现代民用客机为了追求极致效率,飞机设计尤其是气动外形设计也变得愈发复杂。飞机设计从依赖于风洞试验的试凑法逐渐演化为更加依赖于计算流体力学(CFD)计算和优化设计[1]。虽然最优化方法的数学定义理论上可以涵盖所有的目标和约束,但不同的优化方法面对不同复杂程度的问题有不同的表现。尤其是在面向工程实践的优化设计中,优化目标、设计变量以及约束往往数量较多且形式复杂,而且很多设计意图和工程约束更是难以给出数学表达。因此,面向工程实践的优化方法研究,除了需要发展更高效鲁棒的优化算法外,还需要对优化目标、约束的定义和选择进行研究,从而尽可能真实完整地体现工程师的设计意图和工程要求[2]。
实际上,优化设计和数学意义上的优化并不是相同的概念。优化设计是利用优化变量、目标、约束的设定和优化方法的选择,以帮助工程师获得提升设计点效率、非设计点性能的,满足工程制造、机构安装、多学科设计等方面要求的过程,并不仅仅是利用优化算法获得“最优”结果。优化设计更多是一个寻找满足工程要求的设计过程,优化是其必要的手段。
本文首先介绍气动优化设计中常见的优化算法以及各自的优势不足,并展示单目标梯度算法和多目标差分进化算法在超临界机翼气动减阻优化中的表现。之后总结了工程设计对机翼气动优化设计提出的多学科目标和要求,定义了压力分布形态特征,并指出各个特征对气动特性的影响和优化设计中的要求。最后基于压力分布形态的重要作用给出多目标多约束优化中目标及约束的定义形式以及应用策略,并基于“径向基函数响应面辅助的差分进化算法”(Radial basis function Assisted Differential Evolution, RADE)[3]开展优化,在合理控制计算代价的前提下,更多地引入工程约束和设计准则,以提高优化设计结果的工程实用性。
1 气动优化算法数学上的最优化方法是指在可行域中搜索最优解的过程,随着计算能力的提高和优化方法的发展,很多算法已经在飞行器气动优化设计中进行了研究和应用。优化算法一般可以分为无梯度方法和梯度方法, 它们各自拥有相应的优势和不足。无梯度方法也称随机优化方法,以遗传算法、差分进化算法、蚁群算法等为典型代表,主要受到自然界中的物竞天择或信息素传递等现象的启发而提出。这类算法不依赖于梯度信息,而是基于大量个体的尝试和比较来获得新个体,因而可以实现“黑箱”优化,并可以进行基于帕累托(Pareto)占优准则的多目标多约束优化。
一般而言,无梯度方法需要较大的种群和较多的迭代次数,因此计算代价可能较大。相比之下,梯度方法由于已知个体的改进方向,因而在单目标凸优化中拥有明显高于无梯度方法的优化效率[4]。尤其是伴随方法的提出和发展[5-6]使得气动力的梯度求解计算代价大幅减少,从而使得梯度方法在气动力优化中获得了很大优势。Zingg等[7]研究表明,至少在翼型气动优化中,无论是单设计点、多设计点还是多目标优化,遗传算法和梯度算法都能达到足够相似的优化结果和帕累托前缘(Pareto front),而且一般而言梯度算法能够比遗传算法提高效率5倍以上。上述研究表明似乎在翼型优化中并不用担心极小值的存在会使得梯度算法无法收敛到全局最优。这其中可能有多种原因使得梯度算法能够收敛到和遗传算法相同的结果,如梯度算法的步长设置,初始个体的选择、约束条件的定义等,但经验上的确使用梯度算法优化翼型能够得到一个足够好的结果而不用担心其陷入局部最优。但是对于较复杂的问题,则需要使用多起点的梯度优化方法来有效避免局部最优,相应的计算代价也随之增大。
另一方面,梯度算法不适应于多目标、多约束问题。梯度算法需要提供全部目标、约束的梯度才能表现出最优的效果,而目标、约束数量的增加又会使梯度的计算量显著提高。即使使用能够高效计算梯度的伴随方法,也会导致单个个体的计算量成倍增加。此外,若试图利用梯度算法获取多目标优化的帕累托前缘,需要通过一系列的目标权重组合分别进行梯度优化实现[8],而权重组合的数量与目标数成指数关系。双目标优化一般意味着10个左右的权重组合即可较好地刻画出帕累托前缘,10倍于单目标优化的计算量多数情形下仍可接受[7],但是对于复杂问题(需要额外的约束梯度计算或多工况梯度计算)和更多目标的优化,单纯的梯度方法不具有可行性。
为弥补无梯度方法和梯度方法的不足,结合2种方法的混合方法和利用代理模型以提高优化效率的优化方法得到了发展和应用。混合方法利用梯度方法来提高优化效率,利用无梯度方法来避免局部最优,因而可以获得更好的优化效果。混合方法在很多问题中体现出了优秀的效果,本文中不做重点讨论[9-10]。另一方面,这些方法仍然无法避免对所有目标、约束梯度信息的依赖。相比之下代理模型辅助的方法可以利用已有数据而无需求解梯度信息,实现目标、约束响应函数的构建,进而预测个体的改进方向(类似于梯度的作用)和最优个体可能的参数,从而提高优化效率[11]。
