2. 中国空气动力研究与发展中心 设备设计及测试技术研究所, 绵阳 621000
2. Facility Design and Instrumentation Institute, China Aerodynamics Research and Development Center, Mianyang 621000, China
火星探测器在进入、下降和着陆(Entry, Descent and Landing, EDL)过程中会遭遇气动特性方面的挑战[1]。相比于地球,火星大气非常稀薄,大约只有地球大气密度的1%, 火星表面的气体密度大致相当于地球30 km高度的大气密度。与地球再入飞行器不同,火星探测器的减速高度较低,可能达不到最终的亚声速平衡下降速度,等到速度低至可以释放减速装置时,探测器距离火星表面已经非常近,留给着陆过程的时间十分有限[2]。图 1给出了火星和地球典型EDL过程的比较。一方面,稀薄的火星大气层会导致探测器减速不够;而另一方面,火星大气层并没有稀薄到可以忽视气动加热的程度。对于没有主动控制系统的探测器,稀薄气动特性的准确预测将是一个重要的问题。
|
| 图 1 火星和地球进入、下降和着陆过程的比较 Fig. 1 Comparison of EDL processes on the Mars and the Earth |
Moss等[2]利用直接模拟蒙特卡罗(DSMC)计算代码G2和DAC以及自由分子流计算软件,详细计算了探路者号火星探测器的稀薄气动特性,计算条件从自由分子流一直延续到连续流条件,攻角从0°~30°。结果显示探路者号在稀薄-过渡流动大部分区域都是静不稳定的。Edquist等[3]根据探路者号火星车的测试分析数据并使用Navier-Stokes(N-S)方程解算器LAURA的计算结果,建立了凤凰号火星探测器的气动力数据库。结果表明在高超声速过渡流以及近极限动压情况下,凤凰号存在静俯仰不稳定性。同时,非平衡流体力学效应还将导致探测器配平攻角非零,在近极限动压情况下,配平攻角可达2.5°。
国内吕俊明等[4]利用N-S方程解算器分析了火星科学实验室号进入火星大气时探测器周围的流场结构、化学非平衡效应和气体特性变化规律以及火星探路者号小攻角飞行的静不稳定性[5]。黄飞等[6]计算分析了火星稀薄大气真实气体效应对气动特性的影响。程晓丽等[7]针对火星再入环境,发展了类探路者号外形在不同火星轨道点的气动力特性预估方法。梁杰等[8]模拟了火星科学实验室号在火星大气环境70 km高度、进入速度为5.85 km/s下的高温真实气体效应对气动力、气动热和流场特征的影响。
量子动理学(Quantum Kinetic, QK)模型是DSMC方法中新近发展的一种化学反应模型[9]。QK模型已经成功吸引了许多学者的关注,在国内相关研究工作也正在开展。陈浩等[10]评估了QK模型在氮氧离解复合反应中的表现。杨超和孙泉华[11]针对高温气体热化学反应对比分析了典型化学反应模型(TCE(Total Collision Energy)、VFD(Vibrationally-Favored Dissociation)、QK)的微观动力学性质。在本文作者之前的研究中[12],利用绝热单元热泳平衡/非平衡测试算例,仔细评估了该模型在化学反应速率以及化学反应热松弛过程的预测能力,研究结果表明,QK模型具有优良的特性,可应用于高超声速化学反应流动计算,QK模型不依赖宏观的化学反应速率数据,可尝试在深空探测等难以获取可靠实验数据的领域应用。本文在之前研究的基础上,将量子动理学模型进一步应用于火星探测器再入流动稀薄气动特性的数值模拟,分析了流场结构及壁面物理量的分布情况,以进一步评估稀薄气体效应和化学反应对气动特性的影响规律以及QK模型的性能。
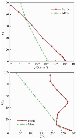
1 火星大气及化学反应模型火星大气成分为95%的CO2、3%的N2、1.6%的Ar,很少的O2、H2O等。图 2给出了火星和地球大气层密度ρ与温度T随高度h变化的比较。
|
| 图 2 火星和地球大气参数对比 Fig. 2 Comparison of atmosphere parameters on the Mars and the Earth |
与地球化学反应类似,火星化学反应同样可以采用TCE模型或者QK模型计算,只不过反应组份要从氮氧系列的五组份扩充到包含碳系列的八组份。CO2是线性三原子分子,有3个平动自由度、2个转动自由度和4个振动模态[13-15]。振动模态中,第1和第2模态为退化的弯曲模态,特征振动温度为945 K。第3模态为对称拉伸模态,特征振动温度为1 903 K。第4模态为反对称拉伸模态,特征振动温度为3 329 K。因为弯曲模态对应的能级最低,低温时CO2的绝大多数振动能集中在这一模态。此外,这一模态会与拉伸模态共振,导致振动-振动能量的快速交换[14]。
