要分支。利用动力学缩比模型在风洞中开展颤振试验,能够较为准确地模拟飞行器的颤振现象[1-3]。风洞颤振试验一直以来是分析和验证飞行器颤振特性的重要手段。风洞颤振试验分为部件颤振试验和全机模型颤振试验。只做部件颤振试验,无法获得全机颤振的特性,不能完全满足现代飞行器设计与研发的需求,因此,进行全机模型颤振试验是非常有必要的[4]。全机模型风洞颤振试验除了对模型本身的设计和加工要求苛刻之外,对于模型支撑系统也提出了特殊的要求。如何设计出功能强大,满足各类飞行器全机模型风洞颤振试验需求的支撑系统是当前风洞试验研究领域的重要课题[5-6]。NASA兰利风洞试验中心早在20世纪五六十年代就开始开展全机模型颤振试验,研发了多套性能优异的模型系统,其中包括双索悬挂系统[7-8]。中国空气动力研究与发展中心2004年在2.4 m亚跨超风洞中引进俄罗斯的悬浮系统FSS(Float Suspension System)技术,并将其工程化,应用于全模颤振试验,促进了国内风洞颤振试验研究的发展与进步。但是悬浮系统运用于静不稳定的飞行器时,试验效果不理想,无法完全满足当下的风洞颤振试验需求[5-6, 9]。面对风洞全模颤振试验的迫切需求,有必要研制一套或多套功能强大、通用性好的颤振试验系统。而双索悬挂系统作为一种通用性强、试验性能优异的全机模型颤振试验支撑系统,能够做到适用于静不稳定飞行器,具有较好的应用前景[1]。
为在风洞中模拟飞行器真实飞行过程中的颤振现象,要求模型支撑系统对全机模型释放5个自由度,仅约束风洞来流方向的自由度,且支撑的刚体模态频率尽可能低至模型固有频率的1/10~1/3,做到对模型本身的结构动力学干扰小、对模型的气动力干扰小[2, 8, 10-11]。
刘基海等采用理论计算和试验相互验证的方法研究了弹簧支撑的支撑刚度对飞翼模型固有模态和体自由度颤振特性的影响规律[12];王大鹏和蔡骏文分析了橡皮绳悬挂系统的不同悬挂刚度、不同悬挂位置对细长体飞行器模态试验结果的影响[13]。研究双索悬挂系统刚体模态频率变化规律及其影响因素,能够为双索悬挂系统的优化设计提供依据。
本文基于绳索并联机构理论建立了双索悬挂系统静力学模型,引入加权矩阵,推导了双索悬挂系统静刚度模型;建立了双索悬挂系统模型无阻尼振荡方程,分析了双索悬挂系统刚体模态频率随绳索预紧力的变化规律;搭建了双索悬挂系统地面样机,开展系统刚体模态频率测试试验,研究双索悬挂系统绳索预紧力和绳系结构对系统刚体模态频率的影响规律。
1 绳索并联机构静力学分析全模颤振风洞试验要求模型的支撑只对来流方向加以约束,其他5个自由度尽可能地释放开,做到模型在吹风试验中尽可能地处于与真实飞行时相同的自由状态,以实现颤振试验的动力学相似。
根据上述要求,本文设计和研究的全模颤振双索悬挂系统主要由竖直绳索、水平绳索、绳索收放装置以及辅助绳索和相应的控制部件等组成,如图 1所示。
|
| 图 1 双索悬挂系统示意图 Fig. 1 Sketch of two cables suspension system |
穿过模型机身后部水平滑轮的水平绳索的左右两支形成一定张角,一端连接到风洞左壁上的绳索收放装置,另外一端过后机身滑轮连接到风洞右壁上的绳索收放装置;穿过模型机身前部竖直滑轮的竖直绳索位于飞行器机体轴所在的竖直面内,上下两支形成一定张角,上端固连在风洞上壁板,下端过飞机模型前滑轮连接到下壁板上的绳索收放装置;通过绳索收放装置控制绳索张紧力和绳索长度,双索悬挂系统能够将飞行器模型稳定地支撑在风洞试验段。全模颤振双索悬挂系统是一种欠约束的绳索并联支撑机构。本节根据绳索并联机构静力学理论,建立双索悬挂系统飞行器模型的静力学模型。
1.1 几何关系为描述全模颤振双索悬挂支撑系统中飞行器模型的运动与支撑机构的关系,建立静、动2个坐标系,如图 2所示。图中粗直杆为模拟机身,机身上的两短杆分别为前后滑轮支架。
|
| 图 2 绳索并联机构运动学示意图 Fig. 2 Sketch of cable driven parallel mechanism kinematics |
建立在模型上的坐标系为动坐标系(即机体坐标系)Obxbybzb,坐标原点Ob与飞机模型(即末端执行器)的质心P0重合,Obxb轴位于飞机模型的对称面内并与机体主轴重合,正方向指向机头;Obzb轴也位于飞机模型对称面内,垂直于Obxb轴并指机身下方;Obyb垂直于飞机模型的对称面,指向飞机模型的右舷方向,其方向遵循右手定则。
静坐标系建立在机架上,相对地面固定,也称为地面坐标系。在机架上取任意一点作为地面坐标系OgXgYgZg的原点Og,OgZg轴竖直向下指向地心,OgXgYg平面垂直于OgZg轴;OgXg垂直于OgZg轴指向风洞试验来流方向;OgYg轴垂直于OgXg轴,方向遵循右手定则。矢量XP是机体坐标系原点Ob在地面坐标系中的位置矢量。
为分析方便,又不失一般性,假设各绳索均与飞机模型固连。Li是第i根绳索连接末端执行器铰点Pi与机架上固定铰点Bi之间的矢量。
图 1中各矢量的关系记为
| $ {\mathit{\boldsymbol{L}}_i} = {\mathit{\boldsymbol{B}}_i} - ({\mathit{\boldsymbol{X}}_P} + \mathit{\boldsymbol{R}}{\mathit{\boldsymbol{r}}_i})\quad \forall i = 1,2, \cdots ,n $ | (1) |
式中:n由牵引绳的数量决定; R是机体坐标系到地面坐标系的旋转转换矩阵,具体表示为
| $ \mathit{\boldsymbol{R}} = \left[ {\begin{array}{*{20}{l}} {{\rm{cos}}{\kern 1pt} {\kern 1pt} \theta {\rm{cos}}{\kern 1pt} {\kern 1pt} \varphi }&{{\rm{sin}}{\kern 1pt} {\kern 1pt} \phi {\rm{sin}}{\kern 1pt} {\kern 1pt} \theta {\rm{cos}}{\kern 1pt} {\kern 1pt} \varphi - {\rm{cos}}{\kern 1pt} {\kern 1pt} \phi {\rm{sin}}{\kern 1pt} {\kern 1pt} \varphi }&{{\rm{cos}}{\kern 1pt} {\kern 1pt} \phi {\rm{sin}}{\kern 1pt} {\kern 1pt} \theta {\rm{cos}}{\kern 1pt} {\kern 1pt} \varphi + {\rm{sin}}{\kern 1pt} {\kern 1pt} \phi {\rm{sin}}{\kern 1pt} {\kern 1pt} \varphi }\\ {{\rm{cos}}{\kern 1pt} {\kern 1pt} \theta {\rm{sin}}{\kern 1pt} {\kern 1pt} \varphi }&{{\rm{sin}}{\kern 1pt} {\kern 1pt} \phi {\rm{sin}}{\kern 1pt} {\kern 1pt} \theta {\rm{sin}}{\kern 1pt} {\kern 1pt} \varphi + {\rm{cos}}{\kern 1pt} {\kern 1pt} \phi {\rm{cos}}{\kern 1pt} {\kern 1pt} \varphi }&{{\rm{cos}}{\kern 1pt} {\kern 1pt} \phi {\rm{sin}}{\kern 1pt} {\kern 1pt} \theta {\rm{sin}}{\kern 1pt} {\kern 1pt} \varphi - {\rm{sin}}{\kern 1pt} {\kern 1pt} \phi {\rm{cos}}{\kern 1pt} {\kern 1pt} \varphi }\\ {{\kern 1pt} {\kern 1pt} {\kern 1pt} {\kern 1pt} {\kern 1pt} - {\rm{sin}}{\kern 1pt} {\kern 1pt} \theta }&{{\kern 1pt} {\kern 1pt} {\kern 1pt} {\kern 1pt} {\kern 1pt} {\kern 1pt} {\kern 1pt} {\kern 1pt} {\kern 1pt} {\kern 1pt} {\kern 1pt} {\kern 1pt} {\kern 