2 不同优化算法在减阻优化中的应用气动优化方法研究大多以阻力为目标进行优化,一般包含几何约束如固定的最大相对厚度或某些弦长位置的相对厚度不得小于预设值等。本文以某型远程宽体客机机翼作为优化对象,讨论了不同优化算法在气动减阻优化中的表现。机翼几何使用8个控制截面插值生成,控制截面的展向位置如图 1所示。控制截面的翼型使用基于函数变换的(Class Shape function Transformation, CST)参数化方法[2],上下表面各采用7个控制参数,从而在较小的设计变量总数的条件下,实现复杂曲线的参数化,且可以保证翼型表面曲率不出现局部的波动,如图 2所示。该客机设计点、高马赫数工况和高升力工况(针对高速飞行)的具体参数见表 1,3个工况的相应参数分别通过角标0、1、2来标记。
|
| 图 1 机翼参数化造型控制截面 Fig. 1 Control sections of wing modeling |
|
| 图 2 控制截面CST参数化方法 Fig. 2 Control sections by CST modeling method |
| 参数 | 设计点 | 高马赫数工况 | 高升力工况 |
| 马赫数Ma | 0.85 | 0.87 | 0.85 |
| 升力系数CL | 0.48 | 0.48 | 0.60 |
| 雷诺数Re | 4×107 | 4×107 | 4×107 |
文献[12]讨论了基于RADE算法的多目标优化和基于伴随方法的单目标梯度优化在气动减阻优化中的表现,其目标和约束设置相对简单(见表 2),更适合于算法效率和效果的对比,但没有充分涵盖工程设计需要。本节展示了文献[12]中的部分优化结果,并对优化进行了分析。相关结果为本文第5节的讨论提供了初始构型,并用于后续优化效果对比。
| 优化方法 | 目标 | 约束 |
| 多目标优化 | CD0,CD1,CD2 | 固定最大相对厚度,前缘半径不得减小,低头力矩不得大于0.1 |
| 梯度优化 | CD0 | 固定最大相对厚度,前缘半径不得减小,低头力矩不得大于0.1 |
RADE算法[2]基于差分进化算法,能够在非占优排序原则下实现多目标多约束优化,优化效率高,且有较强的能力避免陷入局部最优解。RADE算法利用差分进化算法优化过程中计算得到的结果训练RBF响应面,利用响应面构建设计变量(几何)到输出变量(性能以及压力分布形态特征等参数)的映射,从而通过在响应面上寻优预测优秀个体的设计变量,并将之放入下一代种群中进行CFD计算评估。即在每一代差分进化算法迭代中,都进行一轮基于响应面的优化,也就是响应面辅助的优化方法。
梯度优化中使用斯坦福大学开发的SNOPT[13]工具包的梯度算法,阻力系数的梯度通过连续伴随方法[14]求解,该方法基于有限体积方法的可压缩雷诺平均Navier-Stokes(RANS)方程求解器NSAWET进行编写,该求解器求解精度和鲁棒性在大量应用中得到了检验[12-20]。该连续伴随方法针对RANS方程,基于冻结黏性假设,使用二阶迎风格式和Roe通量格式,LU-SGS隐式时间推进进行求解,获得表面敏感度。通过造型方法对机翼几何进行扰动,获得阻力系数对CST参数的梯度。
图 3和图 4为2种优化方法的收敛历史和优化结果。可以看出梯度优化方法优化效率远超过多目标优化方法,但是优化结果的非设计点阻力很大,并不能作为可行的优化设计结果。相比之下,以3个典型工况阻力系数分别为目标的多目标优化可以获得相应的帕累托前缘,从而在其中选择设计点和非设计点性能更为均衡的个体。图 4中红圈标出了帕累托前缘上的3个典型个体,从左至右依次为001, 002, 003,相应的机翼截面设计点压力分布如图 5所示。
|
| 图 3 2种方法优化收敛历史 Fig. 3 Convergence history of two optimization methods |
|
| 图 4 优化过程和帕累托前缘 Fig. 4 Optimization history and Pareto front |
|
| 图 5 典型优化结果机翼截面压力系数分布 Fig. 5 Wing section pressure distributions of typical optimization results |
需要指出的是,此处的伴随方法使用了单起点的单目标优化,存在陷入局部最优的可能,若使用多起点优化和线性加权的多目标优化,应当可以获得和多目标优化相近的结果[7]。但是无论是多目标的梯度算法还是无梯度算法,即使多目标优化能够获得帕累托前缘,但多目标优化所需的种群大小和优化代数均过大,很难在可接受的计算能力内获得充分发展的帕累托前缘。图 3和图 4的结果也表明,在较为合理的计算代价之内,多目标优化算法易于早熟(或陷入局部最优),帕累托前缘的探索并不十分充分。
