风洞试验中模型表面压力分布测量是了解飞行器气动性能的最基本手段之一,是飞行器总体和结构设计、气动载荷分布预测和强度校核不可或缺的试验技术。传统压力测量方法以在模型表面布设测压孔,通过管路连接压力传感器来测量物面压力的方式为主,该方法具有空间分辨率低、模型机加复杂、薄部件难以布置测压孔等诸多工程使用局限。压敏漆(PSP)测压技术是20世纪80年代发展的一种光学测压方法,该方法利用高分子有机物的光致发光特性和氧分子对激发态探针分子去活的“氧猝熄”效应,以适当波长的激发光照射布满含有探针分子压敏涂料的受测物面,由光强采集设备捕捉涂层表面灰度图像,经过图像处理和灰度与压力转换,获得受测物面的压力分布。该技术以非侵入的方式获得物面高分辨率压力图谱,能够更加直观、全面、准确地反映受测物面的压力分布和流场结构,弥补和避免了传统压力测量方式的固有缺陷和不足,体现出不可替代的独特优势。Peterson和Fitzgerald于20世纪80年代率先演示了基于高分子聚合物涂料发光氧猝灭效应的表面流动显示技术,揭示了利用氧传感器进行表面压力测量的可能性[1]。此后,压敏漆技术在国际空气动力学和航空航天领域受到了广泛关注和深入研究[2-7]。目前,欧美各国和日本对于压敏漆测压技术的工程应用研究已十分成熟,并在国外各大生产型风洞中建立了相应的测量系统。国内对于压敏漆测量技术的研究已处于工程应用及自主发展阶段,相继构建了压敏漆测压系统并对测量技术开展了研究探索[8-18]。
目前,中国空气动力研究与发展中心在其所属的2.4 m跨声速风洞中已经建立了PSP测量系统并得到了成功应用,但该系统体积较大,无法用于0.6 m量级的小风洞中。同时,为了检验PSP技术的测量精准度,需要将PSP与压力传感器结果进行比较,试验时需严格确保两者测量的同步性。为了填补0.6 m量级高速风洞PSP测量技术的空白,使之满足高精度、高分辨率表面压力测量的需求,本文基于小型化设备,在解决了PSP与压力传感器同步测量的问题后,建立了0.6 m亚跨超声速风洞PSP系统,并成功应用于激波控制鼓包机翼模型的表面压力测量中,验证了设计鼓包激波控制的效果,并详细研究了PSP涂料喷涂影响、图像滤波效果和系统测量稳定性及精准度等技术细节。
1 研究模型与风洞研究模型为后掠角20°、弦长0.2 m的机翼测压钢质模型,共两套:基本外形和激波控制鼓包外形(如图 1所示),喷涂压敏漆后的模型如图 2所示。两种外形的基本尺寸相同,均为层流翼型,翼型最大厚度为10%弦长,位于45%弦长处,最大弯度为1.3%弦长,位于50%弦长处。鼓包外形在基本外形基础上沿展向均匀布置一组圆形鼓包,鼓包最大高度为0.7%弦长,位于65%弦长处。此外,在模型展向50%位置布置了测压点,文中称该位置为典型剖面,利用常规压力传感器测量测压点压力并与压敏漆试验结果进行比较,以检验压敏漆系统的测量精准度。
|
| 图 1 研究模型 Fig. 1 Research mode |
|
| 图 2 喷涂PSP的模型 Fig. 2 Sprayed model with PSP |
基于中国空气动力研究与发展中心高速空气动力研究所FL-21风洞建立了PSP测量系统。该风洞是一座半回流暂冲式亚跨超三声速风洞,试验段长1.775 m,横截面为0.6 m×0.6 m的正方形,上下壁板可更换,左右壁板固定。超声速试验段四壁均为实壁,亚跨声速试验段左右为实壁,上下壁板为开60°斜孔的开孔壁,试验段模型区开孔率可在2.4%~7.6%范围变化。试验研究在四壁为实壁的试验段内进行。试验前对实壁跨声速洞体进行了流校,对洞体参数进行了调整,并专门编写调试了开车控制程序,流校结果表明亚跨声速流场马赫数均匀性和梯度均满足国军标要求。模型及PSP系统在风洞中的安装照片见图 3。
|
| 图 3 模型及PSP系统安装位置 Fig. 3 Installation position of model and PSP system |
建立的PSP系统由涂料、喷涂与固化系统、校准系统、光源及采集系统、同步控制器和图像后处理软件组成。涂料为FIB双组份压敏漆,激发光为波长405 nm的蓝光,发射光由两个波长光构成,压力光为650 nm红光,参考光为550 nm绿光。该压敏漆具有较高的压力灵敏度(0.7%/kPa)与较低的温度灵敏度(0.05%/℃),压力测量范围为5~200 kPa,工作温度范围为0~50 ℃。涂料喷涂与固化系统主要由模型表面处理设备、涂料配制系统、喷涂系统、固化系统以及喷涂检测仪器组成。校准系统主要由光学平台、压力/温度校准舱、压力调节系统、温度调节系统、压力/温度自动控制系统、图像采集与后处理系统、光源与CCD组成,静态校准系统构成示意图见图 4,图 5为压力/温度校准舱。