1pt} {\kern 1pt} {\kern 1pt} {\kern 1pt} {\kern 1pt} {\kern 1pt} {\kern 1pt} {\kern 1pt} {\kern 1pt} {\kern 1pt} {\kern 1pt} {\kern 1pt} {\kern 1pt} {\kern 1pt} {\kern 1pt} {\kern 1pt} {\kern 1pt} {\kern 1pt} {\kern 1pt} {\kern 1pt} {\kern 1pt} {\kern 1pt} {\kern 1pt} {\kern 1pt} {\kern 1pt} {\kern 1pt} {\kern 1pt} {\kern 1pt} {\kern 1pt} {\kern 1pt} {\kern 1pt} {\kern 1pt} {\kern 1pt} {\kern 1pt} {\rm{sin}}{\kern 1pt} {\kern 1pt} \phi {\rm{cos}}{\kern 1pt} {\kern 1pt} \theta }&{{\kern 1pt} {\kern 1pt} {\kern 1pt} {\kern 1pt} {\kern 1pt} {\kern 1pt} {\kern 1pt} {\kern 1pt} {\kern 1pt} {\kern 1pt} {\kern 1pt} {\kern 1pt} {\kern 1pt} {\kern 1pt} {\kern 1pt} {\kern 1pt} {\kern 1pt} {\kern 1pt} {\kern 1pt} {\kern 1pt} {\kern 1pt} {\kern 1pt} {\kern 1pt} {\kern 1pt} {\kern 1pt} {\kern 1pt} {\kern 1pt} {\kern 1pt} {\kern 1pt} {\kern 1pt} {\kern 1pt} {\kern 1pt} {\kern 1pt} {\kern 1pt} {\kern 1pt} {\kern 1pt} {\kern 1pt} {\kern 1pt} {\kern 1pt} {\kern 1pt} {\kern 1pt} {\kern 1pt} {\kern 1pt} {\kern 1pt} {\rm{cos}}{\kern 1pt} {\kern 1pt} \phi {\rm{cos}}{\kern 1pt} {\kern 1pt} \theta } \end{array}} \right] $ |
其中:ϕ、θ、φ分别表示飞机模型在地面坐标系中绕OgXg轴、OgYg轴和OgZg轴旋转的滚转角、俯仰角和偏航角。
绳索矢量方程(1)的2范数即为第i根绳索的长度:
| $ {L_i} = \left\| {{\mathit{\boldsymbol{B}}_i} - ({\mathit{\boldsymbol{X}}_P} + \mathit{\boldsymbol{R}}{\mathit{\boldsymbol{r}}_i})} \right\|\quad \forall i = 1,2, \cdots ,n $ | (2) |
对方程(1)求时间导数得到[14]
| $ {\dot L_i}{\mathit{\boldsymbol{\widehat l }}_i} + {\mathit{\boldsymbol{\omega }}_i} \times {\mathit{\boldsymbol{L}}_i} = {\mathit{\boldsymbol{v}}_P} + {\mathit{\boldsymbol{\omega }}_P} \times {\mathit{\boldsymbol{r}}_i}\quad \forall i = 1,2, \cdots ,n $ | (3) |
方程(3)等号左侧为绳索相关几何参数,
| $ \frac{{{\rm{d}}\mathit{\boldsymbol{L}}}}{{{\rm{d}}t}} = {\mathit{\boldsymbol{J}}_{\rm{A}}}\frac{{{\rm{d}}\mathit{\boldsymbol{X}}}}{{{\rm{d}}t}} $ | (4) |
式中:JA表示绳系并联机构的Jacobian矩阵;X是末端执行器的位姿参数[14-15]。
1.2 静力平衡关系图 3为绳索并联机构静力平衡示意图,末端执行器受绳索拉力Ti作用,同时受外力fe、外力矩τe以及末端执行器重力mg作用,处于静平衡状态。根据Newton-Euler法能够得到末端执行器的静平衡方程为
| $ \left\{ {\begin{array}{*{20}{l}} {\sum\nolimits_{i = 1}^n {{\mathit{\boldsymbol{T}}_i}} + {\mathit{\boldsymbol{f}}_{\rm{e}}} + m\mathit{\boldsymbol{g}} = {\bf{0}}}\\ {\sum\nolimits_{i = 1}^n {({\mathit{\boldsymbol{r}}_i} \times {\mathit{\boldsymbol{T}}_i})} + {\mathit{\boldsymbol{\tau }}_{\rm{e}}} = {\bf{0}}} \end{array}} \right. $ | (5) |
|
| 图 3 绳索并联机构静力学示意图 Fig. 3 Sketch of cable driven parallel mechanism static |
令
| $ \begin{array}{l} {\mathit{\boldsymbol{W}}_{\rm{e}}} = \mathit{\boldsymbol{J}}_{\rm{A}}^{\rm{T}}\mathit{\boldsymbol{T}}\\ \mathit{\boldsymbol{J}}_{\rm{A}}^{\rm{T}} = \left[ {\begin{array}{*{20}{c}} {{{\mathit{\boldsymbol{\hat l}}}_1}}&{{{\mathit{\boldsymbol{\hat l}}}_2}}&{{{\mathit{\boldsymbol{\hat l}}}_3}}& \cdots &{{{\mathit{\boldsymbol{\hat l}}}_n}}\\ {{{\boldsymbol r}_1} \times {{\mathit{\boldsymbol{\hat l}}}_1}}&{{{\boldsymbol r}_2} \times {{\mathit{\boldsymbol{\hat l}}}_2}}&{{{\boldsymbol r}_3} \times {{\mathit{\boldsymbol{\hat l}}}_3}}& \cdots &{{{\boldsymbol r}_n} \times {{\mathit{\boldsymbol{\hat l}}}_n}} \end{array}} \right] \end{array} $ | (6) |
末端执行器的刚度定义为在单位外力作用下末端执行器的位姿变化,数值上等于使系统产生单位位姿变化所需要的外力值[14-16]。因此,对方程(6)求末端执行器的位姿偏导数,得到绳系并联机构刚度矩阵:
| $ \mathit{\boldsymbol{K}} = \frac{{\partial {\mathit{\boldsymbol{W}}_{\rm{e}}}}}{{\partial \mathit{\boldsymbol{X}}}} = \frac{{\partial (\mathit{\boldsymbol{J}}_{\rm{A}}^{\rm{T}}\mathit{\boldsymbol{T}})}}{{\partial \mathit{\boldsymbol{X}}}} $ | (7) |
忽略绳索的质量,将绳索假设为无质量无阻尼的弹簧;同时,假设末端执行器为刚体,忽略末端执行器的变形,系统刚度矩阵可以展开为
| $ \mathit{\boldsymbol{K}} = \frac{{\partial \mathit{\boldsymbol{J}}_{\rm{A}}^{\rm{T}}}}{{\partial \mathit{\boldsymbol{X}}}}\mathit{\boldsymbol{T}} + \mathit{\boldsymbol{J}}_{\rm{A}}^{\rm{T}}\frac{{\partial \mathit{\boldsymbol{T}}}}{{\partial \mathit{\boldsymbol{X}}}} $ | (8) |