更重要是,以上的优化目标和约束涵盖的设计意图和工程约束较少,也没有包含相应的压力分布形态约束来提升非设计点性能和飞行鲁棒性[1]。因此,最终的结果或者包含较强的双激波导致较大的设计点阻力,或者低头力矩较大导致配平阻力增加,或者激波位置过于靠后导致阻力发散特性无法满足,因而其结果仍需进一步的优化设计。
3 现代客机设计的目标与约束现实中,民用飞机需要将商载以最小成本完成一定距离的运输,并满足“安全性、经济性、舒适性、环保性”的四性要求[15]。除安全性外,最重要的设计目标之一就是降低油耗,或者说提高巡航效率(A定义为巡航马赫数Ma与升阻比L/D的乘积,即A=Ma·L/D)。一般飞机运营的最佳巡航马赫数大致等于最佳巡航效率(Amax)下的马赫数,但会由于直接运营代价(Direct Operating Cost, DOC)的复杂组成而造成与Amax的差异。比如,飞机飞行在较低的巡航马赫数下发动机可以获得更好的燃油效率,但更高的巡航速度可以在飞机维护、机组开销等与飞行时间相关的方面减小开销。因此,最佳的运营状态往往在0.99 Amax附近,而设计得到更大的0.99 Amax范围也可以使运营更加灵活,从而进一步提高飞机的经济性[16]。
在总体设计确定巡航工况(设计点)之后,飞机气动设计需要对设计点和非设计点飞机性能进行分析和改进,其中包括设计点的经济性、非设计点的飞行边界、鲁棒性等方面。图 6[16]为现代典型高亚声速飞机巡航工况的阻力构成,飞机总阻力中2/3都由机翼提供,因此机翼设计是飞机设计中最重要的环节。需要注意的是,虽然激波阻力只占设计点总阻力的1%~5%,但激波阻力以及激波的发展限制了飞行边界,且同非设计点(机动、加速、阵风状态)特性有直接关联,因此十分重要。比如,抖振边界基本上完全由机翼决定,过低的抖振边界会导致过小的巡航升力系数和更低的飞行高度,从而导致发动机燃油消耗率的提升,不利于飞机的经济性[16]。
飞机实际运行过程中不会始终处在巡航工况,因此非设计点特性也十分重要。飞机设计点通常选定在较多使用的飞行马赫数下能获得的Amax附近,一般对应于远程巡航工况。但由于实际运营过程的多样性,飞机还经常运行在另一种高速巡航工况,对应于更高的飞行马赫数和更小的升力系数[17]。以波音B737-100飞机的2种使用情况为例[15],其高速巡航马赫数为0.78,升力系数为0.3;而远程巡航马赫数为0.74,升力系数为0.5。在设计点附近的低阻力区域(0.99 Amax)是运营过程中可灵活使用的范围。高于设计点马赫数时是加速机动的情况,从设计点到俯冲马赫数MaD的整个区间内,需要避免升力发散,并尽量减小阻力剧增。过载高于1时是抬头或转弯机动情况,适航要求在过载为1.3时不能发生抖振,以保证飞行员能够以35°倾角进行转弯,或确保在大阵风条件下有足够的安全裕度不至于发生流动分离。有时在实际设计中会要求过载为1.6时或在来流方向速度为12.5 m/s、波长33 m的阵风条件下抖振强度不得过大,这种工况也被称作民用最大可接受抖振范围[17]。
对民用客机机翼设计而言,设计要求可总结为以下几点:
1) 不同形态(襟翼角度、动力大小)和高速低速条件下,飞行性能必须均良好可靠。
2) 在满足安全要求的前提下,尽可能提升经济性和运营灵活性。
3) 机翼几何尽可能简单,并满足结构、制造、维护等方面的要求。
用性能指标来进行定量化描述,可以总结为:
1) 追求更高的Amax和更大范围的0.99 Amax。
2) 追求更高的临界马赫数,尽量推迟阻力发散,并减小阻力蠕增。
3) 追求更高的抖振边界以获得更大的可用升力系数范围。
4) 追求尽量鲁棒的高速气动特性。
5) 追求更大的最大升力系数和失速攻角,以提供良好的低速特性。
6) 近失速和近抖振状态不得出现突然抬头(力矩拐点)。
7) 机翼几何必须有足够的翼根、Kink、副翼截面厚度,以减小结构重量和提升颤振速度(截面或翼型中部尽可能厚,尤其是后梁高度)。
8) 机翼内部必须留有足够的空间以储存燃油,收放起落架和设计作动机构(前缘附近形状应考虑缝翼设计与安装,后缘附近必须有足够厚度设计襟翼、副翼)。
4 压力分布形态的关键作用现代客机机翼气动外形设计十分复杂,需要考虑的目标和约束数量庞大且相互耦合,因此需要仔细分析气动优化设计的关键并重点控制。从飞机设计和运营角度来说,机翼气动设计就是为了获得更好的经济性、安全性、灵活性和环保性,同时需要满足诸多结构、机构设计等其他学科提出的几何、性能及流动结构约束。从机翼气动设计角度来说,就是在总体设计给定后掠角、上反角、弦长分布的平面形状后,在满足一系列约束的前提下,提高巡航效率、鲁棒性和抖振边界,改善阻力发散特性以及保证低速特性等。
