2. 中国空气动力研究与发展中心, 绵阳 621000
2. China Aerodynamics Research and Development Center, Mianyang 621000, China
气动布局决定了飞行器的气动性能,继而影响飞行器的飞行性能、操稳性能、防热性能和有效载荷等,因此气动布局设计在飞行器设计中具有举足轻重的作用,良好的气动布局是成功研制飞行器的基础和前提条件[1-2]。有翼再入飞行器(Winged Re-entry Vehicles, RV-W)具有较优的气动性能,能够更好地满足航天运输中的机动飞行/载荷投送等任务, 并具有潜在的可重复使用能力,已成为当前各航天大国天地往返运输系统中的研究热点[3-4]。
再入环境决定了飞行器的气动外形设计[5]。在有翼再入飞行器的再入飞行过程中,高度从100 km降至0 km,马赫数从28降至0,雷诺数的量级在104~108范围内变化,迎角约从40°降至0°,如此剧烈的参数变化会导致气动力、气动热环境的剧烈变化[6],飞行器气动外形必须适应严酷的气动力、热环境[7]。
相对于弹道式再入航天器、半弹道式航天器,有翼再入飞行器气动外形设计的特殊性主要体现在3方面[8]:①再入减速, 利用气动外形的阻力特性,通过返回轨道设计,实现将极高的进入速度减小到能安全着陆的速度;②飞行可控, 通过气动升力及对升力在轨道面分量的控制,实现再入飞行的轨迹、最大过载和落点精度控制;③热防护安全, 通过气动外形避免产生过大的局部热流设计,配置热防护结构保证气动加热安全。
为使机动飞行可控,良好的气动特性成为有翼再入飞行器气动外形的首先设计目标。气动外形设计要求在满足内/外尺寸约束下,机身尽量扁平且细长以减小阻力,机翼尽量增大展弦比和机翼面积以而增大升力系数。然而在高速再入过程中,飞行器将受到严重的气动加热,气动热环境除了与再入轨迹有关外,还与飞行器的气动外形密切相关。从防热的目的来看,有翼再入飞行器通常设计为具有钝前缘机身与钝前缘、大后掠角机翼等外形特征,这与气动特性需要的外形布局矛盾。此外,有翼再入飞行器在再入轨迹上长时间以大迎角飞行,为使其底部迎风面高效地进行飞行器表面辐射冷却,其下表面通常设计为扁平状,从而进一步增加了气动阻力。再入过程中为确保宇航员生命安全和飞行器的仪器安全,要求有翼再入飞行器的热防护系统(Thermal Protection System, TPS)隔热性能要好,TPS既要能承受峰值加热,又要能承受总加热,还要最大限度地减少自身的重量,以增加有效载荷。
从上述分析可以看出,有翼再入飞行器的飞行速域、空域、时域跨度大,气动力、气动热、热防护等多学科紧密耦合,气动布局综合设计问题突出,气动外形设计的复杂程度和难度都非常大。因此,必须在总体设计初期即采用气动力/气动热/热防护的集成设计优化,解决力、热设计矛盾,才能实现飞行器总体性能最优,切实降低后期出现方案颠覆性问题的可能性[9]。
本文针对有翼再入飞行器气动外形设计问题,首先探讨了气动外形设计规律与准则;在此基础上以类X-37B飞行器为研究对象,对其气动布局进行集成设计优化;发展了一种热防护系统轻量化设计优化方法,并采用该方法对类X-37B优化构型的热防护系统进行了轻量化设计优化。
1 气动外形设计规律与准则对于再入飞行器,从轨迹优化来看,主要的再入性能气动参数有升阻比K(或用L/D表示)、升力系数CL以及弹道系数P=m/(CDA), 其中m为飞行器质量, CD为阻力系数, A为截面面积。
针对再入飞行的任务需求,本文首先对气动特性参数如最大升阻比、最大升力系数和弹道系数对再入飞行性能的影响进行研究,为气动外形设计优化提出合理建议。
1.1 升阻比对再入飞行的影响1) 升阻比与航程的关系
根据文献[10]的研究,假设飞行器以平衡滑翔方式再入飞行,则升阻比K与航程L的关系式为
| $ L=\frac{R_{0} K}{2} \ln \frac{\bar{g }\bar {r}-v_{\rm e}^{2}}{\bar g \bar r -v_{0}^{2}} $ | (1) |
式中:R0为地球半径; g为重力加速度平均值; r为初始再入高度平均值; ve为滑翔末端速度; v0为初始滑翔速度。
从式(1)中可以看出,飞行器升阻比越高,则可获得的航程L越大,机动范围也更大。因此高升阻比再入飞行器能更精确地控制再入段轨道和着陆段轨道,实现在跑道上水平着陆,从而为重复使用创造了条件。
2) 升阻比与过载的关系
再入飞行器中过载n与升阻比K有直接关系[11]:
| $ n=B \rho_{0} \frac{v^{2}}{g} \sqrt{1+K^{2}}=-\frac{\dot{v}}{g} \sqrt{1+K^{2}} $ | (2) |
式中:B为弹道系数的倒数,即质量-阻力参数; ρ0为大气密度; v为速度。
从式(2)可以看出,再入过程中使用升阻比越大,飞行器承受的过载也越大。飞行器再入时必须考虑航天员、仪器能承受过载的峰值,也就是必须考虑再入轨迹中升阻比变化。
3) 升阻比与气动热的关系
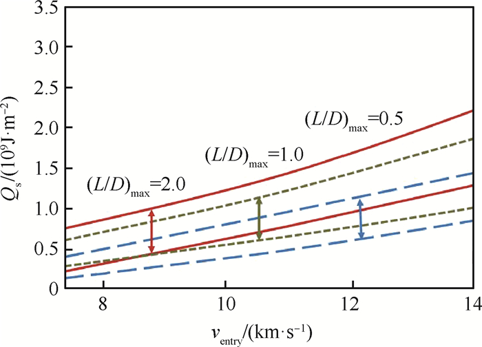
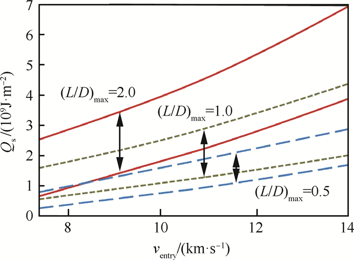
图 1[12]为飞行器以最大升阻比姿态进入大气层时总加热量Qs与进入速度ventry的关系。图 2[12]为飞行器以最大升力系数姿态进入大气层时总加热量与进入速度的关系,总加热量表示进入过程飞行器受到的累积气动加热量。以最大升阻比为2.0的飞行器为例(图中红线):当飞行器以最大升阻比姿态进入大气层时,受到的总加热量最高可达7×109 J/m2,而以最大升力系数姿态进入大气层受到的总加热量约为2×109 J/m2(以14 km/s进入时),说明飞行器以最大升阻比进入大气层时受到的总加热量要远大于以最大升力系数进入。
4) 升阻比与结构质量的关系
图 3为再入飞行器结构重量与最大升阻比的关系,其中纵轴表示假设有效载荷相同时,其他飞行器需要的结构重量W与返回舱结构重量W0之比;横轴表示不同气动外形飞行器的升阻比变化。从图中可以看出,为获得高升阻比,飞行器的变化趋势为拉长机身,压缩飞行器横截面积,机头由钝头体逐渐变尖锐,这样将使飞行器空间部位的利用率的降低,同时热防护系统质量明显增加[12]。
|
| 图 3 再入飞行器结构重量与最大升阻比的关系 Fig. 3 Re-entry vehicle structural weight as a function of maximum lift-to-drag ratio |
对于推力为零的再入滑翔机动飞行,一般选取升力系数和滚转角做为控制参数。升力系数的取值范围受最大升力系数的约束,因此最大升力系数对再入机动有着很大影响[12]。
图 4为轨道倾角if与最大升力系数CL, max的关系。从图中可以看出随着最大升力系数的增加,所能改变的最大轨道倾角也相应增加,即机动飞行能力相应增加;但当最大升力系数大于一定值时,轨道倾角增加趋势变缓。