式中:
| $ \frac{{\partial \mathit{\boldsymbol{T}}}}{{\partial \mathit{\boldsymbol{X}}}} = \frac{{\partial \mathit{\boldsymbol{T}}}}{{\partial \mathit{\boldsymbol{L}}}} \cdot \frac{{\partial \mathit{\boldsymbol{L}}}}{{\partial \mathit{\boldsymbol{X}}}} = [ {\rm{diag}} ({k_1},{k_2}, \cdots ,{k_n})]{\mathit{\boldsymbol{J}}_{\rm{A}}} $ |
其中:diag(k1, k2, …, kn)表示绳系刚度对角阵,ki为第i根绳索的刚度,因此:
| $ \mathit{\boldsymbol{K}} = \frac{{\partial \mathit{\boldsymbol{J}}_{\rm{A}}^{\rm{T}}}}{{\partial \mathit{\boldsymbol{X}}}}\mathit{\boldsymbol{T}} + \mathit{\boldsymbol{J}}_{\rm{A}}^{\rm{T}} {\rm{diag}} ({k_1},{k_2}, \cdots ,{k_n}){\mathit{\boldsymbol{J}}_{\rm{A}}} $ | (9) |
将刚度矩阵表示为
| $ \mathit{\boldsymbol{K}} = {\mathit{\boldsymbol{K}}_T} + {\mathit{\boldsymbol{K}}_K} $ | (10) |
式中:K为系统总刚度;KT为与绳索拉力和绳系结构相关的刚度矩阵;KK为与绳索刚度相关的刚度矩阵[15]。具体形式为
| $ {\mathit{\boldsymbol{K}}_T} = \sum\nolimits_{i = 1}^n {\frac{{{\mathit{\boldsymbol{T}}_i}}}{{{\mathit{\boldsymbol{l}}_i}}}} \left[ {\begin{array}{*{20}{c}} {\mathit{\boldsymbol{I}} - {{\mathit{\boldsymbol{\hat l}}}_i}\mathit{\boldsymbol{\hat l}}_i^{\rm{T}}}&{(\mathit{\boldsymbol{I}} - {{\mathit{\boldsymbol{\hat l}}}_i}\mathit{\boldsymbol{\hat l}}_i^{\rm{T}}){{[{\mathit{\boldsymbol{r}}_i} \times ]}^{\rm{T}}}}\\ {[{\mathit{\boldsymbol{r}}_i} \times ](\mathit{\boldsymbol{I}} - {{\mathit{\boldsymbol{\hat l}}}_i}\mathit{\boldsymbol{\hat l}}_i^{\rm{T}})}&{[{\mathit{\boldsymbol{r}}_i} \times ](\mathit{\boldsymbol{I}} - {{\mathit{\boldsymbol{\hat l}}}_i}\mathit{\boldsymbol{\hat l}}_i^{\rm{T}}){{[{\mathit{\boldsymbol{r}}_i} \times ]}^{\rm{T}}} - [{\mathit{\boldsymbol{l}}_i} \times ]{{[{\mathit{\boldsymbol{r}}_i} \times ]}^{\rm{T}}}} \end{array}} \right] $ |
| $ {\mathit{\boldsymbol{K}}_K} = \sum\nolimits_{i = 1}^n {{k_i}} \left[ {\begin{array}{*{20}{c}} {{{\mathit{\boldsymbol{\hat l}}}_i}\mathit{\boldsymbol{\hat l}}_i^{\rm{T}}}&{{{\mathit{\boldsymbol{\hat l}}}_i}\mathit{\boldsymbol{\hat l}}_i^{\rm{T}}{{[{\mathit{\boldsymbol{r}}_i} \times ]}^{\rm{T}}}}\\ {[{\mathit{\boldsymbol{r}}_i} \times ]{{\mathit{\boldsymbol{\hat l}}}_i}\mathit{\boldsymbol{\hat l}}_i^{\rm{T}}}&{[{\mathit{\boldsymbol{r}}_i} \times ]{{\mathit{\boldsymbol{\hat l}}}_i}\mathit{\boldsymbol{\hat l}}_i^{\rm{T}}{{[{\mathit{\boldsymbol{r}}_i} \times ]}^{\rm{T}}}} \end{array}} \right] $ |
运算符号
| $ {\lambda _j} > 0,\quad {\rm{ s}}{\rm{. t}} {\kern 1pt} {\kern 1pt} {\rm{det}} (\mathit{\boldsymbol{K}} - {\lambda _j}\mathit{\boldsymbol{I}}) = 0 $ |
式中:λj为刚度矩阵第j阶特征值,∀j=1, 2, 3, …; m < n,m为特征值个数,n为矩阵维数。
2 双索悬挂系统刚体模态 2.1 双索悬挂系统地面样机基于双索悬挂系统基本构型,在实验室搭建地面缩比样机,如图 4所示。采用60 mm×60 mm的铝合金型材搭建地面样机机架,模拟风洞试验段。
|
| 图 4 双索悬挂系统地面样机 Fig. 4 Ground prototypr of two cables suspension system |
参考常见的民机外形设计加工了第1代飞机模型(见图 5),模型质量为1.61 kg。因为只做原理性研究,不用于风洞吹风,故机头简化加工成半球状。在ANSYS中分析得到飞机模型的固有频率,见表 1。
|
| 图 5 简化的民机模型及机身滑轮支架 Fig. 5 Simplified model of civil aircraft and support system of pulleys |
| 模态阶数 | 模态振型 | 固有频率/Hz |
| 1 | 机翼对称一弯 | 38.561 |
| 2 | 机翼反对称一弯 | 54.755 |
| 3 | 机翼对称二弯 | 112.294 |
文中凡与滑轮有关的距离,均相对于滑轮的轴心而言。图 5(a)中,ζ1为机身前滑轮与模型质心之间的距离,ζ2为机身后滑轮与模型质心之间的距离;在模型的前部和后部分别设计了用于安装滑轮的支架,图 5(b)为滑轮支架。
双索悬挂系统的绳索选材为直径0.8 mm的8股Kavlar线,其弹性模量为42.8 GPa。竖直绳索和水平绳索分别穿过机身前部和后部的滑轮,悬挂起飞行器模型。各绳在滑轮后分开的两支分别经机架上下部和左右侧的转向滑轮连接到拉力传感器上。拉力传感器安装在电机驱动的滚珠丝杠的滑块上,用于测量绳索张力,滚珠丝杠在电机的驱动下带动滑块做直线运动,从而调控绳索拉力和绳长。
2.2 系统静刚度为研究双索悬挂系统的刚体模态频率,需要先分析系统的静刚度,为此将双索悬挂系统简化为空间四索并联机构,如图 6所示。同时假设竖直绳索与水平绳索都分成两支,分别与飞行器模型(末端执行器)固连,且处于静力平衡状态。这个假设提高了系统的静刚度,分析所得双索悬挂系统的刚体模态频率会比实际情况偏高些。
|
| 图 6 空间四索并联机构简图 Fig. 6 Sketch of space four wires parallel mechanism |
图 6中: P1、P2分别为竖直绳索与前机身的铰接点(实际是与机身前部滑轮的接触点),P3、P4分别为水平绳索与后机身的铰接点(实际是与机身后部滑轮的接触点),P0为模型质心;B1、B2分别为竖直绳索与机架上下的铰接点,B3、B4为水平绳索与机架两侧的铰接点。