激发光源为LM2XX-DM,由阵列式LED发光二级管构成,水冷,有连续照射、脉冲照射两种模式,输出功率为8~12 W,发光主峰为400 nm,光功率输出稳定性为0.1%/h,具有良好的稳定性及较长的使用寿命,光源如图 6所示。相机ISSI-CCD-C为14位科学级彩色CCD相机,分辨率为1 600×1 200像素,带背板制冷,配备的镜头有8 mm、50 mm、75 mm定焦镜头及9.5~152 mm变焦镜头, 本项试验研究中采用8 mm镜头和600 nm高通滤镜,相机如图 7所示。试验图像后处理软件可完成标记点识别、背景图像扣除、图像平均、图像比运算、图像配准、图像滤波和压力图谱运算及显示等二维图像处理。
|
| 图 4 PSP校准系统 Fig. 4 PSP calibration system |
|
| 图 5 压力/温度校准舱 Fig. 5 Pressure/temperature calibration cell |
|
| 图 6 LM2XX-DM水冷光源 Fig. 6 LM2XX-DM water cooling light source |
|
| 图 7 ISSI-CCD-C彩色CCD相机 Fig. 7 ISSI-CCD-C color CCD camera |
为了解决PSP与压力传感器的同步测量问题,需要设计同步采集策略。具体策略为,启动风洞,待流场稳定后,由风洞测控系统发出一个脉冲信号,同步触发器(PSG)接收信号后,同步发出三路信号,分别供给光源、相机控制器和9016扫描阀,以便分别控制光源开启、相机采集和压力传感器采集。PSG采集时序设置为每次车30个周期,每个周期500 ms,PSG收到触发信号后光源开启延迟5 ms,相机采集延迟150 ms,9016扫描阀采集延迟150 ms。相机延迟大于光源延迟,保证了光源激发后再进行图像采集的正确时序,扫描阀与相机延迟一致,保证了PSP与压力传感器的同步测量。在相机曝光周期内选择扫描阀采集数据进行平均处理,平均后的扫描阀测量数据序列与曝光图像序列可实现同步对应。
4 试验结果与分析基于所建立的0.6 m风洞PSP系统,本文研究了涂料喷涂影响、滤波方法、系统测量稳定性和精准度,并对激波控制鼓包的试验应用效果进行了分析。
4.1 喷涂对表面压力的影响涂料喷涂会给模型表面粗糙度和厚度带来一定改变,为了弄清这种改变对表面压力分布的影响,需要对模型喷涂前后压力结果进行对比分析。
由于本期模型喷涂质量不佳,在测压孔附近出现涂料堆积(见图 8),烘烤固化时在部分测压孔位置处落入异物(见图 9),造成了表面粗糙度的极大改变。图 10为基本外形马赫数0.73、迎角0°状态下,喷涂前后典型剖面测压孔位置压力传感器结果的压力系数Cp曲线。可以看出,喷涂前曲线较为光滑,激波前负压峰值范围较宽,喷涂后,由于喷涂质量不佳,在负压峰值以前部位的测压孔附近出现涂料堆积和落入异物的情况,导致该区域的压力数据跳动很大,峰值范围较窄,鼓包外形的负压双峰消失,喷涂质量不佳使得激波位置和形态变化较大,从而极大影响了波后的压力分布。鉴于翼型前部压力传感器测压数据跳动较大的情况,本文后续只以负压峰值后的测压孔数据来评判PSP测量的精准度。
|
| 图 8 喷涂造成测压孔处的涂料堆积 Fig. 8 Local coating accumulation existing in pressure taps position |
|
| 图 9 烘烤固化时部分测压孔处落入异物 Fig. 9 Foreign body existing in pressure taps position |
|
| 图 10 表面喷涂PSP对压力系数的影响 Fig. 10 Impact of PSP coating layer on surface pressure coefficient |
相机噪声、光源强度微弱波动等不确定因素会带来PSP测量图像的弱噪声,尤其是本文试验中喷涂质量不佳,使得压力波动较大,需要进行消噪平滑处理。PSP图像后处理中通过图像滤波进行消噪平滑,研究中采用高斯滤波,滤波窗口大小和迭代次数决定了滤波效果。通常来说,滤波窗口越大、迭代次数越多,消噪效果越佳,压力分布越平滑,但同时会消弱峰值和突变区域的真实性,所以滤波参数要慎重选取。
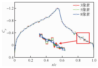
图 11是基本外形上表面典型剖面位置处不同滤波窗口大小的PSP压力系数对比曲线,迭代次数均为1次,窗口直径分别为3像素、5像素和8像素。可以看出,5像素与3像素的滤波效果相当,翼型前部和后部压力波动仍较大,8像素曲线滤波效果较好,极大改善了波动区域的压力跳动,同时对吸力峰值几乎没有削弱。
|