TCE模型可以采用Evans等给出的火星大气化学反应数据[16]。不考虑离子组份和Ar,一共有8种组份:O2、N2、O、N、NO、C、CO、CO2。反应共计54组,其中40组离解反应,14组置换反应,不考虑复合反应。
QK模型不依赖于宏观的化学反应速率系数,具体计算方法分析如下。
1.1 离解反应离解反应AB+M→A+B+M发生的条件为
| $ {i_{\rm \max }}>{\Theta _{\rm d}}/{\Theta _{\rm v}} $ | (1) |
式中:AB代表分子,A和B代表原子,M可以是分子,也可以是原子; Θd是分子离解特征温度; Θv是振动特征温度; imax是碰撞能Ec对应的最大振动能级,即
| $ {i_{\rm \max }} = \left\lfloor {\frac{{{E_{\rm c}}}}{{k{\Theta _{\rm v}}}} }\right\rfloor $ | (2) |
| $ {E_{\rm c}} = {\varepsilon _{\rm tr,AB,M}} + {\varepsilon _{\rm v,AB}} $ | (3) |
其中:
置换反应A+B→C+D发生的概率为
| $ {P_{\rm reac}} = {(1 - {E_{\rm a}}/{E_{\rm c}})^{3/2 - \omega }}/\sum\limits_{i = 0}^{{i_{\rm \max }}} {{{(1 - ik{\Theta _{\rm v}}/{E_{\rm c}})}^{3/2 - \omega }}} $ | (4) |
式中:A和C是分子;B和D是原子; Ea是活化能;ω是黏性温度指数。当Ea/k<Θv时,分母中的求和可近似等于1。
量子动理学火星化学反应模型与地球化学反应模型在计算软件内的执行是比较类似的,只需要注意CO2具有多个振动能级即可。
2 火星探测器再入特性计算与分析 2.1 计算条件为了增大减阻效果,火星探测器外形基本上都是采用70°半顶角的大钝锥前体外形,最早在海盗号上取得了成功。锥越钝,相同表面积的阻力越大,热流越小;锥越尖,更加稳定[17]。后来的探测任务大都吸取了海盗号的成功经验,只是大小和后体形状存在不同。
探路者号的外形是一个半顶角为70.19°的球形钝头大底后接一个46.63°的锥形后体,最大直径2.65 m,见图 3,图中Location表示不同的位置,x和y分别是各位置点的坐标,s为各点的弧长,从头部开始算起, Rn为头部半径,Rc为肩部倒圆半径,Rb为探测器最大半径,Ra为底部半径,V∞表示来流速度。探路者号的外形及其气动数据很大部分借鉴于海盗号。由于重心偏后,在自由分子流以及大部分过渡流区域,探路者号是静不稳定的[1, 18]。
来流气体中,两种气体的体积分数为XCO2=0.953 7,XN2=0.046 3。壁面条件为完全漫反射条件,不考虑催化。计算采用变径硬球(Variable Hard Sphere,VHS)模型,平动能和内能之间的松弛采用Larsen-Borgnakke模型, 转动和振动松弛数分别为5和50。化学反应采用TCE模型和QK模型计算,为了显示化学反应的影响,还进行了理想气体无化学反应的对比计算。由于流动的对称性,为节约计算资源,只计算一半的流场。计算网格包含了前体和尾涡。
计算条件如表 1所示,分别对应的高度为85 km、95 km和110 km。表中,ρ∞为来流密度,T∞为来流温度,Tw为壁面温度,Kn∞, HS为基于硬球模型的Knudsen数。
| Case | Height/km | V∞/(m·s-1) | ρ∞/(10-8 kg·m-3) | T∞/K | Tw/K | Kn∞, HS |
| 1 | 110 | 7 472.8 | 1.838 6 | 560 | 1.54 | |
| 2 | 95 | 7 479.5 | 13.759 | 750 | 137.4 | 0.206 |
| 3 | 85 | 7 483.3 | 51.816 | 900 | 0.054 7 |
图 4给出了使用TCE模型以及QK模型计算的驻点线上温度分布与理想气体结果的比较。从图中可以看出,探测器前方有耗散的激波结构形成,经过激波之后,流场温度迅速升高。流场呈现非常明显的热力学非平衡现象,平动温度Tt远高于转动温度Tr和振动温度Tv,振动温度的激发非常有限。QK模型计算的平动温度和转动温度的峰值都要远低于理想气体的结果,振动温度由于相对较低,差异不明显,这是与离解化学反应的吸热特性相吻合的。但是TCE模型的计算结果则不同,反而与理想气体的计算结果几乎一致,没有反映出化学反应的影响。对两种化学反应模型的平衡反应速率进行比较发现,文献[11]给出的TCE模型的反应速率系数比QK模型要低好几个数量级。因而使用这套TCE模型参数计算出来的化学反应影响与QK模型的结果相比几乎可以忽略。很多化学反应的实验数据都是在较低温度下测量得到的,而本算例的流场温度高达10 000 K,因此直接使用这些数据是不准确的。而且针对同一化学反应可能有许多组TCE模型参数,彼此差异很大,QK模型可以作为验证这些参数适用性的一种手段。