以上竖直绳索和水平绳索与模型及机架的铰接点坐标列于表 2中。其中, Pi点坐标取各机身滑轮轴心坐标值;绳索长度远大于安装在地面样机上的模型机身内的滑轮直径和机架上的滑轮直径, 因此,上述简化方法对计算分析的结果影响不大。
| 绳索与机架铰接点 (地面坐标系OgXgYgZg) |
绳索与模型铰接点 (机体坐标系Obxbybzb) |
|||
| 坐标点 | 坐标值/m | 坐标点 | 坐标值/m | |
| B1 | (0.71, 0, -1.37) | P1 | (0.07, 0, -0.01) | |
| B2 | (0.71, 0, -0.10) | P2 | (0.07, 0, 0.01) | |
| B3 | (-0.71, -0.64, -0.74) | P3 | (-0.07, -0.01, 0) | |
| B4 | (-0.71, 0.64, -0.74) | P4 | (-0.07, 0.01, 0) | |
由1.2节中得到的绳索并联机构静力平衡方程式(5)也适用于双索悬挂系统。根据双索悬挂系统绳系的特点,式(5)中的n取4。
双索悬挂系统的绳索穿过机身滑轮将飞行器模型悬挂起来,绳索与飞行器模型之间是一种接触式约束,而非固连式约束,为了在数学上等效滑轮的作用,参考滑轮动力学理论引入刚度矩阵KT的加权矩阵ET和刚度矩阵KK的加权矩阵EK, 于是,得到双索悬挂系统刚度矩阵的经验公式[19-21]:
| $ \mathit{\boldsymbol{K}} = {\mathit{\boldsymbol{E}}_T}{\mathit{\boldsymbol{K}}_T} + {\mathit{\boldsymbol{E}}_K}{\mathit{\boldsymbol{K}}_K} $ | (11) |
绳索过滑轮悬挂飞机模型,预紧力的变化势必影响悬挂系统的刚度,又由于绳索实际是绕过滑轮而并非固连在滑轮支架上,其变形对悬挂系统转动刚度的影响被机身滑轮抵消,但其对系统平动刚度影响依然存在,这些因素的影响程度事先无法准确判定。因此,对两个加权矩阵先以假设初值代入(如式(12)、式(13)所示),并以ET0和EK0表示,后续再参考试验数据对其进行修正,以获得较准确的刚度模型。
| $ {{\mathit{\boldsymbol{E}}_{T0}} = \left[ {\begin{array}{*{20}{c}} {{\mathit{\boldsymbol{I}}_{3 \times 3}}}&{\bf{0}}\\ {\bf{0}}&{{\mathit{\boldsymbol{I}}_{3 \times 3}}} \end{array}} \right]} $ | (12) |
| $ {{\mathit{\boldsymbol{E}}_{K0}} = \left[ {\begin{array}{*{20}{c}} {{\mathit{\boldsymbol{I}}_{3 \times 3}}}&{\bf{0}}\\ {\bf{0}}&{{{\bf{0}}_{3 \times 3}}} \end{array}} \right]} $ | (13) |
另外与绳拉力相关的刚度矩阵KT和与绳索刚度相关的刚度矩阵KK表示为
| $ {\mathit{\boldsymbol{K}}_T} = \sum\nolimits_{i = 1}^4 {\frac{{{\mathit{\boldsymbol{T}}_i}}}{{{\mathit{\boldsymbol{l}}_i}}}} \left[ {\begin{array}{*{20}{l}} {\mathit{\boldsymbol{I}} - {{\mathit{\boldsymbol{\hat l}}}_i}\mathit{\boldsymbol{\hat l}}_i^{\rm{T}}}&{(\mathit{\boldsymbol{I}} - {{\mathit{\boldsymbol{\hat l}}}_i}\mathit{\boldsymbol{\hat l}}_i^{\rm{T}}){{[{\mathit{\boldsymbol{r}}_i} \times ]}^{\rm{T}}}}\\ {[{\mathit{\boldsymbol{r}}_i} \times ](\mathit{\boldsymbol{I}} - {{\mathit{\boldsymbol{\hat l}}}_i}\mathit{\boldsymbol{\hat l}}_i^{\rm{T}})}&{[{\mathit{\boldsymbol{r}}_i} \times ](\mathit{\boldsymbol{I}} - {{\mathit{\boldsymbol{\hat l}}}_i}\mathit{\boldsymbol{\hat l}}_i^{\rm{T}}){{[{\mathit{\boldsymbol{r}}_i} \times ]}^{\rm{T}}} - [{\mathit{\boldsymbol{l}}_i} \times ]{{[{\mathit{\boldsymbol{r}}_i} \times ]}^{\rm{T}}}} \end{array}} \right] $ | (14) |
| $ {\mathit{\boldsymbol{K}}_K} = \sum\nolimits_{i = 1}^4 {{k_i}} \left[ {\begin{array}{*{20}{l}} {{{\mathit{\boldsymbol{\hat l}}}_i}\mathit{\boldsymbol{\hat l}}_i^{\rm{T}}}&{{{\mathit{\boldsymbol{\hat l}}}_i}\mathit{\boldsymbol{\hat l}}_i^{\rm{T}}{{[{\mathit{\boldsymbol{r}}_i} \times ]}^{\rm{T}}}}\\ {[{\mathit{\boldsymbol{r}}_i} \times ]{{\mathit{\boldsymbol{\hat l}}}_i}\mathit{\boldsymbol{\hat l}}_i^{\rm{T}}}&{[{\mathit{\boldsymbol{r}}_i} \times ]{{\mathit{\boldsymbol{\hat l}}}_i}\mathit{\boldsymbol{\hat l}}_i^{\rm{T}}{{[{\mathit{\boldsymbol{r}}_i} \times ]}^{\rm{T}}}} \end{array}} \right] $ | (15) |
双索悬挂系统的地面样机飞行器模型质心在地轴系中的坐标值为P0=(0, 0, -0.416),设ζ1=ζ2=70 mm,利用MATLAB编程仿真。首先根据系统静力平衡方程计算绳索预紧拉力,得到T={65.6 N, 65.6 N, 57.4 N, 57.4 N},前两个元素即为竖直绳预紧力,后两个元素为水平索的预紧力;然后将所有参数代入式(14)、式(15)和式(11)中,计算得到与绳索预紧拉力相关的刚度矩阵KT、与绳索刚度相关的刚度矩阵KK以及系统总刚度K和系统总刚度矩阵主对角线组成的刚度对角阵为
| $ \begin{array}{*{20}{l}} {{\mathit{\boldsymbol{K}}_{{T}}} = }\\ {\left[ {\begin{array}{*{20}{c}} {88.2}&0&{ - 6.4}&0&{44.3}&0\\ 0&{121.5}&0&{ - 62.9}&0&{ - 5.1}\\ { - 6.4}&0&{116.3}&0&{4.61}&0\\ 0&{ - 62.9}&0&{44.3}&0&{4.57}\\ {44.3}&0&{4.6}&0&{28.7}&0\\ 0&{ - 5.2}&0&{ - 0.2}&0&{37.2} \end{array}} \right]} \end{array} $ |
