2. 航空工业空气动力研究院, 哈尔滨 150001
2. AVIC Aerodynamics Research Institute, Harbin 150001, China
大型客机气动分析一般经历前期的数值模拟、研发中的风洞试验及后期的飞行试验。风洞试验是连接CFD模拟及飞行试验的关键环节,风洞试验数据的质量直接影响飞机气动设计的验证及气动特性的评估。风洞试验数据修正体系繁杂,其中一个重要的环节就是支架干扰修正。现代大型客机飞行雷诺数较高,通常须通过高雷诺数风洞试验以对其气动特性进行评估。通过增压提高试验的雷诺数是较常用的方式,但增压后引起的气动载荷增加、支撑对大型客机增升装置缝道流动的影响及边界层雷诺数效应的复杂性给试验及数值模拟带来挑战。因此,研究支架对飞机气动特性的影响及风洞和模型部件附近流场的变化,对于获取更为精准的气动数据及优化支撑系统都具有重要意义。
风洞试验的支撑形式较多,通常有单支杆腹撑、背撑、尾撑、垂尾撑、翼下双支撑、“Z”形支撑、三点支撑及张线支撑。支架干扰试验就是通过以上两种支撑的组合获取修正数据。早期AGARD[1]对支架有过研究报导,指出在试验中应考虑支架干扰的雷诺数效应,尤其是尾撑对短舱阻力的影响,否则支架干扰的量级会掩盖真实的雷诺数效应。Taylor和Gursul[2]通过研究支杆与涡的相互作用,指出支杆使得涡的破碎位置会向上游移动。Maina等[3]通过数值模拟研究了尾撑及“Z”形支撑的影响,发现支杆对模型的不利影响并从流场角度优化了支杆的设计,减弱了不利影响。Zhong等[4-6]研究了高速风洞中“Z”形支撑支架干扰的影响,发现支撑对升力影响不大、使得阻力减小及产生附加低头力矩,同时分析了模型变形及支撑对气动特性的各自影响,结果表明支撑对激波位置的前移等气动特性的影响都较模型变形因素大。Eckert等[7]在DNW-LLF通过腹撑及背撑组合研究了A400M飞机的支架干扰,分析了远场干扰与近场干扰量值,并优化了支撑系统,提高了试验数据的精度。飞机气动特性通常需要在多个风洞获得,因此风洞之间的数据相关性直接关系到飞机气动数据的准确性,标模常用于多个风洞之间数据的比较。NASA CRM标模[8-17]在JAXA的JTWT风洞及NASA的NTF风洞的试验结果表明:垂尾撑使得升力系数及阻力系数减小,俯仰力矩系数增加;CFD流场结果显示垂尾撑使得上游的机翼及平尾上翼面的压力增加,马赫数减小,激波前移。Gregory等[18]在NASA的NTF风洞研究了DLR-F6标模并与ONERA S2MA风洞试验结果进行了对比,结果表明雷诺数增加使得上翼面后缘流动分离区减小,修正支架干扰后两个风洞数据吻合较好。Cartieri等[19]在ONERA-S1MA风洞通过垂尾撑加尾撑的方式研究了尾撑的支架干扰,将支架干扰分解成一阶项及二阶项,根据J准则(支杆引起机翼表面压力畸变的均方根)获取其最小值下对应的一阶项修正,计算结果和试验吻合较好。郑新军等[20]在FL-9风洞进行了圆截面支杆和24棱截面支杆的支架干扰特性对比试验研究,结果表明24棱截面支杆支架干扰量系数的一致性和横航向支架干扰的过零性更好,表明24棱支杆的表面流动及其对模型的干扰在各雷诺数下的稳定性都要好于圆截面支杆。
目前对支架干扰的研究都是将其对气动特性的影响作为一个整体,而支架对升力、阻力及俯仰力矩的影响在飞机各个部件中的占比及主次未见相关报道。该部分研究对于低速高雷诺数风洞腹撑的优化设计、建立风洞到飞行相关性修正体系及摸清支架干扰对流场的影响至关重要。本文将从支架干扰的量级、支架对各部件影响的主次及支架对流场的影响出发对现代大型客机在高雷诺数风洞中的支架干扰展开研究。
1 试验模型及风洞本次试验模型为下单翼翼吊常规布局民用飞机,机翼采用新一代超临界翼型,试验构型为典型起飞构型,试验采用内式六分量天平,故支撑在风洞中的气动力不被天平采集。试验模型比例为1:12,总长为3 529 mm,翼展为3 254 mm。试验通过两步法获得支架干扰,即第1步获得背撑加腹撑数据(腹撑与机身留有间隙),第2步获得不带腹撑的数据,支架干扰即为两步法的差量:
| $ F_{m}=F_{\text {Ventral sting }+\text { dorsal sting }}-F_{\text {Dorsal sting }} $ | (1) |
式中:Fm为模型的气动力;FVentral sting+dorsal sting为腹撑+背撑的模型气动力;FDorsal sting为背撑模型的气动力。
模型在风洞中安装如图 1所示。承试风洞横截面尺寸为4.5 m×3.5 m,试验采用自由转捩。
|
| 图 1 风洞中的试验模型 Fig. 1 Test model in wind tunnel |
采用ANSYS ICEMCFD进行网格划分,结构化网格数量约6 300万,对称边界,网格划分如图 2所示。根据经验,一般控制模型表面第1层网格高度使其y+~1量级,模型及支杆第1层网格高度为0.01 mm,增长因子为1.2。洞壁第1层网格高度为0.1 mm,增长因子为1.2。
|
| 图 2 结构网格拓扑示意图 Fig. 2 Schematic of structural grid topology |
数值模拟的速度、温度及压力参数与试验保持一致,确保数值模拟的马赫数Ma及雷诺数Re与试验相同。采用ANSYS CFX进行稳态求解,介质为10.5°空气理想气体,动力黏性系数采用Sutherland公式进行计算,湍流模型为k-ω剪切应力输运(SST)。边界条件采用速度入口及压力出口设置,入口速度为Vin=67.5 m/s,相应的Ma=0.2,出口相对压力为0 Pa,参考压力设置与试验保持一致,为0.37 MPa,以平均气动弦长为参考长度的雷诺数Re=6.4×106,壁面光滑无滑移。
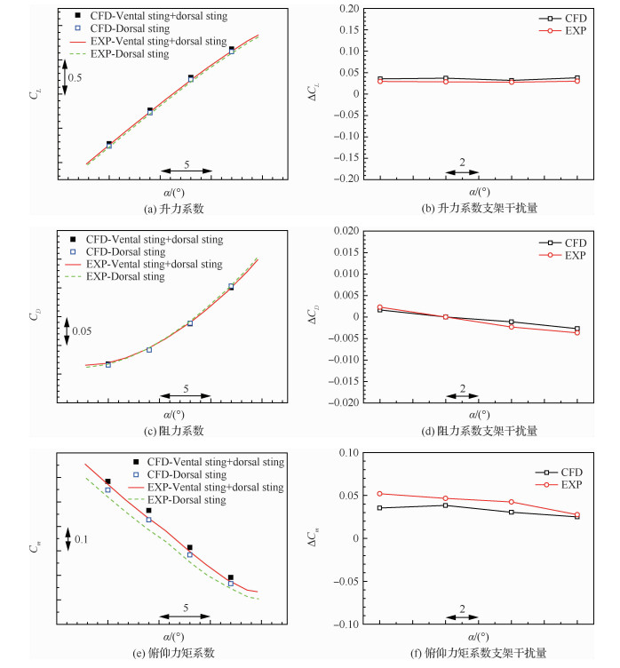
3 数值模拟方法验证为验证数值模拟方法的可靠性,选择有腹撑(Ventral sting+dorsal sting)与无腹撑(Dorsal sting)的状态进行对比,比较升力系数、阻力系数及俯仰力矩系数的绝对量以及两步法获得的支架干扰量,计算与试验的对比如图 3所示。通常风洞支架干扰试验由于接近失速区及失速后数据不稳定,国内外通常做法是取较稳定的线性区进行分析,不修正失速区形态,认为失速及其后的支架干扰量恒定不变。因失速区支架干扰的试验值不稳定,风洞试验一般只取失速前的支架干扰量,国外支架干扰试验一般仅开展到模型抖动对应状态。综上,本文模拟的最大迎角为开始偏离线性对应的迎角。从支架干扰量值分析来看,数值模拟的结果与试验吻合良好。升力系数支架干扰量数值模拟结果与试验结果相差约0.006,接近国军标试验重复性指标。阻力系数相差最大约0.001 2,俯仰力矩系数趋势数值模拟与试验结果相一致,最大相差约0.01。从结果对比来看,数值模拟与试验吻合较好。由试验数据及CFD计算结果可以看出腹撑增加了全机的升力、减小了阻力及增加了抬头力矩。但腹撑究竟影响了哪些部件及其权重占比还须进一步分析。
|
| 图 3 计算与试验值对比 Fig. 3 Comparison between calculation and test values |
为分析腹撑对各部件影响的主次,须分析腹撑的总影响量值与各部件对飞机气动特性的贡献。腹撑对各部件升力系数、阻力系数及俯仰力矩系数影响如图 4所示。
|
| 图 4 模型部件贡献 Fig. 4 Contribution of model component |
由图 4(a)可以看出:对于升力系数,腹撑主要影响的是主机翼,其次是缝翼、襟翼及平尾,其中主机翼、缝翼及襟翼支架干扰量值为正,平尾为负,其他部件的影响可以忽略。由图 4(b)可以看出:对于阻力系数,腹撑主要影响的是缝翼、主机翼、襟翼及机身,其中缝翼影响最大并影响支架干扰的总体趋势,具体原因在后面的流场分析中展开。由图 4(c)可以看出:对于俯仰力矩系数,腹撑主要影响的是平尾和机身。