| 图 11 不同窗口大小的滤波效果 Fig. 11 Filtered effect of different filter window sizes |
8像素曲线整体光滑度较好,但在翼型后部区域中,仍存在跳动略大的情况,可通过增加迭代次数进一步减小压力波动。图 12为基本外形典型剖面不同迭代次数的PSP压力系数对比曲线,滤波窗口均为8像素,迭代次数分别为1次、3次和5次。可以看出,迭代3次明显削弱了翼型后部区域的压力波动,曲线更加光滑,且对吸力峰几乎没有削弱,迭代5次的平滑效果与迭代3次差异不大,但对于吸力峰的削弱稍强。
|
| 图 12 不同迭代次数的滤波效果 Fig. 12 Filtered effect of different filtering iteratives |
采用8像素窗口、迭代3次的高斯滤波方法可极大改善波动区域的压力跳动,同时对吸力峰值几乎没有削弱,消噪平滑效果较好。
4.3 PSP系统测量稳定性PSP试验测量结果的稳定性是工程应用的重要指标,本文通过PSP试验重复性结果来考核0.6 m风洞PSP系统的测量稳定性,重复性包括不同车次重复性和同一车次不同剖面重复性两种。
图 13为Ma=0.73、迎角0°条件下,基本外形不同车次PSP和压力传感器压力系数重复性曲线,因为喷涂质量不佳,压力传感器曲线在翼型前部波动较大,文中只给出后部压力系数曲线。可以看出,大部分区域的PSP测量值重复性良好,但在前后缘的局部位置处误差略大,压力传感器重复性结果也反映了同样的趋势,说明该位置PSP测量重复性误差主要是真实压力分布变化造成的,与测量系统自身稳定性无关。
|
| 图 13 PSP和压力传感器压力系数重复性曲线 Fig. 13 Pressure coefficient repeatability curves of PSP and pressure sensor |
图 14为Ma=0.73、迎角0°条件下,基本外形不同弦向剖面PSP压力系数重复性曲线,3个剖面的展向位置分别为38%、50%和62%机翼展长。可以看出,3个剖面的压力系数重复性较好,偏差基本在0.02以内,说明0.6 m风洞PSP系统的测量稳定性较高。
|
| 图 14 不同剖面PSP压力系数重复性 Fig. 14 PSP pressure coefficient repeatability of different sections |
参考国外通用处理方法[19],以同一车次中所有测压孔处PSP与压力传感器的测量均方根(RMS)差量来衡量该车次PSP整体测量误差。即
| $ \overline {\Delta {C_p}} = \sqrt {\frac{{\sum\limits_{i = 1}^N {|\Delta {C_{pi}}{|^2}} }}{N}} $ | (1) |
式中:
图 15给出了马赫数0.73下,典型剖面PSP与压力传感器的压力系数对比曲线,表 1给出了各马赫数下PSP的整体测量误差。从图 15和表 1可以看出PSP与压力传感器压力系数整体均方根偏差
|
| 图 15 PSP与压力传感器压力系数对比曲线 Fig. 15 Pressure coefficient contrast curves of PSP and pressure sensor |
| 构型 | Ma | α/(°) | ||
| 基本外形 | 0.73 | 0 | 513 | 0.019 |
| 基本外形 | 0.74 | 0 | 608 | 0.022 |
| 基本外形 | 0.75 | 0 | 620 | 0.022 |
| 鼓包外形 | 0.73 | 0 | 435 | 0.016 |
| 鼓包外形 | 0.74 | 0 | 305 | 0.011 |
| 鼓包外形 | 0.75 | 0 | 311 | 0.011 |
| 鼓包外形 | 0.77 | 0 | 236 | 0.008 |
鼓包的设计状态为马赫数0.73、迎角0°。为了检验鼓包在设计状态和稍偏离设计马赫数状态下的激波控制效果,分别在设计状态(马赫数0.73、迎角0°)及两个稍偏离设计状态(马赫数0.74、迎角0°和马赫数0.75、迎角0°)下进行了机翼上表面PSP压力测量。图 16为不同状态下压敏漆试验所获得的机翼上表面鼓包外形减去基本外形的压力系数差量(ΔCp)图谱,其中,绿色圆形区域为鼓包位置,红色带状区域为吸力峰值区域。图 17为不同状态下,基本外形和鼓包外形50%展向位置典型剖面压力系数分布对比。可以看出,在设计状态下,上翼面吸力峰位置紧靠鼓包前部,与基本外形相比,设计鼓包使得吸力峰降低(图 16中红色区域),从而减弱了激波强度,鼓包区域负压略微增大,但量值极小,两种外形在鼓包的间隔区域中压力系数相当,鼓包有效减弱了吸力峰负压,降低了激波强度和波阻,又对吸力峰前后压力影响很小,保证了机翼的升力不降低,从而可以有效提高机翼的升阻比。在稍偏离设计状态下,设计鼓包同样降低了上翼面吸力峰,减弱了激波强度和波阻,吸力峰值减弱程度略小于设计状态。紧靠鼓包后的小范围区域内压力略有增加,但整个上翼面产生的升力与基本外形相差很小,说明在稍偏离设计马赫数状态下鼓包仍能提高机翼的升阻比。