| $ {\mathit{\boldsymbol{K}}_K} = \left[ {\begin{array}{*{20}{c}} {15{\kern 1pt} {\kern 1pt} {\kern 1pt} 010.1}&0&{411.5}&{ - 3{\kern 1pt} {\kern 1pt} {\kern 1pt} 632.3}&{7{\kern 1pt} {\kern 1pt} {\kern 1pt} 149.4}&{ - 873.5}\\ 0&{3{\kern 1pt} {\kern 1pt} {\kern 1pt} 992.1}&0&{ - 3{\kern 1pt} {\kern 1pt} {\kern 1pt} 225.8}&{3{\kern 1pt} {\kern 1pt} {\kern 1pt} 910.9}&{ - 783.7}\\ {411.5}&0&{4{\kern 1pt} {\kern 1pt} {\kern 1pt} 811.9}&{ - 1{\kern 1pt} {\kern 1pt} {\kern 1pt} 134.8}&{304.8}&{ - 275.8}\\ { - 3{\kern 1pt} {\kern 1pt} {\kern 1pt} 632.2}&{ - 3{\kern 1pt} {\kern 1pt} {\kern 1pt} 225.8}&{ - 1{\kern 1pt} {\kern 1pt} {\kern 1pt} 134.8}&{1{\kern 1pt} {\kern 1pt} {\kern 1pt} 686.1}&{ - 2{\kern 1pt} {\kern 1pt} {\kern 1pt} 021.5}&{401.7}\\ {7{\kern 1pt} {\kern 1pt} {\kern 1pt} 149.4}&{3{\kern 1pt} {\kern 1pt} {\kern 1pt} 910.9}&{304.8}&{ - 2{\kern 1pt} {\kern 1pt} {\kern 1pt} 021.5}&{3{\kern 1pt} {\kern 1pt} {\kern 1pt} 901.8}&{ - 482.9}\\ { - 873.5}&{ - 783.6}&{ - 275.8}&{401.7}&{ - 482.9}&{150.2} \end{array}} \right] $ |
| $ \mathit{\boldsymbol{K}} = {\mathit{\boldsymbol{E}}_{{T_0}}}{\mathit{\boldsymbol{K}}_T} + {\mathit{\boldsymbol{E}}_{K0}}{\mathit{\boldsymbol{K}}_K} = \left[ {\begin{array}{*{20}{c}} {15{\kern 1pt} {\kern 1pt} {\kern 1pt} 098.3}&0&{405.1}&{ - 3{\kern 1pt} {\kern 1pt} {\kern 1pt} 632.3}&{7{\kern 1pt} {\kern 1pt} {\kern 1pt} 193.7}&{ - 837.5}\\ 0&{4{\kern 1pt} {\kern 1pt} {\kern 1pt} 113.6}&0&{3{\kern 1pt} {\kern 1pt} {\kern 1pt} 288.7}&{3{\kern 1pt} {\kern 1pt} {\kern 1pt} 910.9}&{778.6}\\ {405.1}&0&{4{\kern 1pt} {\kern 1pt} {\kern 1pt} 928.2}&{ - 1134.8}&{309.41}&{ - 275.8}\\ {3{\kern 1pt} {\kern 1pt} {\kern 1pt} 632.3}&{3{\kern 1pt} {\kern 1pt} {\kern 1pt} 288.7}&{1{\kern 1pt} {\kern 1pt} {\kern 1pt} 134.8}&{44.3}&0&{4.57}\\ {7{\kern 1pt} {\kern 1pt} {\kern 1pt} 193.7}&{3{\kern 1pt} {\kern 1pt} {\kern 1pt} 910.9}&{309.41}&0&{28.7}&0\\ { - 837.5}&{778.6}&{ - 275.8}&{ - 0.2}&0&{37.2} \end{array}} \right] $ |
| $ {\rm{ diag}} (\mathit{\boldsymbol{K}}) = {\rm{ diag}} ({\mathit{\boldsymbol{E}}_{{T_0}}}{\mathit{\boldsymbol{K}}_T} + {\mathit{\boldsymbol{E}}_{K0}}{\mathit{\boldsymbol{K}}_K}) = {\left[ {\begin{array}{*{20}{c}} {15{\kern 1pt} {\kern 1pt} 098.3}&{6{\kern 1pt} {\kern 1pt} 413.6}&{7{\kern 1pt} {\kern 1pt} 928.2}&{44.3}&{28.7}&{37.2} \end{array}} \right]^{\rm{T}}} $ | (16) |
上述6个值分别表示模型沿OgXg轴、OgYg轴、OgZg轴的平动刚度和绕OgXg轴、OgYg轴、OgZg轴的转动刚度[14]。显然,OgXg方向的刚度最大,比沿OgYg、OgZg方向的平动刚度大1个数量级,比绕OgXg轴、OgYg轴、OgZg轴的转动刚度大3个数量级。
式(16)中各自由度上的刚度大小反应了支撑系统对模型的约束情况,即该悬挂系统在模型的3个转动自由度上约束最小,而横向与沉浮方向的约束次之,验证了双索悬挂系统符合全模颤振试验支撑释放除来流方向(即OgXg方向)以外的5个自由度的设计要求。这表明,图 1的全模颤振双索悬挂支撑在理论上是合理的。
2.3 系统刚体模态频率理论分析在建立系统静力学模型时,已经假设绳索质量忽略不计,且始终处于受拉状态,同时假设飞行器模型是一个刚体。基于这些假设,进一步建立双索悬挂系统无阻尼弹簧-振子振动模型:
| $ \mathit{\boldsymbol{M\ddot X}} + \mathit{\boldsymbol{KX}} = \mathit{\boldsymbol{F}}(t) $ | (17) |
式中:M为飞行器模型的惯性矩阵;K为系统总刚度矩阵;X为模型位姿参数;
| $ {\rm{ eig}}{{\rm{ }}_{\rm{g}}}({\mathit{\boldsymbol{M}}^{ - 1}}\mathit{\boldsymbol{K}}) = {\rm{det}} ({\mathit{\boldsymbol{M}}^{ - 1}}\mathit{\boldsymbol{K}} - \eta _q^2\mathit{\boldsymbol{I}}) = 0 $ | (18) |
式中:ηq为系统刚度矩阵第q阶特征值,进一步得到系统第q阶模态的固有频率fq:
| $ {f_q} = \frac{1}{{2\pi }}\sqrt {\frac{{{K_{qq}}}}{{{M_{qq}}}}} $ | (19) |
式中:Kqq为系统刚度矩阵K第q行q列元素值;Mqq为飞行器模型惯性矩阵M第q行q列元素值。
如上所述,全模颤振双索悬挂系统应能够释放模型俯仰、偏航、滚转、升沉及侧滑等5个方向自由度。飞行器模型在双索悬挂系统支撑下进行颤振试验,系统刚体模态的固有频率大小是决定试验成功与否的重要因素之一[22]。
系统刚体模态频率是衡量双索悬挂系统整体性能的指标之一。假设双索悬挂系统绳索预紧力从15 N逐渐增大到200 N左右,根据式(11)~式(15)以及式(19),计算在双索悬挂系统支撑下模型各阶刚体模态的固有频率。
实验室里对地面样机的测试结果表明,当模型处于静力平衡状态时,双索悬挂系统的竖直绳索预紧拉力和水平绳索预紧拉力在数值上差异较小,因此不失一般性地,在下面的分析中用竖直绳索和水平绳索的预紧拉力平均值描述悬挂系统的绳索预紧拉力,整体性地研究绳索预紧拉力对系统刚体模态频率的影响。
图 7给出了理论计算得到的系统各刚体模态频率受绳索预紧力影响的规律。表 3则给出了具体数值。当绳索预紧拉力为60 N左右时,计算所得系统刚体模态频率的分布与系统静刚度分析的结果式(16)在规律性上是一致的。
|
| 图 7 固有频率随绳索预紧力变化曲线(理论) Fig. 7 Natural frequencies vary with ropes tension (theoretical) |
| 序号 | 绳索预紧力/N | 固有频率/Hz | ||||
| 俯仰 | 偏航 | 滚转 | 侧滑 | 升沉 | ||