以上通过CFD结果分析了腹撑对各部件升力、阻力及俯仰力矩的影响,揭示了腹撑对各部件影响的主次。为研究腹撑对各部件影响的具体展向及弦向位置,还需对其压力分布进行进一步分析。
5 腹撑对流场的影响 5.1 腹撑对机翼及平尾压力分布的影响腹撑对气动力的影响反映在每个翼面压力分布的变化上,从压力分布分析可以看清支撑对弦向、展向以及各部件的影响。选择机翼内、中、外3个典型剖面及平尾2个站位进行分析。机翼相应站位W1=22%、W2=58%及W3=83%,如图 5所示;平尾相应站位HTP1=35%及HTP2=61%,如图 6所示。
|
| 图 5 机翼压力及速度剖面站位 Fig. 5 Position of wing pressure and velocity profile |
|
| 图 6 平尾压力及速度剖面站位 Fig. 6 Position of horizontal tail pressure and velocity profile |
升力主要由缝翼、主翼及襟翼提供,分析腹撑对全机升力的影响可从各部件压力分布的变化着手。图 7所示为不同展向位置x/c机翼表面压力系数Cp分布,从弦向来看,支撑对上翼面影响较大,下翼面只有主机翼后半部分略有影响,其他部件影响很小。从展向来看,支撑对内侧影响稍大,翼梢外侧的影响略有减小。从支撑影响的方向来看,腹撑使得缝翼、主翼及襟翼的上翼面吸力增加,这也是升力增加的原因。
|
| 图 7 有/无支撑对机翼压力分布影响 Fig. 7 With/without sting influence on wing pressure distribution |
腹撑对阻力的影响分解如图 8所示。低速阻力可分为压差阻力及摩擦阻力,研究支撑对阻力的影响首先须分清支撑对各部分阻力影响的主次。从阻力分解来看,腹撑主要影响的是压差阻力,对摩擦阻力影响很小,相比之下可以忽略。因此,应从压差阻力影响因素着手分析支撑对阻力的干扰。与传统认识有别的是,从部件来看,支撑对缝翼影响最大,且支撑对缝翼的干扰阻力为负。压力分布结果表明缝翼上翼面吸力增加,对于增升装置,由于缝翼下偏(如图 9所示)使得腹撑对法向力的影响增量ΔCN, slat在风轴系下分量向前,从而减小了阻力。
|
| 图 8 腹撑对支架干扰阻力影响分解 Fig. 8 Drag influence decomposition of ventral sting interference |
|
| 图 9 腹撑对缝翼法向力增量在风轴系下的分解 Fig. 9 Decomposition of normal force increase of slat of ventral sting on wind axis coordinate system |
分析腹撑对俯仰力矩的影响应从平尾着手。图 10所示为腹撑对平尾压力分布的影响,与对机翼的影响不同,腹撑使得平尾的上翼面压力增加,下翼面压力减小,且腹撑对下翼面影响稍大,这可能和现代大型客机平尾采用反弯翼型有关。因此,综合起来,腹撑使得平尾的升力减小,俯仰力矩增加,即附加抬头力矩。
|
| 图 10 有/无腹撑对平尾压力分布影响 Fig. 10 With/without ventral sting influence on horizontal tail pressure distribution |
以上通过数值模拟从气动力及压力分布方面分析了腹撑的干扰量值、腹撑对各部件气动特性的影响及主次。并且通过分析腹撑对各翼面压力分布的变化,揭示了腹撑对缝翼、主翼、襟翼及平尾的影响。腹撑对模型气动力的影响,归根结底反映在其对流场的影响上,下面将分析腹撑对风洞及模型周围流场的影响,以获得对腹撑干扰更清晰的认识。