由于机翼气动设计的目标和要求极多,而且还包括压力分布形态、失速起始位置、失速形态等流动结构形态方面的要求,如果将这些设计点、非设计点特性全部包括在优化之中会导致计算量剧增,优化迭代难于收敛。尤其是很多指标如抖振边界、阻力发散马赫数、失速攻角和最大升力系数等,都是需要一系列工况来进行评估,其造成计算量的增长是无法承担的。因此,必须通过其他的途径来表征非设计点性能。
在优化设计方法研究和工程实践中可以发现,通过流动结构的定量化描述以及不同工况间流动结构的演化作为表征设计点、非设计点特性的手段,可以在机翼优化设计中取得良好的效果,目前一些流动结构约束或目标也被提出并得到了应用[1-2]。
机翼气动设计中主要的流动结构包括机翼截面的压力分布形态、展向载荷分布、激波诱导边界层分离,这些流动结构直接决定了机翼的气动特性,其中最为常用的是壁面压力系数分布。本文对第3节指出的机翼设计指标中涉及的压力分布形态特征进行系统总结,指出其应用方式和范围。对压力分布形态的期望来源于人们多年来在超临界机翼优化设计研究与工程实践中的思考和体会,相关的理论分析和实践总结可参见所引用的文献[1, 2, 12]。实际上,传统的反设计、反优化方法中也提炼出了很多关于压力分布形态的要求和约束,在下面进行总结和讨论[1]。
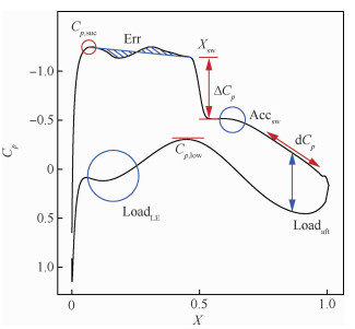
图 7为单位化弦长机翼截面或翼型的典型超临界压力系数(Cp)分布的特征。传统翼型(如NACA6系列)在高亚声速状态下翼型上表面出现大范围超声速区,并以一道强激波结束,从而导致了恶劣的阻力特性。之后发展的尖峰翼型则在前缘将气流加速至超声速,通过前缘的精细设计进行等熵压缩,从而实现近似无激波或以弱激波结束超声速区。尖峰翼型的设计较为困难,且非设计点特性不能使人满意[16]。因此之后由Whitcomb[18]提出的超临界翼型得到了广泛的认可和应用。超临界翼型过吸力平台实现比尖峰翼型更大范围的超声速区,并以一道弱激波结束,获得了更高的阻力发散马赫数和更好的抖振特性。
|
| 图 7 民用客机机翼截面压力分布形态特征 Fig. 7 Pressure distribution features of civil aircraft wing sections |
为满足第3节中的设计要求,设计超临界压力分布时应考虑以下特征[1-2, 19]:
1) 前缘吸力峰(Cp, suc):前缘吸力峰定义为前缘附近(15%弦长范围内)最大的|Cp|,或对于自然层流翼型(上表面前缘附近|Cp|为单调递增)而言-∂2|Cp|/∂X2最大处。一般要求设计点前缘吸力峰不得过高,以避免过大的激波强度或不合理的前缘半径[1]。一般而言,较高的前缘吸力峰会导致较强的激波,即使可以将激波强度控制得比较小(如尖峰翼型[16]),其设计难度也相应更大,而且会导致较大的吸力平台逆压梯度。本质上,避免过高的前缘吸力峰,是为了控制设计点激波强度和避免非设计点激波强度的迅速增长。另一方面,过高的前缘吸力峰也可能是小前缘半径在较大攻角下的表现,虽然这种翼型在设计点仍然可以获得较大的升力系数,但往往非设计点性能较差,尤其是低速失速特性较差,因此也需要避免。
2) 吸力平台压力梯度((∂Cp/∂X)suc):吸力平台是超临界翼型的一个典型标志,吸力平台的斜率、长度、压力波动都对飞行性能有直接影响。在超临界翼型设计中压力平台略微逆压,可以提高前缘吸力峰并减弱激波[16];但实际上吸力平台压力梯度的影响更多体现在自然层流超临界翼型的设计中[20],而其具体数值也可由前缘吸力峰、激波位置、波前压力系数(或波前马赫数)来确定。
3) 吸力平台的压力波动(Err):吸力平台的压力波动[2]定义为前缘吸力峰到波前范围内(即吸力平台)的压力系数波动面积,即图 7中蓝色阴影部分的面积,单位为1(相当于升力的量纲)。压力波动主要用于表征翼型在吸力平台部分的几何曲率,在三维机翼中也一定程度上反映了横流的影响。过于波动的吸力平台有可能会在较低马赫数或较低升力系数条件下发生吸力平台的塌陷,导致较强双激波的出现从而导致较差的鲁棒性,因此需要尽可能避免。
4) 激波位置(Xsw):为简单起见,激波位置定义为激波压力突变附近斜率最大处,这种定义方法相比于其他方法更加鲁棒。判定上表面压力系数斜率最大处是否为激波也需要相应判据,但是很有可能不存在一个对任何工况普适的判据。本文使用的判据是波前壁面马赫数(即壁面压力系数根据等熵关系式换算得到的马赫数)大于1,该处压力系数斜率大于某一临界值则判定为激波,该临界值需要根据工况和网格数进行调整。有设计师认为设计点激波应位于50%弦长或稍后位置[19],但即使如此,这一范围内的激波位置变化对设计点、非设计点性能的影响也是显著的。此外也需要保证设计点附近激波发展尽可能稳定,以提高飞行器的鲁棒性。