|
| 图 4 95 km高度真实气体与理想气体在驻点线上的温度分布比较 Fig. 4 Comparison of temperature distributions along stagnation line of real air and ideal air at 95 km altitude |
为了便于对比验证,本文根据QK模型的理论反应速率拟合了一组TCE模型参数,详见附录A和文献[19]。以下的计算结果中,TCE模型相关结果均使用根据QK模型拟合得到的参数。图 5给出了无化学反应(NR)和考虑化学反应后驻点线上的温度分布对比。从图中可以看出,化学反应使得平动温度、转动温度的峰值都大大下降,振动温度因为激发程度不高,所以差别并不大。考虑化学反应的总温度在激波位置比无化学反应的总温度更高,是因为离解反应产生了大量的原子组分,其内自由度均为0,使得流场统计得到的平均转动和振动自由度降低,而总温度是平动温度、转动温度和振动温度与相应的自由度加权平均的结果。使用根据QK模型理论结果拟合得到的TCE模型参数的计算结果与QK模型直接计算结果吻合良好。
| No. | Reaction | Λ | η | Ea/J |
| 1 | CO+O2→C+O+O2 | 1.108X10-8 | —1.333 | 1.780×10-18 |
| 2 | CO+N2→C+O+N2 | 1.232×10-8 | —1.330 | 1.780×10-18 |
| 3 | CO+O→C+O+O | 9.666×10-9 | -1.337 | 1.780×10-18 |
| 4 | CO+N→C+O+N | 1.010×10-8 | -1.337 | 1.780×10-18 |
| 5 | CO+NO→C+O+NO | L 122×10-8 | -1.336 | 1.780×10-18 |
| 6 | CO+C→C+O+C | 9.829×10-9 | -1.337 | 1.780×10-18 |
| 7 | CO+CO→C+O+CO | 6.295×10-9 | -1.329 | 1.780×10-18 |
| 8 | CO+CO2→C+O+CO2 | 1.115×10-8 | -1.351 | 1.780×10-18 |
| 9 | N2+O2→N+N+O2 | 8.233×10-9 | -1.326 | 1.563×10-18 |
| 10 | N2+N2→N+N+N2 | 4.555×10-9 | -1.322 | 1.563×10-18 |
| 11 | N2+O→N+N+O | 7.217×10-9 | -1.330 | 1.563×10-18 |
| 12 | N2+N→N+N+N | 7.537×10-9 | -1.330 | 1.563×10-18 |
| 13 | N2+NO→N+N+NO | 8.369×10-9 | -1.329 | 1.563×10-18 |
| 14 | N2+C→N+N+C | 7.337×10-9 | -1.330 | 1.563×10-18 |
| 15 | N2+CO→N+N+CO | 9.292×10-9 | -1.321 | 1.563×10-18 |
| 16 | N2+CO2→N+N+CO2 | 8.525×10-8 | -1.346 | 1.563×10-18 |
| 17 | NO+O2→N+O+O2 | 2.789×10-9 | -1.292 | 1.040×10-18 |
| 18 | NO+N2→N+O+N2 | 3.036×10-9 | -1.287 | 1.040×10-18 |
| 19 | NO+O→N+O+O | 2.506×10-9 | -1.297 | 1.040×10-18 |
| 20 | NO+N→N+O+N | 2.619×10-9 | -1.297 | 1.040×10-18 |
| 21 | NO+NO→N+O+NO | 1.435×10-9 | -1.295 | 1.040×10 -18 |
| 22 | NO+C→N+O+C | 2.554×10-9 | -1.297 | 1.040×10-18 |
| 23 | NO+CO→N+O+CO | 3.078×10-9 | -1.285 | 1.040×10-18 |
| 24 | NO+CO2→N+O+CO2 | 3.156×10-8 | -1.319 | 1.040×10-18 |
| 25 | CO2+O2→CO+O+O2 | 2.290×10-10 | -1.165 | 4.741×10-19 |
| 26 | CO2+N2→CO+O+N2 | 2.416×10-10 | -1.157 | 4.741×10-19 |
| 27 | CO2+O→O+O+O | 2.291×10-10 | -1.173 | 4.741×10-19 |
| 28 | CO2+N→CO+O+N | 2.408×10-10 | -1.173 | 4.741×10-19 |