| 1 | 18.5 | 2.78 | 2.68 | 3.04 | 7.81 | 8.67 |
| 2 | 44.8 | 4.09 | 4.29 | 5.38 | 7.89 | 8.74 |
| 3 | 58.7 | 4.97 | 5.34 | 6.67 | 7.95 | 8.82 |
| 4 | 80.4 | 5.82 | 6.58 | 7.81 | 8.08 | 8.94 |
| 5 | 102.6 | 6.58 | 7.59 | 8.82 | 8.15 | 9.08 |
| 6 | 120.8 | 7.14 | 8.26 | 9.57 | 8.24 | 9.18 |
| 7 | 137.9 | 7.63 | 8.75 | 10.23 | 8.34 | 9.29 |
| 8 | 160.7 | 8.23 | 9.37 | 11.04 | 8.45 | 9.41 |
| 9 | 181.2 | 8.74 | 9.91 | 11.73 | 8.51 | 9.53 |
| 10 | 196.8 | 9.11 | 10.33 | 12.22 | 8.63 | 9.67 |
由图 7可知,系统刚体模态的固有频率随绳索预紧力增大而增大,但随绳索预紧力增长的速率不同,转动模态的固有频率受绳索预紧力的影响比平动模态大得多。
在图 7中,系统各刚体模态频率都保持在相对较低的频率范围内(<13 Hz)。其中,最大的刚体模态频率约为模型固有频率(一阶固有频率为38.561 Hz)的1/3,最小的刚体模态频率约为模型固有频率的1/10,符合全模颤振试验对模型支撑的要求。
转动模态方面,在一定绳索预紧力范围内,滚转模态的固有频率最大且随绳索预紧力增长的速率最快,俯仰模态的固有频率最低且随绳索预紧力增长最慢。平动模态方面,固有频率随绳索预紧力增大略微有增长,但是数值变化很小,且侧滑模态的固有频率略小于升沉模态的固有频率。
双索悬挂系统在OgXg方向的平动固有频率保持在20 Hz以上(图、表中未给出),远高于其他自由度的固有频率,体现了系统能够约束模型在来流方向的自由度,释放其他5个方向自由度的特点。
3 系统刚体模态频率测试下面通过地面样机模态频率测试试验,一方面考察双索悬挂系统刚体模态频率的变化规律以验证理论分析的结果,另一方面通过试验探究绳系结构对双索悬挂系统刚体模态频率的影响,深入了解双索悬挂系统的力学特性,为理论刚度模型的修正提供可靠的数据。
3.1 测试方法在地面样机上采用锤击法进行模态频率测试试验[23]。调整机身前、后滑轮与模型质心之间的距离为ζ1=ζ2=70 mm、机身前后滑轮总距离为ζ=ζ1+ζ2=140 mm。两个加速度计A、B分别固定于模型机身的前后部位(见图 8)。4个拉力传感器分别两两串接于竖直绳索和水平绳索处于滑轮两侧的两支。其中,传感器1、2分别串接于竖直绳索的两支,而传感器3、4分别串接于水平绳索的两支。
|
| 图 8 模态频率测试试验 Fig. 8 Modal frequency test experiment |
进行锤击试验时,在对竖直绳索和水平绳索施加一定预紧拉力的情况下,用力锤沿某一自由度方向敲击模型,激励模型自由振荡;绳索拉力因此发生变化,用串联在竖直绳索和水平绳索两端的拉力传感器测量绳索拉力响应信号;同时用粘附在模型上的加速度计测量模型的加速度响应信号。采集上述测量数据,再将绳索拉力响应和加速度响应信号分别进行傅里叶变换,可以得到该自由度方向的幅频特性。
按照上述方法,在不同绳索预紧力条件下,重复试验采样,获得足够的试验数据进行分析,可获得相应试验条件下双索悬挂系统刚体模态频率变化规律。
3.2 测试结果下面给出通过试验得到的双索悬挂系统对锤击激励的响应,以及绳索预紧力对系统刚体模态频率的影响。
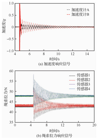
图 9为当竖直绳索预紧力为47.2 N、水平绳索预紧力为42.3 N时,模型受俯仰方向的锤击激励做自由振荡过程中采集到的绳索拉力响应和加速度响应信号。从图 9 (a)中可见,机身前后两个加速度计的响应信号相位相反,且机身后部加速度响应幅值大于前部。在图 9(b)中,水平绳索拉力的响应幅值略大于竖直绳索拉力。
|
| 图 9 绳索拉力响应和加速度响应 Fig. 9 Rope tension responses and acceleration responses |
分别对上述响应信号做傅里叶变换,可得到各自的频域特性曲线,如图 10所示,频率响应曲线的一阶模态模型对应激励方向上刚体模态的固有频率。
|
| 图 10 加速度响应和绳索拉力响应频谱 Fig. 10 Acceleration responses and ropes tension responses spectra |
图 10(a)为加速度幅频曲线,机身前部响应幅值小于机身后部响应幅值,但是对应的峰值频率相同;图 10(b)为绳索拉力幅频曲线,绳索串接的4个拉力传感器的响应信号中各阶频率一致性很好,且绳索拉力响应几个峰值频率都与图 10 (a)相同。这表明绳索拉力响应信号和加速度响应信号都能够较为准确地反应双索悬挂系统的刚体模态频率。
改变绳索的预紧力,从15 N逐渐增长到200 N左右,测试每一组绳索预紧力下系统各刚体模态频率的大小,结果如图 11所示。
|
| 图 11 固有频率随绳索预紧力变化曲线(试验) Fig. 11 Natural frequency with ropes tension (experimental) |
图 11的模态频率测试结果表明系统刚体模态频率随绳索预紧力的增大而升大,但都保持在较低的频率范围内(均不大于10 Hz)。各阶刚体模态的固有频率随绳索预紧力增加的速率各异。转动模态的固有频率受绳索预紧力的影响比平动模态大得多。在转动模态方面,在试验的绳索预紧力范围内,滚转模态的固有频率最大且增长最快,俯仰模态的固有频率最小且增长最慢;平动模态的固有频率随绳索预紧力增大略微有增长,但是量值很小,且横侧向模态的固有频率略小于升沉模态的固有频率。
在图 7和图 11中,双索悬挂系统在绳索预紧力小的情况下,升沉和横侧向的刚体模态频率都较高(5~9 Hz),其根本原因在于绳系对模型的约束方式。双索中的竖直绳索对模型的沉浮方向施加了约束,而水平绳索对模型的横侧向方向施加了约束。受约束越大的方向,刚度越大,刚体频率也越高。另一方面,在算例式(16)中,双索悬挂系统的平动刚度比转动刚度大两个数量级,刚度越大的方向,对应的刚体模态频率也会越高。
虽然机身内设置了滑轮,有助于释放平动自由度,但是作用效果有限。当绳索预紧力较小时,对地面样机上的模型,用手施加激励,在3个转动自由度方向,模型都很容易发生来回转动,说明刚度较低,对应的刚体频率也低;而在升沉和横侧向两个方向,刚度较大,需要施加较大的激励,才能使模型有较大的位移幅度。这表明这两个平动自由度方向的刚体模态频率较高。
3.3 仿真与试验结果对比对比图 7的理论仿真结果和图 11的试验测试结果可知, 双索悬挂系统各阶刚体模态对应的固有频率随绳索预紧力变化的规律是相同的,均随绳索预紧力增大而升高,且分布规律和增长趋势相同。但是,理论仿真结果和试验测试结果在数值上存在一定差异,其相对误差ef可表示为
| $ {e_f} = \frac{{{f_{{\rm{理论}}}} - {f_{{\rm{试验}}}}}}{{{f_{{\rm{理论}}}}}} $ | (20) |
图 12为各阶刚体模态的固有频率理论值和试验值之间的误差曲线。显然,如2.2节中的预测,理论仿真结果普遍大于试验测试结果。当绳索预紧拉力足够大时(在本文中,T>80 N)各刚体模态频率的理论分析值与试验值的相对误差基本不变,绳索预紧拉力的影响主要是在其值较小时。
|
| 图 12 理论结果与试验结果误差率曲线 Fig. 12 Error rate curves between theoretical and experimental results |
分析理论仿真结果与试验测试结果之间误差值ef的大小和分布关系,对加权矩阵进行修正:
| $ {\mathit{\boldsymbol{E}}_{K1}} = \frac{1}{{\sqrt 3 }}{\mathit{\boldsymbol{E}}_{K0}},{\mathit{\boldsymbol{E}}_{T1}} = \frac{1}{{\sqrt 2 }}{\mathit{\boldsymbol{E}}_{T0}} $ |
得到新的系统刚度矩阵计算式为
| $ \mathit{\boldsymbol{K}} = {\mathit{\boldsymbol{E}}_{T1}}{\mathit{\boldsymbol{K}}_T} + {\mathit{\boldsymbol{E}}_{K1}}{\mathit{\boldsymbol{K}}_K} $ | (21) |