5) 波前壁面马赫数(Maw1):波前壁面马赫数定义为激波位置前-suc2|Cp|/sucX2最大处,根据激波边界层干扰中的波前波后关系[19],波后压力约等于附着斜激波的最大气流偏转角下的结果,因此激波强度(定义为波前波后的压力系数之差[2],ΔCp)可以由Maw1唯一确定。由于在激波较强时存在激波诱导边界层分离现象,进而导致了波后压力系数难以从壁面压力系数分布中确定,所以在激波较强时激波强度的定义容易出现较大误差,因此采用Maw1来表征激波强度。一般而言设计点激波应尽可能弱,波前马赫数Maw1控制在1.15~1.20之间,否则激波阻力会迅速增加[2, 19]。
6) 波后流动加速(Accsw):波后流动加速用于表征激波后的流动加速,定义为激波后的最高压力系数与波后压力系数之差,但由于在激波强度较大时波后压力系数定义存在较大误差,因此这一参数仅在设计点优化中起辅助作用。一般认为波后略微加速,可以增大升力,且顺压梯度可改善波后边界层速度型,从而提高边界层对抗压力恢复区的逆压梯度[16]。
7) 压力恢复梯度(dCp):压力恢复梯度定义为激波后最高压力系数到尾缘段的平均压力系数梯度。一般而言,压力恢复段逆压梯度不能太大,以避免尾缘过早分离[1]。
8) 后加载(Loadaft):后加载此处定义为弦长70%~100%范围内下表面压力系数分布与等值线Cp=0所围成的面积,以表征下表面后部对升力的贡献。也有一种定义方式为上下表面压力系数差的最大值,这种定义方法在一些情形包含了上表面波后加速的影响。本文采用前一种定义方式。适当的后加载强度可以减小上表面超声速区和流速,从而提高升阻比和非设计点特性[1]。但后加载程度受低头力矩(配平阻力)和铰链力矩的限制,且过薄过弯的翼型尾缘也不利于襟翼、副翼的安装和设计。因此后加载强度是诸多考虑下的折中结果[18]。
9) 下表面最高压力系数(Cp, low):定义为下表面最高压力系数,用以表征下表面的最高流速,以避免出现下表面超声速区。
10) 前加载(LoadLE):前加载定义为下表面前缘吸力峰之后,下表面最高压力系数之前的最低压力系数,与下表面前缘吸力峰的压力系数之差。由于存在大量无前加载的设计,因此这一参数主要起辅助作用。
5 PDG优化设计方法的工程应用为了更加有效地进行优化设计,需要对机翼的压力分布形态进行操控,本节采用基于RADE算法的“压力分布引导”(Pressure Distribution Guided,PDG)的优化设计方法[2]对设计点、非设计点特性进行改进。
相比于PDG方法,传统的反设计和反优化方法同样能够用来操控流动结构,但存在一些不足。反设计方法需要完整且合理的(即物理上可行的)压力分布目标,通过修改几何以实现给出的压力分布形态,并不对性能等其他参数做要求。因此,其设计的成功与否取决于设计师给出的目标压力分布是否合理,通常只能用于设计简单部件。之后发展的正设计与反设计相结合的反优化方法,在给定的升力、力矩、环量分布等约束下对压力分布的形状进行“优化”或“调整”,比如在确保面积不变的条件下抹去激波。在得到“最优”压力分布后,再用反设计方法得到相应几何设计[1]。这种方法显然仍然无法保证其“优化”压力分布的物理存在性和合理性。因此,相比之下,PDG方法中的“压力分布引导”的思想始终针对的是实际产生的压力分布,均具有物理意义,也使得该方法更加灵活鲁棒。
基于第2节优化结果,引入第4节中的压力分布形态特征作为目标和约束,在提高设计点巡航效率的同时改善非设计点特性,并引导压力分布形态向符合工程设计需要的方向演化。PDG优化设计方法在差分进化算法的主优化迭代中一般以性能参数为目标,在基于RBF响应面的优秀个体预测中以性能和压力分布形态要求作为目标。从而利用RBF响应面为差分进化算法提供具有期望压力分布形态的优秀个体,以引导优化方法向期望的方向进行,并避免局部最优和提高优化效率。具体算法实现见文献[2]。
PDG优化的目标和约束设置见表 3。表 3中变量(·)ij中的角标i、j分别表示工况和机翼展向上用于提取压力分布形态特征的翼型剖面编号。基于RBF的优秀个体预测过程中的优化目标2是为了更加直接地减弱激波强度,而优化目标3则是为了控制在马赫数或攻角增加的情况下的激波增长。2个目标共同作用的效果一般与仅使用目标2类似,但实践中发现目标3的存在可以剔除一些激波发展过于剧烈的设计,从而避免糟糕的阻力发散特性或巡航马赫数下高升力工况的较大激波诱导边界层分离。PDG优化设计方法一般在基于RBF的优秀个体预测过程中会使用更多的目标和更苛刻的约束,从而利用基于RBF预测计算代价小的特点来更快地获取满足期望的个体。优化种群大小为32,优化代数50代。