| 29 | CO2+NO→CO+O+NO | 2.406×10-10 | -1.171 | 4.741×10-19 |
| 30 | CO2+C→CO+O+C | 2.393×10-10 | -1.173 | 4.741×10-19 |
| 31 | CO2+CO→CO+O+CO | 2.421×10-10 | -1.155 | 4.741×10-19 |
| 32 | CO2+CO→CO+O+CO2 | 1.454×10-10 | -1.208 | 4.741×10-19 |
| 33 | O2+O2→O+O+O2 | 3.588×10-10 | -1.193 | 8.197×10-19 |
| 34 | O2+N2→O+O+N2 | 7.742×10-10 | -1.187 | 8.197×10-19 |
| 35 | O2+O→O+O+O | 6.517×10-10 | -1.199 | 8.197×10-19 |
| 36 | O2+N→O+O+N | 6.820×10-10 | -1.199 | 8.197×10-19 |
| 37 | O2+N→O+O+NO | 7.441×10-10 | -1.197 | 8.197×10-19 |
| 38 | O2+O→O+O+C | 6.646×10-10 | -1.199 | 8.197×10-19 |
| 39 | O2+CO→O+O+CO | 7.824×10-10 | -1.185 | 8.197×10-19 |
| 40 | O2+CO2→O+O+CO2 | 8.596×10-10 | -1.225 | 8.197×10-19 |
| 41 | CO+N→NO+C | 9.590×10-14 | -0.672 | 7.404×10-19 |
| 42 | NO+C→CO+N | 1.085×10-13 | -0.713 | 0 |
| 43 | CO+CO→CO2+C | 4.370×10-14 | -0.637 | 9.072×10-19 |
| 44 | CO2+C-CO+CO | 1.349×10-13 | -0.831 | 0 |
| 45 | CO+O→O2+C | 9.183×10-14 | -0.672 | 9.601×10-19 |
| 46 | O2+C→CO+G | 1.019×10-13 | -0.711 | 0 |
| 47 | N2+O→NO+N | 9.382×10-14 | -0.669 | 5.238×10-19 |
| 48 | NO+N→N2+O | 1.113×10-13 | -0.713 | 0 |
| 49 | NO+CO→CO2+N | 1.008×10-13 | -0.678 | 1.666×10-19 |
| 50 | CO2+N→NO+CO | 1.386×10-13 | -0.836 | 0 |
| 51 | NO+O→O2+N | 1.064×10-13 | -0.713 | 2.687×10-19 |
| 52 | O2+N→NO+O | 9.663×10-14 | -0.716 | 0 |
| 53 | CO2+O→O2+CO | 1.319×10-13 | -0.836 | 3.823×10-19 |
| 54 | O2+CO→CO2+O | 8.753×10-14 | -0.681 | 3.300×10-19 |
| 注:化学反应速率系数 |
||||
|
| 图 5 95 km高度化学反应对驻点线上温度分布的影响 Fig. 5 Effects of chemical reaction on temperature distribution along stagnation line at 95 km altitude |
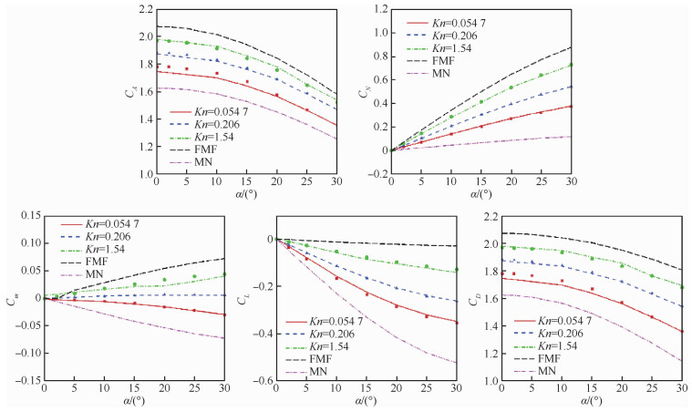
图 6给出了95 km高度下气动力系数随攻角α的变化曲线,FMF为自由分子流计算结果,MN为修正牛顿公式计算结果。从图中可以看出,随着攻角的增加,轴向力系数CA和阻力系数CD逐渐减小; 升力系数CL为负,且与阻力相比很小; 法向力系数CN和升力系数都随攻角增加而增大; 俯仰力矩系数Cm随攻角变化不大,基本位于0附近。
|
| 图 6 95 km高度气动力系数随攻角的变化 Fig. 6 Variations of aerodynamic coefficients with angle of attack at 95 km altitude |
图 7给出了气动力系数随稀薄程度的变化。曲线分别代表本文不同稀薄程度的计算结果,对应的符号(圆点、三角和方框)代表文献[18]的结果,分别代表自由分子流和修正牛顿理论的结果。从图中可以看出,随着Knudsen数的增大,即流动稀薄程度增加,轴向力系数、法向力系数和阻力系数都随之增大,升力系数则相反,俯仰力矩系数甚至发生变号。所有的计算结果均位于自由分子流和修正牛顿理论结果之间。
|