在此基础上重新进行理论仿真, 得到系统刚体模态频率与试验值之间的误差降低到5%以内。因此,本文的理论建模方法是合理可行的。通过修正加权矩阵,仿真计算得到的系统刚体模态频率随绳索预紧力增长的趋势与试验结果一致,且各阶刚体模态固有频率的大小关系和分布规律与试验结果高度吻合。上述方法具有一定指导意义,可以为后续理论模型的修正提供参考。
3.4 机身滑轮安装参数的影响前述主要研究绳索预紧拉力对双索悬挂系统刚体模态频率的影响,下面讨论绳系结构的影响。这里,绳系结构的变化主要反映在机身滑轮位置的不同设置上。
2.1节中定义ζ1、ζ2为机身前后滑轮与模型质心之间的距离,两滑轮总间距为ζ= ζ1+ζ2。本节再定义机身前后滑轮到模型质心距离的比值为δ=ζ1/ ζ2。δ和ζ、ζ1、ζ2均为双索悬挂系统的结构参数,研究它们对系统的各阶转动模态固有频率的影响具有重要意义。
令机身前后滑轮关于模型质心对称布置,即δ=1,且机身前后滑轮间距ζ分别为134 mm、154 mm、174 mm,改变绳索预紧力,从15 N逐渐增长到200 N左右,测试每一组绳索预紧力下系统各刚体转动模态频率的大小。试验结果如图 13所示。
|
| 图 13 固有频率随绳索预紧力变化曲线(δ=1) Fig. 13 Natural frequency curves with rope tension of cable (δ=1) |
由图 13可知,3种滑轮间距下各转动模态的固有频率随绳索预紧力变化速率基本均无差异。绳索预紧力在100 N以内,悬挂系统的各刚体模态频率基本能够维持在8 Hz以下(结合图 11)。上述结果表明:当滑轮轴心距比例系数δ=1,即机身前后滑轮相对于质心对称布置,与质心的距离ζ1、ζ2相同时,系统刚体转动模态频率随绳索预紧力变化趋势与机身前后滑轮的间距ζ无关。也就是说这时绳索预紧力对系统刚体转动模态频率几乎没有影响。
令机身前、后两滑轮间距为ζ=134 mm,滑轮距比例系数δ=0.54, 1, 1.89,即机身前后滑轮关于模型质心成不对称布置,再进行上述试验测试。
试验结果如图 14所示。双索悬挂系统刚体转动模态频率仍随绳索预紧力增大而增大,但各转动模态的固有频率变化不同。
|
| 图 14 固有频率随绳索预紧力变化曲线(ζ=134 mm) Fig. 14 Natural frequency curves with rope tension of cable (ζ=134 mm) |
在图 14(a)中,俯仰模态的固有频率受δ的变化影响最大。当δ>1时,俯仰模态频率较δ=1时小;当δ < 1时,俯仰模态频率较δ=1时大。这表明,当前机身滑轮距离质心较后机身距离质心远时,俯仰模态频率减小,反之亦然。由图 14(b)可知,偏航模态固有频率的变化趋势是相反的。由此可以判定:机身前后滑轮到模型质心距离的比值δ是影响模型俯仰、偏航模态的固有频率的重要因素之一。但是在图 14(c)中,滚转模态频率对δ的变化分散性很小,几乎不受δ的影响,或者说,滚转模态频率与机身前后滑轮的位置基本无关,仅与绳索预紧力有关,但是绳索预紧力对滚转模态频率的影响比对其他两个转动模态的频率大。
在本文的试验条件下,系统刚体转动模态频率随绳索预紧力的增加而上升;当绳索预紧力小到一定水平(大约20 N)时,系统刚体转动模态频率的水平较低,可降到2~3 Hz左右,前后滑轮轴心距ζ对系统刚体转动模态频率的影响不显著。
绳索预紧力T、机身前后滑轮到模型质心距离的比值δ是系统刚体模态频率的重要影响因素。在后续的双索悬挂系统理论研究中,若将这些结构参数无量纲化,则有望提出一些可行的设计准则。
4 结论1) 系统各刚体模态频率与绳索预紧力呈正相关关系;3个转动模态固有频率中,滚转模态的固有频率最高且受影响最大,俯仰模态的最低且受影响较小;平动模态的固有频率受绳索预紧力影响较小,升沉模态的固有频率稍大于侧滑模态的。
2) 双索悬挂系统刚体模态频率的高低与其系统总刚度直接相关,总刚度大的自由度方向刚体模态频率也高,反之亦然。这一结果证明本文的研究方法是正确的。
3) 机身滑轮位置变化导致的绳系结构不同对滚转模态固有频率几乎没有影响,滑轮位置关于模型质心对称时,绳系结构的变化对俯仰模态、偏航模态的固有频率也几乎没有影响,但是滑轮位置关于模型质心不对称时,对俯仰模态、偏航模态的固有频率有不同程度的影响。
4) 双索悬挂系统能够在一定范围内释放模型除来流方向以外的5个自由度,且能使系统刚体模态频率足够低。
本文从理论和试验两方面验证了绳系结构和绳索预紧力对全模颤振双索悬挂系统刚体模态频率存在影响,可以通过改变绳系结构和绳索预紧力来调整系统刚体模态频率;所得结论可为双索悬挂系统的理论研究及其结构的优化设计提供参考。
| [1] |
杨希明, 刘南, 郭承鹏, 等. 飞行器气动弹性风洞试验技术综述[J]. 空气动力学学报, 2018, 36(6): 995-1008. YANG X M, LIU N, GUO C P, et al. A survey of aeroelastic wind tunnel test techonolgy of flight vechicles[J]. Acta Aerodynamica Sinica, 2018, 36(6): 995-1008. (in Chinese) |
| Cited By in Cnki (2) | Click to display the text | |
| [2] |
李秋彦, 李刚, 魏洋天, 等. 先进战斗机气动弹性设计技术[J]. 航空学报, 2020, 41(6): 523430. LI Q Y, LI G, WEI Y T, et al. Aeroelasticity design techniques for advanced fighter[J]. Acta Aeronautica et Astronautica Sinica, 2020, 41(6): 523430. (in Chinese) |
| Cited By in Cnki | Click to display the text | |
| [3] | SOLARI G. Wind actions and effects on structures[M]//Wind Science and Engineering. Springer, 2019: 655-801. |
| [4] | XU W, XU M, AN X. Aerodynamic and aeroelastic analysis of flying wing with split drag-rudder[C]//Asia-Pacific International Symposium on Aerospace Technology, 2018: 294-309. |
| [5] |
杨超, 黄超, 吴志刚, 等. 气动伺服弹性研究的进展与挑战[J]. 航空学报, 2015, 36(4): 1011-1033. YANG C, HUANG C, WU Z G, et al. Progress and challenges for aeroservoelasticity reseach[J]. Acta Aeronautica et Astronautica Sinica, 2015, 36(4): 1011-1033. (in Chinese) |
| Cited By in Cnki (35) | Click to display the text | |
| [6] |
郭东明, 贾振元, 杨睿, 等. 大型风洞气动弹性试验模型/支撑制造、感知与控制的科学问题[J]. 中国科学基金, 2017, 31(5): 428-431. GUO D M, JIA Z Y, YANG R, et al. Aeroelastic test model of large wind tunnel/Scientific issues of manufacturing, sensing and control[J]. Bulletin of National Natural Science Foundation of China, 2017, 31(5): 428-431. (in Chinese) |
| Cited By in Cnki (4) | Click to display the text | |