|
| 图 4 轨道倾角随最大升力系数变化 Fig. 4 Orbit inclination as a function of maximum lift coefficient |
弹道系数又叫质阻比,是飞行器质量和外形的组合参数, 用来衡量飞行器克服空气阻力、维持飞行速度的能力。
图 5为弹道系数与升阻特性的变化关系示意图。从图中可以看出,对于再入飞行器,升阻比大于1.5之后,若要获得更好的升阻特性,则必须减小大幅飞行器受到的气动阻力,形成尖前缘带翼构型的气动外形。但这种外形布局的容积利用率也随之降低[12]。
|
| 图 5 升阻比随弹道系数变化 Fig. 5 Lift-to-drag ratios as a function of ballistic coefficients |
此外,再入飞行器通常具有很高的初始动能和势能。飞行器在再入过程中利用气动阻力耗散大部分能量,才能够实现以较小速度安全返回地面。因此对于有翼再入飞行器,其阻力不能太小,也就是弹道系数不能过大。
1.4 有翼再入飞行器气动外形设计建议根据气动特性参数对再入飞行性能影响的分析,对有翼再入飞行气动布局设计优化可提出如下建议:
1) 升阻比是气动外形设计的重要参数,它综合反映飞行器的气动性能。但升阻比与过载、气动加热、结构质量占比、有效容积利用率等有密切关系。因此对有翼再入飞行器气动外形设计优化时,不能一味追求最大升阻比,必须对升阻比与其他因素进行综合权衡。
2) 气动布局设计应使其升力系数保持一个较大的范围,满足升力系数最大准则。但气动外形设计优化时并不能总是追求最大升力系数,而应根据实际再入机动飞行要求设计合理的最大升力系数。
3) 弹道系数体现了飞行器的气动控制能力,是气动减速性能、有效容积利用率、防热性能等的综合体现。有翼再入飞行器气动外形设计优化时必须合理选择飞行器弹道系数。
2 优化策略与流程本文以类X-37B飞行器为研究对象,通过集成气动力、气动热、热防护等学科的设计优化,研究有翼再入飞行器气动外形的设计优化技术。
X-37B飞行器是美国为了验证可重复使用空间技术和在轨空间飞行任务而启动的项目[13],并计划在X-37B飞行器的技术上继续进行能够投送6名宇航员进入太空的X-37C计划[14]。图 6为X-37B飞行器示意图及本文采用CAD软件重建的三维几何外形。
|
| 图 6 X-37B飞行器示意图及CAD建模 Fig. 6 X-37B analog sketch and modeling by CAD software |
在对气动力、热进行优化时,需要确定飞行条件才进行计算分析。本文选择高度H=50 km、马赫数Ma=15、迎角α=15°与侧滑角β=0°。
通过气动参数对飞行性能影响的分析可知,气动特性参数和局部热环境是再入飞行器气动外形设计的关键因素。根据有翼再入飞行器气动外形设计建议,综合考虑气动性能、过载、气动热、结构质量占比、有效容积利用率等要求,第1类优化目标可以总结为使飞行器获得一定范围内的高升阻比与升力系数,即
| $ \left\{\begin{array}{ll} f_{1}=\max \left(K_{\max }\right) & 1.5 \leqslant K \leqslant 2.0 \\ f_{2}=\max \left(C_{L, α=15^{\circ}}\right) & 0.15 \leqslant C_{L , α=15^{\circ}} \leqslant 0.4 \end{array}\right. $ | (3) |
高速再入飞行时,会遇到气动加热的问题。因此第2类优化目标为令驻点热流密度Qws与热载荷Φ (气动加热在单位在时间内传入飞行器的热量,W)最小,即
| $ \left\{\begin{array}{l} f_{3}=\min \left(Q_{\rm ws}\right) \\ f_{4}=\min (\varPhi) \end{array}\right. $ | (4) |
对以上4个优化目标f1~f4,通过线性加权法建立一个综合指标f,这个值越大,表示飞行器气动性能越优异:
| $ \left\{\begin{array}{l} f=k_{1} \frac{K}{(K)_{0}}+k_{2} \frac{C_{L}}{\left(C_{L}\right)_{0}}+k_{3} \frac{\left(Q_{\rm ws}\right)_{0}}{Q_{\rm ws}}+k_{4} \frac{(\varPhi)_{0}}{\varPhi} \\ \sum\limits_{i=1}^{4} k_{i}=1, k_{i} \geqslant 0 \end{array}\right. $ | (5) |
式中:下标0表示飞行器初始外形的性能参数,该项作为基准值;ki(i=1, 2, 3, 4)为权重系数,表示各优化目标的相对重要程度。
对飞行器热防护系统设计优化时,需要有确定的再入轨迹。尽管再入轨迹对热防护重量有显著影响[15-16],然而本文的目的是建立有翼再入飞行器的力、热、热防护多学科设计优化体系。因此本文在有翼再入飞行器的再入走廊区间内,选取典型再入轨迹对热防护系统进行轻量化设计优化,而不对再入轨迹进行优化。图 7为在过载、动压、气动热等约束下建立的速度-高度再入走廊[17],图 8为本文TPS轻量化设计优化采用的再入轨迹[18],图中t为时间。
2.2 集成优化流程飞行器气动外形优化主要有3个核心问题:首先要对飞行器的几何外形进行参数化建模,参数化建模方法以能够适用复杂飞行器的几何外形、并且用尽可能少的参数来描述飞行器的特征为优;其次是建立各个学科的性能评估模型,由于需要进行大规模的优化迭代运算,性能评估模型的计算速度显得尤为重要,要在精度和速度之间取得平衡,否则工程应用价值将大打折扣;最后便是优化算法,能够进行多目标、大规模、高效率的全局优化算法也是非常重要的一环。
飞行器外形参数化建模是指用一组参数描述飞机几何的数学模型,根据几何参数化模型生成三维几何图形。本文采用基于CAD软件二次开发的方法对类X-37B飞行器进行参数化建模,以飞机典型部件(如机翼、机翼、垂尾等)形状为目标,通过部件参数(如机翼展弦比、前缘后掠角、根弦长等)来定义出部件的几何形状,所采用的参数在工程上具有明确的意义。类X-37B飞行器参数化建模外形如图 6所示。
优化过程中要用到数值优化方法进行寻优。考虑本次气动外形优化可能存在多峰性、非线性、非连续性,传统的梯度优化算法和直接搜索法可能无法找到全局最优解,因此本文采用多目标遗传算法(NSGA-II)进行数值优化。
本文类X-37B飞行器气动外形集成设计优化流程如图 9所示。具体可描述为:首先以升阻比、升力系数、驻点热流、总价热量为目标,对气动外形进行优化;待飞行器得到综合性能较优气动布局之后,再对飞行器热防护系统进行轻量化设计优化。