| 目标 | 差分进化主优化过程 | 基于RBF的优秀个体预测过程 |
| 目标1 | CD0 | CD0 |
| 目标2 | CD1+CD2 | ∑i=02∑j=16Maw1, ij |
| 目标3 | ∑Maw1, ij-Maw1, 0j+ ∑|Xsw, ij-Xsw, 0j, i=1, 2;j=3, 4, 5, 6 |
|
| 约束 | 满足第3节中几何约束 | 满足第3节中几何约束 |
| 各截面为单激波 | 各截面为单激波 | |
| |Cp, low, 0j| < 0.3, j=1, 2, …, 6 |
|Cp, suc, 0j| < 1.0, j=1, 2, 3 |
|
| Err0j < 0.04, j=1, 2, …, 6 |
|Cp, suc, 0j| < 0.8, j=4, 5, 6 | |
| Loadaft, 0j < 0.12, j=1, 2, …, 6 |
Loadaft, 0j < 0.1, j=1, 2, …, 6 |
|
| Accsw, 0j < 0.2, j=1, 2, …, 6 |
Accsw, 0j < 0.1, j=1, 2, …, 6 |
|
| |dCp, 0j| < 3.0, j=1, 2, …, 6 |
|dCp, 0j| < 3.0, j=1, 2, …, 6 |
图 8为PDG优化方法的优化过程,其中梯度优化的起始点即为优化的初始构型。图 8中部的红色圆圈为简单多目标优化帕累托前缘上的个体002,PDG优化个体用黑色倒三角形标出,在其帕累托前缘上选取2个具有代表性的个体,从左至右分别为1和2。个体1为较好地满足了压力分布形态期望的结果,个体2为适当放松压力分布形态目标的期望但获得了更好的设计点性能的结果。性能曲线对比见图 9和图 10。PDG优化相比于多目标优化的结果,在保持抖振特性(图 9所示)特性和高马赫数工况的阻力(图 10所示)的前提下进一步减小了巡航阻力,改善了低头力矩。
|
| 图 8 PDG优化的帕累托前缘 Fig. 8 Pareto front of PDG optimization |
|
| 图 9 优化结果升力-力矩曲线对比 Fig. 9 Comparison of lift-moment curves of different optimization results |
|
| 图 10 优化结果马赫数-阻力曲线对比 Fig. 10 Comparison of Mach number-drag curves of different optimization results |
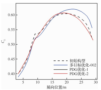
图 11中为3个个体以及初始构型的压力分布形态。图 12为相应的展向升力系数分布,其中2个PDG优化结果的展向升力系数分布几乎完全重合。PDG优化结果相比于多目标优化个体002展向载荷更加靠内,外翼载荷降低,因此低头力矩得以改善。PDG优化结果载荷分布与初始构型大致相同,但各个截面的后加载更大,因此低头力矩有所增加。图 13为PDG优化-2的表面压力分布,可以看出压力分布形态拥有较好的展向一致性。而且PDG方法的结果在压力分布形态上也更符合工程设计要求,进一步体现了PDG优化设计方法在工程领域应用的优势和有效性。
|
| 图 11 优化结果机翼截面压力分布对比 Fig. 11 Comparison of wing section pressure distributions of typical optimization results |
|
| 图 12 优化结果机翼展向升力系数分布对比 Fig. 12 Comparison of wing span lift coefficient distributions of typical optimization results |
|
| 图 13 PDG优化-2机翼表面压力分布 Fig. 13 Pressure distribution on wing surface of PDG optimization result 2 |
真实飞机设计过程的复杂性给优化设计方法带来了额外的挑战,需要对优化设计方法的目标、约束以及优化方法本身进行改进以适应于工程应用的需要。
1) 总结了气动优化中常用的几种优化算法的优势和不足,并对远程客机机翼气动优化中的应用效果进行对比。分析了基于伴随方法的以巡航阻力为目标的单目标梯度优化、以3个典型工况阻力为目标的多目标多约束优化以及基于RBF响应面辅助的差分进化算法的多目标优化方法在机翼设计中的表现。