| [7] | REED W H. Aeroelasticity matters: Some reflections on two decades of testing in the NASA Langley transonic dynamics tunnel[R]. Washington, D.C.: NASA, 1981. |
| [8] | BENNETT R M, FARMER M G, MOHR R L, et al. Wind-tunnel technique for determining stability derivatives from cable-mounted models[J]. Journal of Aircraft, 1978, 15(5): 304-310. |
| Click to display the text | |
| [9] |
路波, 杨兴华, 罗建国, 等. 跨声速风洞全模颤振试验悬浮支撑系统[J]. 实验流体力学, 2009, 23(3): 90-94, 103. LU B, YANG X H, LUO J G, et al. Floatig suspension system for full model flutter test in transonic wind tunnel[J]. Journal of Experiments in Fluid Mechanics, 2009, 23(3): 90-94, 103. (in Chinese) |
| Cited By in Cnki (133) | Click to display the text | |
| [10] | KEHOE M W. Aircraft flight flutter testing at the NASA Ames-Dryden Flight Research Facility[J]. AIAA Journal, 1988, 10(6): 14-25. |
| Click to display the text | |
| [11] | AGGARWAL R R. Aircraft vibration and flutter[M]. Springer, 1956: 56-60. |
| [12] |
刘基海, 谷迎松, 杨智春, 等. 支撑刚度对飞翼模型固有模态和体自由度颤振特性的影响[J]. 振动工程学报, 2018, 31(5): 727-733. LIU J H, GU Y S, YANG Z C, et al. Influence of support stiffness on natural mode and body freedom flutter characteristics of a flying wing model[J]. Journal of Vibration Engineering, 2018, 31(5): 727-733. (in Chinese) |
| Cited By in Cnki (1) | Click to display the text | |
| [13] |
王大鹏, 蔡骏文. 橡皮绳悬挂系统对细长体飞行器地面模态试验影响分析[J]. 战术导弹技术, 2016(6): 26-32. WANG D P, CAI J W. Influence of elastic rope suspension system on slender vehicle modal test[J]. Tactical Missile Technology, 2016(6): 26-32. (in Chinese) |
| Cited By in Cnki (3) | Click to display the text | |
| [14] | ARSENAULT M. Stiffness analysis of a planar 2-DoF cable-suspended mechanism while considering cable mass[M]. Berlin: Springer, 2013: 405-421. |
| [15] | BOLBOLI J, MA K, ABDOLLAHI F. Stiffness feasible workspace of cable-driven parallel robots with application to optimal design of a planar cable robot[J]. Robotics and Autonomous Systems, 2019, 114: 19-28. |
| Click to display the text | |
| [16] | NOTASH L. Manipulator deflection for optimum tension of cable-driven robots with parameter variations[C]//Cable-Driven Parallel Robots, 2018: 125-136. |
| [17] | TORRES M, SERGIO, AMIR K. Design optimization of a warehousing cable-based robot[C]//ASME 2014 International Design Engineering Technical Conferences and Computers and Information in Engineering Conference. New York: ASME, 2014. |
| [18] | FERRAVANTAL V. Dynamic analysis of high precision construction cable-driven parallel robots[J]. Mechanism and Machine Theory, 2019, 135: 54-64. |
| Click to display the text | |
| [19] | WANG H, KINUGAWA J, KOSUGE K. Exact Kinematic modeling and identification of reconfigurable cable-driven robots with dual-Pulley cable guiding mechanisms[J]. IEEE/ASME Transactions on Mechatronics, 2019, 24(2): 774-784. |
| Click to display the text | |
| [20] | JING W, QI Z, WANG G, et al. Hybrid modeling for dynamic analysis of cable-pulley systems with time-varying length cable and its application[J]. Journal of Sound & Vibration, 2017, 406: 277-294. |
| Click to display the text | |
| [21] | QI Z, WANG J, WANG G, et al. An efficient model for dynamic analysis and simulation of cable-pulley systems with time-varying cable lengths[J]. Mechanism and Machine Theory, 2017, 116: 383-403. |
| Click to display the text | |
| [22] | GARRICK I E, REED Ⅲ W H. Historical development of aircraft flutter[J]. Journal of Aircraft, 1981, 18(11): 897-912. |
| Click to display the text | |
| [23] |
曹树谦, 张文德, 萧龙翔. 振动结构模态分析:理论、实验与应用[M]. 天津: 天津大学出版社, 2001: 52-78. CAO S Q, ZHANG W D, XIAO L X, et al. Modal analysis of vibration structure[M]. Tianjin: Tianjin University Press, 2001: 52-78. (in Chinese) |