|
| 图 9 气动外形集成优化流程 Fig. 9 Aeroshape integrated optimization process |
对于气动力快速预测,采用飞行器全速域气动特性快速预测工具(Rapid Aerodynamics Prediction Tool, RAPT)[19-20]。该工具在流场计算方面采用3种方法:①亚声速情况, 采用基于自适应直角网格求解全速势方程的有限体积法;②跨/超声速情况, 采用基于自适应直角网格求解欧拉方程的有限体积法;③高超声速情况, 采用基于牛顿撞击理论的工程面元法,并且上述3种方法均加入黏性修正。图 10为RAPT气动特性分析流程。
|
| 图 10 RAPT气动特性分析流程 Fig. 10 Aerodynamic characteristic analysis process of RAPT |
本文气动外形设计优化主要针对再入飞行的高速段,该阶段RAPT采用基于牛顿撞击理论的工程面元法预测飞行器的气动特性。工程面元法的思路是将飞行器表面划分为迎风面和背风面,再分别采取不同的经验公式进行计算。迎风面、背风面的划分是根据自由来流条件及面元法矢共同确定的。对于迎风面,采用采用活塞理论与修正牛顿理论结合的方法进行计算[21];对于背风面,则采用普朗特-迈耶膨胀波方法。对于黏性阻力,采用参考温度法进行修正[22]。此外,工程面元法加入了对“遮挡面元”的判断,即采用光线投射算法(Ray-casting Algorithm)[23]判断当前面元是否被遮挡。若为遮挡面元,则将该面元作为背风面处理。
选取NASA Langley中心对高升力体(HL-20)的风洞试验数据[24]考核本文气动力快速预测方法的准确性。该试验提供了从超声速到高超声速(Ma=1.5~10)、从负迎角到正迎角(α=-5°~30°)等大量工况的试验数据。本文选取高升力体在Ma=6的工况作为算例。
图 11、图 12分别为本文方法预测的升力系数、阻力系数与风洞试验数据对比,图中红色曲线为本文方法预测结果、黑色曲线为风洞试验数据。从图中可以看出,升力系数与试验数据总体吻合较好,仅在小迎角时存在较明显误差(最大误差不超过6%);本文方法预测的阻力系数总体上大于风洞试验得出的数据(最大误差发生在α=0°,误差为12.8%),但两者趋势一致。从本文方法气动力预测结果精度来看,能够满足飞行器概念研究与初步设计阶段的精度要求。
|
| 图 11 升力系数对比 Fig. 11 Comparison of lift coefficients |
|
| 图 12 阻力系数对比 Fig. 12 Comparison of drag coefficients |
RAPT同样用于飞行器气动热环境快速预测[19, 25]。图 13为RAPT采用轴对称比拟参考焓法快速预测飞行器气动热环境的流程。
|
| 图 13 气动加热快速预测流程 Fig. 13 Rapid prediction process of aerodynamic heating |
轴对称比拟法的原理是[26]:基于工程方法或无黏数值解求出无黏流场变量(飞行器边界层外缘速度、密度、压力等),在流线坐标系内,给出三维边界层方程,然后在冷壁和小横向流假设下,三维边界层方程可简化为轴对称形式的边界层方程,轴对称半径由无黏表面流线的尺度因子代替;此时,沿某一根流线的热流密度的确定,就相当于求解某一零迎角轴对称物体上的热流密度。其中,驻点热流采用Kemp-Riddell公式进行计算[27],非驻点采用Zoby等建立的轴对称物体气动加热热流计算公式[28]:
| $ q_{\mathrm{ws} }=\frac{131 \;884 \cdot 2}{\sqrt{R_{N}}}\left(\frac{\rho_{\infty}}{\rho_{0}}\right)^{0.5}\left(\frac{v_{\infty}}{v_{\mathrm{c}}}\right)^{3.25}\left(1-\frac{h_{\mathrm{w}}}{h_{\mathrm{s}}}\right) $ | (6) |
| $ q_{\mathrm{w}}=\left\{\begin{array}{cc} 0.022 {Pr}^{-0.6} \rho_{\mathrm{e}} v_{\mathrm{e}} R e_{\theta , \mathrm{e}}^{-1}\left(h_{\mathrm{aw}}-h_{\mathrm{w}}\right) \times \\ \left(\frac{\rho^{*}}{\rho_{\mathrm{e}}}\right) \left(\frac{\mu^{*}}{\mu_{\mathrm{e}}}\right) &\text { 层流 }\\ c_{1} P r^{-0.4} \rho_{\mathrm{e}} v_{\mathrm{e}} R e_{\theta , \mathrm{e}}^{-m}\left(h_{\mathrm{aw}}-h_{\mathrm{w}}\right) \times \\ \left(\frac{\rho^{*}}{\rho_{\mathrm{e}}}\right)^{m}\left(\frac{\mu^{*}}{\mu_{\mathrm{e}}}\right) & \text { 湍流 } \end{array}\right. $ | (7) |
式中:ρ、μ、h、v、q分别为密度、黏性系数、焓、速度、热流密度;上标*为基于参考焓得出的参数;下标w、s、ws、e、aw和∞分别为壁面、驻点、驻点壁面、边界层外缘、绝热壁以及自由来流的相关参数;Reθ, e为动量厚度雷诺数;c1为试验修正系数;vc为第一宇宙速度;RN为驻点曲率半径。
采用文献[29]空天飞机模型对本文气动热计算方法进行考核。图 14为空天飞机表面热流密度分布云图(qref为驻点热流参考值),图 15为空天飞机迎风中心线上热流密度分布对比,图 16为空天飞机轴向x=62%L站位上热流密度分布对比。从图中可以看出:本文方法对飞行器驻点、机身迎风面等部位气动热环境预测精度较高;同时本文方法也能捕捉翼前缘等局部气动加热较严酷的部位。除了机翼前缘热流密度比试验数据低约20%以外,其余点都与风洞试验数据符合较好。
|
| 图 14 空天飞机模型热流密度云图 Fig. 14 Aerodynamic heating contour of aerospace plane |
|
| 图 15 迎风中心线上热流密度分布 Fig. 15 Heat flux distribution at windward center line |
|
| 图 16 空天飞机62%站位上热流密度分布 Fig. 16 Heat flux distribution of aerospace plane at 62% position |