| 图 7 气动力系数随稀薄程度的变化 Fig. 7 Variations of aerodynamic coefficients with degree of rarefaction |
随着稀薄程度的增加,分子自由程逐渐增大,来流分子与探测器表面的碰撞比来流分子之间以及来流分子与从探测器表面碰撞反射回的分子碰撞频繁得多,距离较远的分子也有可能撞击到探测器表面,因而黏性增强导致摩阻对轴向力的贡献增大[20]。无量纲阻力系数增大主要是随高度的增加动压迅速降低造成的[6]。
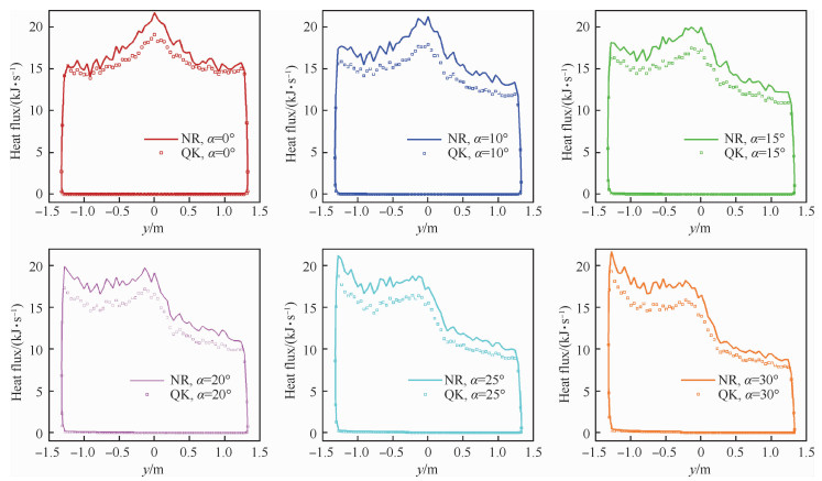
虽然化学反应对气动力的影响较小,但是其对气动热的影响不容忽略。95 km高度0°攻角状态下,不考虑化学反应的驻点热流约为21.7 kW;考虑化学反应后,则降至约19.1 kW,降幅达12.0%。其余攻角下的驻点热流降幅也有14%左右。这说明吸热离解反应在流场中占据主导地位,若考虑壁面催化反应,热流降幅将更显著。驻点热流随攻角的变化不是单调的,不考虑化学反应时,15°攻角下的驻点热流值最低,考虑化学反应后,20°攻角下的驻点热流最低,详见表 2。
| 攻角/(°) | 驻点热流/W | |
| NR | QK | |
| 0 | 21 734.93 | 19 077.26 |
| 10 | 21 927.17 | 18 224.26 |
| 15 | 20 817.71 | 17 982.88 |
| 20 | 20 863.70 | 17 780.13 |
| 25 | 22 110.17 | 18 822.34 |
| 30 | 22 590.03 | 19 548.84 |
图 8给出了探测器对称面剖面上的热流分布,从图中可以看出,热流计算结果展现出较大的统计涨落;考虑化学反应后,迎风面热流普遍降低;当攻角较小时,驻点热流值最高;随着攻角的增大,肩部的热流逐渐升高并超过驻点值;背风面热流很低,几乎为零。
|
| 图 8 95 km高度化学反应对对称面剖面上热流分布的影响 Fig. 8 Effects of chemical reactions on heat flux distributions on symmetry plane of body at 95 km altitude |
本文概述了火星大气环境以及火星探测器在进入、下降和着陆阶段所面临的气动问题。TCE模型和QK模型都可以用于火星大气化学反应模拟,只是反应的组份、数目及类型与地球大气化学反应相比略有区别。火星大气反应数据较少且不完整,不同的反应速率系数得到的计算结果差别较大。
QK模型摆脱了化学反应宏观速率系数的限制,计算结果与内在物理机理相符合,且不包含自由参数,结果具有唯一性。根据QK模型平衡反应速率的理论结果还可以拟合出对应的TCE模型参数,经验证使用该参数的TCE模型计算结果与QK模型直接计算的结果吻合良好。QK模型可以作为验证TCE模型参数适用性的一种手段。化学反应对火星再入高空气动力的影响较小,但是对气动热的影响不容忽略,因此在化学反应模型的选取应用上应力求能贴近真实飞行状况。
综上,QK模型的应用具有很大的优势,值得进一步的发展。
| [1] | SPENCER D, BLANCHARD R, BRAUN R, et al. Mars Pathfinder entry, descent and landing reconstruction[J]. Journal of Spacecraft and Rockets, 1999, 36(3): 357-366. |
| Click to display the text | |
| [2] | MOSS J N, WILMOTH R G, PRICE J M. DSMC simulations of blunt body flow for Mars entries: Mars pathfinder and Mars microprobe capsules[C]//32nd AIAA Thermophysics Conference. Reston: AIAA, 1997. |
| Click to display the text | |
| [3] | EDQUIST K T, DESAI P N, SCHOENENBERGER M. Aerodynamics for the Mars Phoenix entry capsule[J]. Journal of Spacecraft and Rockets, 2011, 48(5): 713-726. |
| Click to display the text | |
| [4] |
吕俊明, 程晓丽, 王强. 飞行器进入火星大气的流场预测[J]. 中国空间科学学报, 2013, 33(2): 129-134. LV J M, CHENG X L, WANG Q. Flow field prediction of an orbiter entering the Mars atmosphere[J]. Chinese Journal of Space Science, 2013, 33(2): 129-134. (in Chinese) |