2) 针对现代客机机翼气动优化设计中的诸多工程设计目标与要求,定量化给出了关键压力分布形态特征的定义和工程要求,并提出了在机翼气动优化设计中的使用方法。
3) “压力分布引导”的优化设计方法将多工况性能参数和压力分布形态综合体现在优化设计过程和准则中,不强行指定压力分布,通过种群引导使优化向改善性能和期望压力分布形态方向发展,更有利于获得合理的结果,并协调可能出现的矛盾。
| [1] |
李润泽, 张宇飞, 陈海昕. "人在回路"思想在飞机气动优化设计中演变与发展[J]. 空气动力学学报, 2017, 35(4): 529-543. LI R Z, ZHANG Y F, CHEN H X. Evolution and development of "man-in-loop" in aerodynamic optimization design[J]. Acta Aerodynamica Sinica, 2017, 35(4): 529-543. (in Chinese) |
| Cited By in Cnki (7) | Click to display the text | |
| [2] | LI R Z, DENG K W, ZHANG Y F, et al. Pressure distribution guided supercritical wing optimization[J]. Chinese Journal of Aeronautics, 2018, 31(9): 1842-1854. |
| Click to display the text | |
| [3] | DENG K W, CHEN H X. A hybrid aerodynamic optimization algorithm based on differential evolution and RBF response surface[C]//17th AIAA/ISSMO Multidisciplinary Analysis and Optimization Conference. Reston: AIAA, 2016: 3671. |
| [4] | SKINNER S N, ZARE-BEHTASH H. State-of-the-art in aerodynamic shape optimization methods[J]. Applied Soft Computing, 2018, 62(1): 933-962. |
| [5] | JAMESON A. Aerodynamic design via control theory[J]. Journal of Scientific Computing, 1988, 3(3): 233-260. |
| Click to display the text | |
| [6] | MADER C A, MARTINS J R, ALONSO J J, et al. ADjoint:An approach for the rapid development of discrete adjoint solvers[J]. AIAA Journal, 2008, 46(4): 863-873. |
| Click to display the text | |
| [7] | ZINGG D W, NEMEC M, PULLIAM T H. A comparative evaluation of genetic and gradient-based algorithms applied to aerodynamic optimization[J]. European Journal of Computational Mechanics, 2008, 17(1-2): 103-126. |
| Click to display the text | |
| [8] | BUCKLEY H P, ZHOU B Y, ZINGG D W. Airfoil optimization using practical aerodynamic design requirements[J]. Journal of Aircraft, 2010, 47(5): 1707-1719. |
| Click to display the text | |
| [9] | CHERNUKHIN O, ZINGG D W. Multimodality and global optimization in aerodynamic design[J]. AIAA Journal, 2013, 51(6): 1342-1354. |