|
| 图 16 鼓包外形与基本外形上表面压力系数差量图谱 Fig. 16 Differential pressure coefficient distributions of bump wing and original wing |
|
| 图 17 基本外形和鼓包外形典型剖面压力系数分布 Fig. 17 Pressure coefficient distribution of bump wing and original wing at typical section |
利用发展的FL-21风洞PSP系统,在设计状态和稍偏离设计状态下研究了设计鼓包的激波控制效果及其对上翼面压力分布和升力特性的影响。研究结果表明在不同状态下,设计鼓包能够有效降低上翼面吸力峰,减弱激波强度,同时鼓包区域的负压增加,弥补了吸力峰降低造成的升力损失,使得机翼升力改变很小,从而有效提高机翼升阻比。
5 结 论本文建立了0.6 m量级三声速风洞PSP系统,解决了各分系统的同步控制测量问题,研究了涂料喷涂影响、图像滤波、测量精准度和系统稳定性等技术细节,并成功应用于激波控制鼓包机翼模型的表面压力测量中,检验了设计鼓包在设计状态和稍偏离设计状态下的激波控制效果及其对上翼面压力分布和机翼升力特性的影响。
研究结果表明:涂料喷涂质量不佳造成的表面粗糙度和厚度变化会显著影响表面压力分布,喷涂质量需严格控制。窗口直径8像素迭代3次的高斯滤波对压力波动的平滑效果较好且不会失真。建立的PSP系统测量稳定性较好,与压力传感器的压力系数测量均方根偏差在0.022以内,压力均方根偏差小于620 Pa,测量精准度较高,达到了工程使用的要求。设计鼓包在设计状态及稍偏离设计状态下,均能够有效减弱激波强度,保证机翼升力变化很小,从而提高机翼的升阻比。
| [1] | PETERSON J, FITZGERALD V. New technique of surface flow visualization based on oxygen quenching of fluorescence[J]. Review of Scientific Instruments, 1980, 51(5): 670-671. |
| Click to display the text | |
| [2] | FONOV S D, GOSS L P, JONES E G, et al. Identification of pressure measurement system based on surface stress sentitive films: AIAA-2006-1043[R]. Reston: AIAA, 2006. |
| Click to display the text | |
| [3] | CRAFTON J M, FONOV S D, GOSS L P, et al. Comparison of radiometric and lifetime based pressure-sensitive paints for low speed pressure measurements: AIAA-2006-1041[R]. Reston: AIAA, 2006. |
| Click to display the text | |
| [4] | MORRIS M J, DONOVAN J F. Application of pressure and temperature-sensitive paints to high-speed flow: AIAA-1994-2231[R]. Reston: AIAA, 1994. |
| Click to display the text | |
| [5] | DONOVAN J F, MORRIS M J, PAL A, et al. Data analysis techniques for pressure-and temperature-sensitive paint: AIAA-1993-0176[R]. Reston: AIAA, 1993. |
| Click to display the text | |