本文TPS轻量化设计的思想是:以最小质量为目标,TPS既能承受再入轨迹上最严酷点的瞬时表面气动加热、又能承受整个轨迹气动加热产生的内部热传导,还要保证TPS分布的完整性。
基于以上思想,TPS轻量化设计优化流程如图 17所示:对优化后的飞行器几何外形输出网格文件,选取轨迹上气动加热最严酷的轨迹点计算飞行器表面热平衡温度;根据热平衡温度对飞行器表面进行分区、布置热防护材料层;结合热防护材料属性和再入轨迹进行传热分析及热防护厚度优化;待优化结束后输出热防护分布、厚度、重量等TPS数据。
|
| 图 17 TPS轻量化设计优化流程 Fig. 17 TPS lightweight design optimization process |
多层热防护材料传热分析采用简化传热模型。将TPS物理模型离散为一维模型(如图 18所示)进行传热分析, Tj为各层温度,j表示物理模型的分层。
|
| 图 18 TPS物理模型及离散模型 Fig. 18 TPS physical and discrete models |
一维抛物型非定常热传导方程为
| $ \rho c \frac{\partial T}{\partial t}=\frac{\partial}{\partial x}\left(k \frac{\partial T}{\partial x}\right) $ | (8) |
式中:T为温度;c、k分别为材料的比热容、导热率; x为一维空间。
将多层材料的热防护系统物理模型离散后,将一维热传导方程改写为统一的标准形式:
| $ \frac{\partial T_{j}}{\partial t}=A_{j} \frac{\partial^{2} T_{j}}{\partial x_{j}^{2}} $ | (9) |
式中:Aj=kj/(ρjcj)。
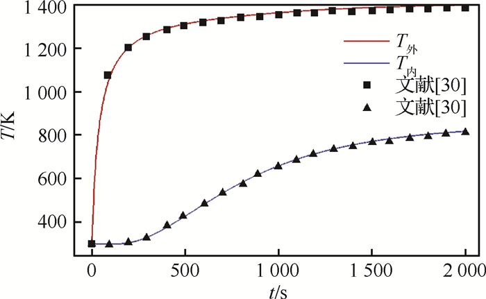
对上表面施加气动加热边界条件,采用隐式向前差分格式离散;下表面施加绝热壁边界条件,采用隐式向后差分格式离散;内部节点采用隐式中心差分格式离散。再对所有节点构造非线性微分方程组,采用Newton-Raphson法求解[30]。图 19为采用文献[30]中算例对本文传热分析方法进行验证,从图中可以看出,内、外表面传热历程与文献结果一致性较好。
|
| 图 19 热防护材料温度响应历程 Fig. 19 Temperature responses history of TPS material |
对类X-37B飞行器几何外形进行参数化描述,如图 20所示。从图中可以看出,本次参数化包括展弦比、根梢比、后掠角等共涉及32个参数。为了减少众多参数对优化带来的“维数灾难”,首先进行单几何参数对气动特性影响的敏感性进行分析,目的是找出显著影响性能的参数,将这些参数用于设计优化中,从而实现可行、高效的多学科设计优化。
|
| 图 20 类X-37B飞行器几何外形参数化示意图 Fig. 20 X-37B analog geometry parametric modeling sketch |
进行单几何参数对气动特性的敏感性分析,将机身长度、机身高度、机头半径、机翼展弦比、机身襟翼长度等个10参数作为几何外形参数对气动特性影响的显著因素传递给多学科优化模型,同时固定其他参数,这样大大减少了优化变量,提高了优化可行性与效率。
4.2 气动特性优化结果图 21为优化过程中升阻比收敛历程,其他优化目标收敛历程类似。表 1为类X-37B飞行器优化前后性能参数对比。从表中可以看出:升阻比提升最为明显(12.82%);15°迎角下升力系数提高了6.18%,说明飞行器是同时增升、减阻以提高升阻比的;驻点热流略微有所增大,原因是飞行器为了减阻从而减小了机鼻半径;热载荷减少了5.22%说明单位时间内传入飞行器的气动加热量减小,这有利于减轻热防护重量。
|
| 图 21 升阻比优化收敛历程 Fig. 21 History of lift-to-drag ratio optimization convergence |
| 参数 | 初始值 | 优化值 | 性能变化 |
| 升阻比 | 1.386 4 | 1.564 2 | 12.82% |
| 升力系数 | 0.163 4 | 0.173 5 | 6.18% |
| 驻点热流/(kW·m-2) | 1 757.87 | 1 783.34 | 1.45% |
| 热载荷/kW | 8 596.59 | 8 147.56 | -5.22% |
图 22为初始构型与优化构型对比,其中粉色代表初始构型、蓝色代表优化构型。从图 22中可以看出,为了提高升阻特性,机身优化的总体趋势是采用较小前缘半径的弧形鼻锥、上部倾斜的机身侧面;机身最大横截面积呈减小的趋势并使机身横截面积分布沿飞行器流向光滑过渡;低热载荷的要求使飞行器下表面呈现扁平、钝头的趋势。机翼优化的总体趋势是增大机翼面积以有效增大升力系数,同时为了减小机翼前缘气动加热,机翼前缘后掠角增加。
|
| 图 22 初始构型与优化构型对比 Fig. 22 Comparison of initial configuration and optimal configuration |
从优化构型与初始构型的对比可以看出,优化构型的机翼位置后移,其结果将会导致全机压心后移。由于本文是基于一种实际的外形进行优化,因此需对压心变化造成的静、动稳定性进行分析,才能判定优化结果的实际有效性。
图 23为优化构型与初始构型在高马赫数下的俯仰力矩系数(Cmy)对比。从图中可以看出,在实际再入飞行所需的大迎角下,优化构型的俯仰力矩系数绝对值小于初始构型,也就是,优化构型在该阶段所需的配平舵偏角更小。因此,优化构型的配平升阻比更高。
|
| 图 23 俯仰力矩系数对比 Fig. 23 Comparison of pitch moment coefficients |
图 24为优化构型与初始构型在高马赫数、大迎角下的静稳定性对比,其中黑色线条代表俯仰静导数(Cmα),蓝色线条代表压心与质心的相对位置(xp)。从图中可以看出,根据Cmα < 0、xp>0的俯仰静稳定性判据,初始构型在实际再入迎角附近具有静稳定性,这与文献[31]的结果一致;而优化构型的静稳定姿态出现在更早的迎角,这说明在不考虑实际配平舵偏需求下,优化构型机翼位置后移带来的静稳定性变化能够更好满足再入飞行要求。
|
| 图 24 静稳定性对比 Fig. 24 Comparison of static stability |
对于动态稳定性分析,采用RAPT气动工具对飞行器动导数进行快速预测[32],原理为首先对飞行器施加简谐运动,然后基于当地流活塞理论,快速预测周期非定常气动力,再对非定常气动力提取、辨识飞行器动态稳定性导数。为求解俯仰组合动导数,对飞行器施加低频小幅周期强迫振荡运动。在定轴转动情况下,强迫运动方程为