| Click to display the text | |
| [10] | MUYL F, DUMAS L, HERBERT V. Hybrid method for aerodynamic shape optimization in automotive industry[J]. Computers & Fluids, 2004, 33(5-6): 849-858. |
| Click to display the text | |
| [11] |
陈海昕, 邓凯文, 李润泽. 机器学习技术在气动优化中的应用[J]. 航空学报, 2019, 40(1): 522480. CHEN H X, DENG K W, LI R Z. Utilization of machine learning technology in aerodynamic optimization[J]. Acta Aeronautica et Astronautica Sinica, 2019, 40(1): 522480. (in Chinese) |
| Cited By in Cnki | Click to display the text | |
| [12] | LI R Z, ZHANG M, ZHANG M H, et al. Multi-point aerodynamic optimization design of a dual-aisle airplane wing[C]//31st Congress of the International Council of the Aeronautical Sciences, 2018. |
| [13] | GILL P E, MURRARY W, SAUNDERS M A. SNOPT:An SQP algorithm for large-scale constrained optimizat-ion[J]. SIAM Review, 2005, 47(1): 99-131. |
| Click to display the text | |
| [14] | NADARAJAH S, JAMESON A. A comparison of the continuous and discrete adjoint approach to automatic aerodynamic optimization[C]//38th Aerospace Sciences Meeting and Exhibit. Reaton: AIAA, 2000. |
| [15] | OBERT E. Aerodynamic design of transport aircraft[M]. Amsterdam: IOS Press, 2009. |
| [16] | KRENZ G. Transonic configuration design, 712. AGARD special course on subsonic/transonic aerodynamic interference for aircraft[R]. Washington, D.C: NASA Langley Research Center, 1983. |
| [17] | TORENBEEK E. Airplane weight and balance, synthesis of subsonic airplane design.[M]. Dordrecht: Springer, 1982: 263-302. |
| [18] | WHITCOMB R T. Transonic airfoil development: 19840004008[R]. Washington, D.C.: NASA Langley Research Center, 1983. |
| [19] | MCLEAN D. Understanding aerodynamics:Arguing from the real physics[M]. Chichester: John Wiley & Sons, 2012. |
| [20] | ZHANG, Y F, FANG X M, CHEN H X, et al. Supercritical natural laminar flow airfoil optimization for regional aircraft wing design[J]. Aerospace Science and Technology, 2015, 43(1): 152-164. |
| Click to display the text |