| Cited By in Cnki (10) | Click to display the text | |
| [5] |
吕俊明, 苗文博, 黄飞, 等. 火星进入器小攻角飞行的静不稳定性[J]. 计算物理, 2016, 33(3): 297-304. LV J M, MIAO W B, HUANG F, et al. Static instability of Mars entry vehicles flying at small angle of attack[J]. Chinese Journal of Computational Physics, 2016, 33(3): 297-304. (in Chinese) |
| Cited By in Cnki (1) | Click to display the text | |
| [6] |
黄飞, 吕俊明, 程晓丽, 等. 火星进入器高空稀薄气动特性[J]. 航空学报, 2017, 38(5): 120457. HUANG F, LYU J M, CHENG X L, et al. Aerodynamics of Mars entry vehicles under hypersonic rarefied condition[J]. Acta Aeronautica et Astronautica Sinica, 2017, 38(5): 120457. (in Chinese) |
| Cited By in Cnki (3) | Click to display the text | |
| [7] |
程晓丽, 李俊红, 王强. 空间飞行器在火星再入环境下的气动力特性[J]. 宇航学报, 2010, 31(4): 967-972. CHENG X L, LI J H, WANG Q. Aerodynamic force characteristics of Mars entry vehicles[J]. Journal of Astronautics, 2010, 31(4): 967-972. (in Chinese) |
| Cited By in Cnki (22) | Click to display the text | |
| [8] |
梁杰, 李志辉, 杜波强, 等. 真实气体效应对MSL火星进入气动特性的影响研究[J]. 航天返回与遥感, 2017, 38(4): 8-17. LIANG J, LI Z H, DU B Q, et al. Numerical research of real gas effect on MSL Mars entry aerodynamic characteristics[J]. Spacecraft Recovery & Remote Sensing, 2017, 38(4): 8-17. (in Chinese) |
| Cited By in Cnki (2) | Click to display the text | |
| [9] | BIRD G A. The Q-K model for gas-phase chemical reaction rates[J]. Physics of Fluids, 2011, 23: 106101. |
| Click to display the text | |
| [10] |
陈浩, 李林颖, 张斌, 等. Q-K模型在氮氧离解复合反应中的评估[J]. 空气动力学学报, 2018, 36(1): 17-21. CHEN H, LI L Y, ZHANG B, et al. Assessment of Q-K model for nitrogen and oxygen dissociation-recombination[J]. Acta Aerodnamica Sinica, 2018, 36(1): 17-21. (in Chinese) |
| Cited By in Cnki (4) | Click to display the text | |
| [11] |
杨超, 孙泉华. 高温气体热化学反应的DSMC微观模型分析[J]. 力学学报, 2018, 50(4): 722-733. YANG C, SUN Q H. Analysis of DSMC reaction models for high temperature gas simulation[J]. Chinese Journal of Theoretical and Applied Mechanics, 2018, 50(4): 722-733. (in Chinese) |
| Cited By in Cnki (4) | Click to display the text | |
| [12] |