| $ α=α_{0}+α_{\rm m}\sin(ωt+\phi) $ | (10) |
式中:α0和αm分别为初始迎角和迎角振幅; ω为强迫振动减缩频率; ф为初始相位角。
本文对飞行器施加强迫振动的振幅取1°,缩减频率取0.1。图 25为类X-37B飞行器优化构型与初始构型的俯仰组合动导数对比,并以文献[33]的CFD结果作为参考。从图中可以看出,优化前后飞行器的俯仰组合动导数变化很小。由于有翼再入飞行器的姿态基本不会剧烈变化(不会产生高速旋转之类的运动),根据实际工程经验,这些微小的动导数改变量基本不会对飞行器的轨道设计、控制系统设计以及飞行品质产生影响。
|
| 图 25 动导数对比 Fig. 25 Comparison of dynamic derivatives |
在热防护方案设计时,初始设定飞行器表面将分为高温区、中温区与低温区,对不同分区布置不同材料:高温区外层布置单片增韧抗氧化复合材料(TUFROC)[34],内层布置先进柔性隔热毡(AFRSI);中温区外层布置高温重复使用陶瓷防热瓦(LI-2000),内层布置芳纶柔性防热毡(Nomex FRSI);低温区外层布置低温重复使用陶瓷防热瓦(LI-900),内层布置芳纶柔性防热毡(Nomex FRSI)。材料属性见文献[35]。
图 26为TPS质量优化收敛历程。从图中可以看出,经过16次迭代优化,最终得到TPS理想质量约为427 kg。
|
| 图 26 TPS质量优化收敛历程 Fig. 26 TPS mass convergence history |
表 2为典型再入飞行器构型(包括返回舱/探测器构型、升力体构型、翼身组合体构型)的热防护重量占比统计数据[36-39],其中对于返回舱/探测器构型,由于统计包括了进入其他行星大气层的返回舱/探测器,因此热防护重量占比区间较大;典型再入地球大气层的Apollo返回舱的热防护重量占比约为18%。本文对类X-37B飞行器热防护系统设计优化得到的重量占比约为8.7%,低于同类飞行器的热防护重量占比。
| 飞行器类型 | 热防护质量占比/% |
| 返回舱/探测器构型 | 5~50 |
| 升力体构型 | 15~30 |
| 翼身组合体构型 | 10~20 |
图 27为飞行器表面根据最严酷气动加热状态进行的热防护分区。从图中可以看出,飞行器头部、机身下迎风面前半部、机翼前缘等位置都被分为高温区;背风面等位置被分为低温区,这与飞行器大攻角再入气动热环境相符。
|
| 图 27 飞行器表面TPS分区 Fig. 27 Vehicle surface TPS partition |
表 3为TPS质量分布统计。从表中可以看出,低温区热防护材料占比最大,原因是低温区占飞行器表面积最大。
| 分区/分层 | 质量/kg | 占比/% |
| 高温区外层(TUFROC) | 98.65 | 23.09 |
| 高温区内层(AFRSI) | 37.84 | 8.85 |
| 中温区外层(LI-2000) | 78.15 | 18.29 |
| 中温区内层(Nomex FRSI) | 33.72 | 7.89 |
| 低温区外层(LI-900) | 143.67 | 33.63 |
| 低温区内层(Nomex FRSI) | 35.61 | 8.34 |
图 28为TPS厚度分布。从图中可以看出:①在气动加热严酷的位置TPS厚度较厚,而在背风面、机翼遮挡处,所需的TPS厚度较薄;②热防护材料厚度分布具有一定连续性,这既符合飞行器表面热载荷分布规律,又能满足整体式热防护系统的设计要求[40]。
|
| 图 28 TPS厚度分布 Fig. 28 TPS thickness distribution |
图 29为飞行器在轨迹最终时刻的内表面(热防护底层与舱内结构接触的表面)温度分布云图。从图中可以看出,飞行器内表面温度均在500 K附近(优化初始设定内舱结构的许用温度为500 K),说明热防护厚度优化起到了良好的效果。
|
| 图 29 TPS最终时刻内表面温度分布 Fig. 29 Inner surface temperature distribution of TPS at the final moment |
为了判断热防护材料演轨迹的温度响应是否超过材料本身的最高许用温度,对飞行器典型部位的温度响应历程进行监测。选取的3个监测点分别为飞行器驻点、下表面中心线上x=25%L处及x=50%L处。图 30为2个监测点的外表面、中间层及内表面温度响应历程。从图中可以看出:①监测点的所有材料层均为超过材料的最高许用温度,例如驻点外表面在轨迹上的最高温度为1 885 K,没有超过驻点表层热防护材料RCC的许用温度2 100 K;②监测点的内表面温度在轨迹重点基本都收敛到设定的500 K附近,这说明本文对热防护材料厚度的优化,既能满足舱内许用温度的要求,又能使热防护重量最轻;③内表面降温比外表面有一定的滞后性,这是由于当飞行器过了轨迹上最严酷的气动加热段后,表面热流开始减小,外表面的温度开始下降,但此时飞行器外表面温度任然比内表面温度高,温度继续向内传递造成的。
|
| 图 30 典型位置温度响应历程 Fig. 30 Temperature responses history of typical points |
对有翼再入飞行器气动外形进行了集成设计优化,相关结果可得到如下结论:
1) 再入飞行过程对升阻比、升力系数、弹道系数等气动参数的要求,直接决定飞行器气动外形,这些影响因素可以总结为有翼再入飞行器的气动外形设计规律与准则。
2) 基于气动外形设计规律与准则,集成几何参数化建模、气动力快速预测、气动热加热快速预测等学科模块,采用多学科设计优化的方法,能够得到较优气动性能的飞行器外形。
3) 对类X-37B飞行器热防护轻量化设计优化得到了优于同类飞行器热防护重量占比统计数据的结果,且能够满足再入飞行使用要求,表明了本文热防护轻量化设计优化方法的有效性。
| [1] |
唐伟, 冯毅, 杨肖峰, 等. 非惯性弹道飞行器气动布局设计实践[J]. 气体物理, 2017, 2(1): 1-12. TANG W, FENG Y, YANG X F, et al. Practices of aerodynamic configuration design for non-ballistic trajectory vehicles[J]. Physics of Gases, 2017, 2(1): 1-12. (in Chinese) |
| Cited By in Cnki | Click to display the text | |
| [2] |
杜涛, 陈宇, 蔡巧言, 等. 高超声速飞行器先进气动布局的设计原理研究[J]. 空气动力学学报, 2015, 33(4): 501-509. DU T, CHEN Y, CAI Q Y, et al. Research on aerodynamic design principle for advanced hypersonic vehicle[J]. Acta Aerodynamic Sinica, 2015, 33(4): 501-509. (in Chinese) |