| [6] | WEAVER W L, JORDAN J D, DALE G A, et al. Data analysis methods for the development and deployment of pressure sensitive paints: AIAA-1999-0565[R]. Reston: AIAA, 1999. |
| Click to display the text | |
| [7] | SHIMBO Y, ASAI K, KANDA H, et al. Evaluation of several calibration techniques for pressure sensitive paint in transonic testing: AIAA-1998-2502[R]. Reston: AIAA, 1998. |
| Click to display the text | |
| [8] | PENG D, ZHONG Z, CAI T, et al. Integration of pressure-sensitive paint with persistent phosphor:A light-charged pressure-sensing system[J]. Review of Scientific Instruments, 2018, 89(8): 085003-085010. |
| Click to display the text | |
| [9] | PENG D, WANG S F, LIU Y Z. Fast PSP measurements of wall-pressure fluctuation in low-speed flows:Improvements using proper orthogonal decomposition[J]. Experiments in Fluids, 2016, 57(4): 1-17. |
| Click to display the text | |
| [10] |
高丽敏, 王欢, 刘波, 等. 测量系统特性对压敏涂料校准影响的实验研究[J]. 航空学报, 2010, 31(1): 76-81. GAO L M, WANG H, LIU B, et al. Experimental of study influence of measurement system characteristics on pressure-sensitive paint calibration[J]. Acta Aeronautica et Astronautica Sinica, 2010, 31(1): 76-81. (in Chinese) |
| Cited By in Cnki (12) | Click to display the text | |
| [11] |
高丽敏, 高洁, 王欢, 等. 大弯角扩压叶栅吸力面全域压力分布的PSP实验[J]. 航空动力学报, 2011, 26(9): 2061-2067. GAO L M, GAO J, WANG H, et al. PSP experiment of global surface pressure distribution on suction surface of compressor cascade with large curved angle[J]. Journal of Aerospace Power, 2011, 26(9): 2061-2067. (in Chinese) |
| Cited By in Cnki (6) | Click to display the text | |
| [12] |
郑立新, 郝重阳, 周强, 等. 光学压力敏感涂料测量技术及其在内流场的应用[J]. 航空动力学报, 2010, 25(12): 2704-2710. ZHENG L X, HAO C Y, ZHOU Q, et al. Application of optical pressure sensitive paint measurement technique in internal flow fields[J]. Journal of Aerospace Power, 2010, 25(12): 2704-2710. (in Chinese) |
| Cited By in Cnki (6) | Click to display the text | |
| [13] |