李锦, 耿湘人, 陈坚强, 等. 量子动理学化学反应模型的应用研究[J]. 航空学报, 2019, 40(4): 122176. LI J, GENG X R, CHEN J Q, et al. Numerical simulation on DSMC quantum kinetic chemical reaction model[J]. Acta Aeronautica et Astronautica Sinica, 2019, 40(4): 122176. (in Chinese) |
| Cited By in Cnki | Click to display the text | |
| [13] | HINDELANG F J. Coupled vibration and dissociation relaxation behind strong shock waves in carbon dioxide[R]. New York: Ames Research Center, 1967. |
| Click to display the text | |
| [14] | HASH D B, HASSAN H A. Monte Carlo simulation of entry in the Martian atmosphere[J]. Journal of Thermophysics and Heat Transfer, 1993, 7(2): 228-232. |
| Click to display the text | |
| [15] | CANDLER G. Computation of thermo-chemical nonequilibrium Martian atmosphere entry flows[C]//AIAA/ASME 5th Joint Thermophysics and Heat Transfer Conference. Reston: AIAA, 1990. |
| Click to display the text | |
| [16] | EVANS J S, SCHEXNAYDER C J, GROSEF W L. Effects of nonequilibrium ablation vhemistry on Viking radio blackout[J]. Journal of Spacecraft and Rockets, 1974, 11(2): 84-88. |
| Click to display the text | |
| [17] | MITCHELTREE R A, MOSS J N, CHEATWOOD F M, et al. Aerodynamics of the Mars microprobe entry vehicles[J]. Journal of Spacecraft and Rockets, 1999, 36(3): 392-398. |
| Click to display the text | |
| [18] | MOSS J N, WILMOTH R G, PRICE J M. Direct simulation Monte Carlo calculations of aerothermodynamics for Mars microprobe capsules[J]. Journal of Spacecraft and Rockets, 1999, 36(3): 399-404. |
| Click to display the text | |
| [19] |
李锦.高超声速稀薄气体流动的DSMC方法研究及应用[D].绵阳: 中国空气动力研究与发展中心, 2018. LI J. Research and application of the direct simulation Monte Carlo method for hypersonic rarefied flows[D]. Mianyang: China Aerodynamics Research and Development Center, 2018(in Chinese). |
| [20] |
唐志共, 杨彦广, 梁杰, 等. 球双锥外形稀薄过渡流区气动特性研究[J]. 空气动力学学报, 2006, 24(3): 389-395. TANG Z G, YANG Y G, LIANG J, et al. Aerodynamic characteristics of rarefied transitional flow around sphere-bicone configuration[J]. Acta Aerodynamica Sinica, 2006, 24(3): 389-395. (in Chinese) |
| Cited By in Cnki (2) | Click to display the text |