| Cited By in Cnki (1) | Click to display the text | |
| [3] | PETER S, HERIBERT K. Reusable space transportation systems[M]. Berlin: Springer Science & Business, 2011: 1-19. |
| [4] | WEILAND C. Aerodynamic data of space vehicles[M]. Berlin: Springer Science & Business Media, 2014: 11-58. |
| [5] | VIVANI A, PEZZELLA G. Winged re-entry vehicles:Aerodynamic and aerothermodynamic analysis of space mission vehicles[M]. Berlin: Springer International Publishing, 2015: 571-701. |
| [6] |
方方, 周璐, 李志辉. 航天器返回地球的气动特性综述[J]. 航空学报, 2015, 36(1): 24-38. FANG F, ZHOU L, LI Z H. A comprehensive analysis of aerodynamics for spacecraft re-entry Earth's atmosphere surroundings[J]. Acta Aeronautica et Astronautica Sinica, 2015, 36(1): 24-38. (in Chinese) |
| Cited By in Cnki (3) | Click to display the text | |
| [7] |
杨勇, 张辉, 郑宏涛. 有翼再入高超声速飞行器气动设计难点问题[J]. 航空学报, 2014, 35(1): 1-8. YANG Y, ZHANG H, ZHENG H T. The difficult aerodynamic design problems of the winged hypersonic reentry vehicle[J]. Acta Aeronautica et Astronautica Sinica, 2014, 35(1): 1-8. (in Chinese) |
| Cited By in Cnki | Click to display the text | |
| [8] |
方方, 田园, 赵攀, 等. 空间返回航天器气动外形设计与需求分析[J]. 空气动力学学报, 2018, 36(5): 816-825. FANG F, TIAN Y, ZHAO P, et al. Aerodynamic shape designs and requirement analysis of re-entry spacecraft[J]. Acta Aerodynamica Sinica, 2018, 36(5): 816-825. (in Chinese) |
| Cited By in Cnki | Click to display the text | |
| [9] | BALESDENT M, BEREND N, DEPINCE P, et al. A survey of multidisciplinary design optimization methods in launch vehicle design[J]. Structural and Multidisciplinary Optimization, 2012, 45(5): 619-642. |
| Click to display the text | |
| [10] |
李邦杰, 王明海. 滑翔式远程导弹滑翔段弹道研究[J]. 宇航学报, 2009, 30(6): 2122-2126. LI B J, WANG M H. Research on glide trajectory of long range glide missile[J]. Journal of Astronautics, 2009, 30(6): 2122-2126. (in Chinese) |
| Cited By in Cnki (18) | Click to display the text | |
| [11] |
陈实. 航天飞机再入大气层三维机动飞行的最大过载和热流峰值[J]. 南京航空学院学报, 1991, 23(4): 24-28. CHEN S. Maximum load factor and peak heating rate for three-dimentional reentry maneuvering flight of space shuttle[J]. Journal of Nanjing Aeronautical Institute, 1991, 23(4): 24-28. (in Chinese) |
| Cited By in Cnki (5) | Click to display the text | |
| [12] | WALBERG G D. A survey of aeroassisted orbit transfer[J]. Journal of Spacecraft and Rockets, 1985, 22(1): 3-18. |
| Click to display the text | |
| [13] | PAEZ C. The development of the X-37 re-entry vehicle[C]//40th AIAA/ASME/SAE/ASEE Joint Propulsion Conference and Exhibit. Reston: AIAA: 2004. |
| [14] | GRANTZ A C. X-37B orbital test vehicle and derivatives[C]//AIAA SPACE 2011 Conference & Exposition. Reston: AIAA, 2011: 27-29. |
| [15] | GARICA F, FOWLER W T. Thermal protection system weight minimization for the space shuttle through trajectory optimization[J]. Journal of Spacecraft and Rockets, 1974, 11(4): 241-245. |