郑立新, 郝重阳, 刘波, 等. 压力敏感涂料内流场测量系统及涂料校准[J]. 实验流体力学, 2008, 22(3): 86-93. ZHENG L X, HAO C Y, LIU B, et al. Construction of pressure-sensitive paint measurement system and calibration for homemade paint[J]. Journal of Experiment in Fluid Mechanics, 2008, 22(3): 86-93. (in Chinese) |
| Cited By in Cnki (8) | Click to display the text | |
| [14] |
张永存, 陈柳生, 马晓光, 等. 双分量压敏涂料技术的应用研究[J]. 空气动力学学报, 2010, 28(5): 485-489. ZHANG Y C, CHEN L S, MA X G, et al. Investigation and application of two-component pressure sensitive paint technique[J]. Acta Aerodynamica Sinica, 2010, 28(5): 485-489. (in Chinese) |
| Cited By in Cnki (12) | Click to display the text | |
| [15] |
张永存, 陈柳生, 闫莉, 等. 压敏涂料技术在风洞中的应用研究[J]. 实验流体力学, 2010, 24(1): 74-78. ZHANG Y C, CHEN L S, YAN L, et al. Investigation and application of pressure sensitive paint technique in wind tunnel test[J]. Journal of Experiments in Fluid Mechanics, 2010, 24(1): 74-78. (in Chinese) |
| Cited By in Cnki (14) | Click to display the text | |
| [16] |
陈柳生, 周强, 金熹高, 等. 压力敏感涂料及其测量技术[J]. 航空学报, 2009, 30(12): 2435-2448. CHEN L S, ZHOU Q, JIN X G, et al. Pressure-sensitive paint and its measuring technique[J]. Acta Aeronautica et Astronautica Sinica, 2009, 30(12): 2435-2448. (in Chinese) |
| Cited By in Cnki (16) | Click to display the text | |
| [17] |
刘波, 周强, 靳军, 等. 压力敏感涂料技术及其应用[J]. 航空动力学报, 2006, 21(2): 225-233. LIU B, ZHOU Q, JIN J, et al. Applications of pressure-sensitive paint technique[J]. Journal of Aerospace Power, 2006, 21(2): 225-233. (in Chinese) |
| Cited By in Cnki (33) | Click to display the text | |
| [18] |
向星居, 郎卫东, 熊红亮. 压敏漆测量三角翼模型气动载荷的超声速风洞实验[J]. 实验流体力学, 2010, 24(3): 81-86. XIANG X J, LANG W D, XIONG H L. Application of pressure sensitive paint on aerodynamic load measurement of delta wing model in supersonic wind tunnel[J]. Journal of Experiments in Fluid Mechanics, 2010, 24(3): 81-86. (in Chinese) |
| Cited By in Cnki (9) | Click to display the text | |
| [19] | TIANSHU L, GUILLE M, SULLIVAN J P. Accuracy of pressure-sensitive paints[J]. AIAA Journal, 2001, 39(1): 103-112. |
| Click to display the text |