| [16] | MCGUIRE M, GAGE P, GALLOWAY E, et al. Trajectory and thermal protection system design for reusable launch vehicles[C]//10th AIAA/ISSMO Multidisciplinary Analysis and Optimization Conference. Reston: AIAA: 2004. |
| [17] |
傅瑜.升力式天地往返飞行器自主制导方法研究[D].哈尔滨: 哈尔滨工业大学, 2012: 98-100. FU Y. Autonomous guidance method for lift transportation vehicle[D]. Harbin: Harbin Institute of Technology, 2012: 98-100(in Chinese). |
| Cited By in Cnki (5) | Click to display the text | |
| [18] | MIKULA D, HOLTHAUS M, JENSEN T, et al. X-37 Flight demonstrator system safety program and challenges[C]//Space 2000 Conference and Exposition, 2000: 5073. |
| [19] | LI Z Z, XIAO T H, LV F X, et al. A rapid analysis tool for aerodynamics/aerothermodynamics of hypersonic vehicles[J]. Transactions of Nanjing University of Aeronautics and Astronautics, 2017, 34(4): 1-8. |
| Click to display the text | |
| [20] |
吕凡熹, 李正洲, 邓经枢, 等. 面向飞行器概念设计的全速域气动分析工具[J]. 空气动力学学报, 2017, 35(5): 1-12. LYU F X, LI Z Z, DENG J S, et al. An aerodynamic analysis tool for aircraft conceptual design[J]. Acta Aerodynamics Sinica, 2017, 35(5): 1-12. (in Chinese) |
| Cited By in Cnki | Click to display the text | |
| [21] |
张鲁民, 叶友达, 纪楚群. 航天飞机空气动力学分析[M]. 北京: 国防工业出版社, 2009: 100-113. ZHANG L M, YE Y D, JI C Q. Space shuttle aerodynamic analysis[M]. Beijing: National Defense Industry Press, 2009: 100-113. (in Chinese) |
| [22] | OPPENHEIMER M, DOMAN D, NAMARA J, et al. Viscous effects for a hypersonic vehicle model[C]//AIAA Atmospheric Flight Mechanics Conference and Exhibit.Reston, VA: AIAA, 2008. |
| [23] | BONET J, PERAIRE J. An alternating digital tree (ADT) algorithm for 3D geometric searching and intersection problems[J]. International Journal for Numerical Methods in Engineering, 1991, 31(1): 1-17. |
| Click to display the text | |
| [24] | WARE G M, CRUZ C. Aerodynamic characteristics of the HL-20[J]. Journal of Spacecraft and Rockets, 1993, 30(5): 529-536. |
| Click to display the text | |
| [25] |
薛铖, 邓枫, 余雄庆, 等.复杂外形高超声速飞行器气动加热快速预测方法研究[C]//第九届全国流体力学学术会议, 2014: 1-8. XUE C, DENG F, YU X Q, et al. A rapid method for predicting convective heating on hypersonic vehicles[C]//Ninth National Academic Conference on Fluid Dynamics, 2014: 1-8(in Chinese). |
| [26] |
张志成, 潘梅林, 刘初平. 高超声速气动热和热防护[M]. 北京: 国防工业出版社, 2003: 104-105. ZHANG Z C, PAN M L, LIU C P. Hypersonic aerothermaldynamics and thermal protection[M]. Beijing: National Defense Industry Press, 2003: 104-105. (in Chinese) |
| [27] |
霍霖.复杂外形高超声速飞行器气动热快速工程估算及热响应分析[D].长沙: 国防科技大学, 2012: 35-39. HUO L. The rapid engineering aero-heating calculation and thermal respond for complex shaped hypersonic vehicles[D]. Changsha: National University of Defense Technology, 2012: 35-39(in Chinese). |
| Cited By in Cnki (8) | Click to display the text | |
| [28] | ZOBY E V, MOSS J N, STUUON K, Approximate convective-heating equations for hypersonic flows[J]. Journal of Spacecraft and Rockets, 1981, 18(1): 64-70. |
| [29] |
李素循. 典型外形高超声速流动特性[M]. 北京: 国防工业出版社, 2007: 104-105. LI S X. Hypersonic flow characteristics of typical shapes[M]. Beijing: National Defense Industry Press, 2007: 104-105. (in Chinese) |
| [30] | OLDS J R, COWART K. A method of integrating aeroheating into conceptual reusable launch vehicle design: Evaluation of advanced thermal protection techniques for future reusable launch vehicles[R]. Washington, D.C.: NASA, 2001. |
| [31] |
冯毅, 肖光明, 唐伟, 等. 类X-37运载器气动布局概念设计[J]. 空气动力学学报, 2013, 31(1): 94-98. FENG Y, XIAO G M, TANG W, et al. Aerodynamics configuration conceptual design for X-37 analog transporter[J]. Acta Aerodynamica Sinica, 2013, 31(1): 94-98. (in Chinese) |
| Cited By in Cnki | Click to display the text | |
| [32] |
李正洲, 肖天航, 高昌, 等.高速飞行器非定常气动力、动导数快速预测方法研究[C]//首届中国空气动力学大会.北京: 中国空气动力学会, 2018, 750-753. LI Z Z, XIAO T H, GAO C, et al. Rapid prediction on unsteady aerodynamics and dynamic derivatives for high speed flight vehicles[C]//The 1st Chinese Conference of Aerodynamics. Beijing: Chinese Aerodynamics Research Society, 2018: 750-753(in Chinese). |
| [33] |
张庆, 叶正寅. 基于动导数的类X-37B飞行器纵向稳定性分析[J]. 北京航空航天大学学报, 2020, 46(1): 77-85. ZHANG Q, YE Z Y. Longitudinal stability analysis for X-37B like trans-atmospheric orbital test vehicle based on aerodynamic derivatives[J]. Journal of Beijing University of Aeronautics and Astronautics, 2020, 46(1): 77-85. (in Chinese) |
| Cited By in Cnki | Click to display the text | |
| [34] | STEWART D A, LEISER D B. Light weight TUFROC TPS for hypersonic vehicles: AIAA-2006-7945[R].Reston, VA: AIAA, 2006. |
| [35] | MARTIN C J, MAX L B. Parametric weight comparison of advanced metallic, ceramic tile, and ceramic blanket thermal protection systems: TM-2000-210289[R].Was-hington, D.C.: NASA, 2000. |
| [36] | LAUB B, VENKATAPATHY E. Thermal protection system technology and facility needs for demanding future planetary missions[C]//Planetary Probe Atmospheric Entry and Descent Trajectory Analysis and Science, 2004, 544: 239-247. |
| [37] |
解维华, 韩国凯, 孟松鹤, 等. 返回舱/空间探测器热防护结构发展现状与趋势[J]. 航空学报, 2019, 40(8): 022792. XIE W H, HAN G K, MENG S H, et al. Development status and trend of thermal protection system structure for return capsules and space probes[J]. Acta Aeronautica et Astronautica Sinica, 2019, 40(8): 022792. (in Chinese) |
| Cited By in Cnki | Click to display the text | |
| [38] |
李建林. 临近空间高超声速飞行器发展研究[M]. 北京: 中国宇航出版社, 2012: 99-103. LI J L. Research on near-space hypersonic vehicles development[M]. Beijing: China Astronautic Publishing Ho-use, 2012: 99-103. (in Chinese) |
| [39] | BRADFORD J E, OLDS J R. Thermal protection system sizing and selection for RLVs using the sentry coding[C]//42nd AIAA/ASME/ASEE Joint Propulsion Conference & Exhibit. Reston: AIAA, 2006. |
| [40] | RODRIGUEZ A C, SNAPP C G. Orbiter thermal protection system lessons learned: AIAA-2011-7308[R]. Reston: AIAA, 2011. |