5.2 腹撑对风洞流场的影响腹撑对模型气动力的影响可从其对模型周围风洞的流场影响来分析,而风洞试验段核心区的动压是影响气动力的关键因素,因此分析腹撑对风洞核心区动压的影响可以揭示其影响气动力的原因。模型的气动力与当地动压有关,影响动压的因素包括静压及马赫数, 即
| $ C_{x}=F_{x} /\left(Q \cdot A_{\mathrm{ref}}\right) \propto Q_{\mathrm{local}} /\left(Q \cdot A_{\mathrm{ref}}\right) $ | (2) |
| $ Q_{\text {load }}=\frac{1}{2} \gamma P_{\text {local }} M a_{\text {local }}^{2} $ | (3) |
式中:Cx为气动力系数,可以是升力系数或阻力系数;Fx为气动力,可以是升力或阻力;Qlocal为模型当地的动压;Q为试验来流空气的动压(保持不变);Aref为参考面积;Plocal为模型当地的静压;Malocal为模型当地马赫数。
从前述分析来看,腹撑主要影响机翼上翼面压力分布,对下翼面影响很小。腹撑对风洞流场动压、静压及马赫数的影响如图 11所示。可以看出腹撑使得上翼面附近风洞的动压Qlocal增加,由式(2)可知上翼面升力系数随之增加,与前述压力分布结果相吻合。对影响动压的因素进一步分析,可以看出腹撑使得机翼上翼面附近风洞的静压减小,马赫数增加。
|
| 图 11 有/无腹撑对风洞剖面参数的影响 Fig. 11 With/without ventral sting influence on wind tunnel cross-section parameters |
腹撑使得风洞核心区机翼上翼面附近动压增加。风洞核心区流场的变化必然会对模型产生直接的气动力影响,本节将通过CFD结果进一步分析腹撑对模型各部件周围及缝道处流场的直接影响,以对腹撑干扰的认识更加清晰。
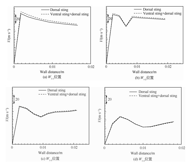
腹撑的介入会对空间流场及相应模型翼面近壁流速产生影响,而近壁速度直接影响流过模型表面的动压,从而对气动力产生影响。图 12~图 16所示为腹撑对机翼及平尾近壁速度的影响,速度提取典型站位为缝翼头部、缝翼缝道处、襟翼缝道及襟翼后缘处。
|
| 图 12 机翼近壁面速度分布(站位W1=22%) Fig. 12 Velocity distribution near wall of wing (spanwise location W1=22%) |
|
| 图 13 机翼近壁面速度分布(站位W2=58%) Fig. 13 Velocity distribution near wall of wing (spanwise location W2=58%) |
|
| 图 14 机翼近壁面速度分布(站位W3=83%) Fig. 14 Velocity distribution near wall of wing (spanwise location W3=83%) |
|
| 图 15 平尾近壁面速度分布(站位HTP1=35%) Fig. 15 Velocity distribution near wall of horizontal tail (spanwise location HTP1=35%) |
|
| 图 16 平尾近壁面速度分布(站位HTP2=61%) Fig. 16 Velocity distribution near wall of horizontal tail (spanwise location HTP2=61%) |
图 12~图 14为不同展向位置机翼近壁面速度V分布。以图 12为例,从展向来分析,腹撑对内侧机翼流速影响较大,沿展向向外影响逐渐减小。从弦向来看,腹撑对缝翼影响最大,内侧缝翼近壁流速增加约5 m/s (W1-1位置),缝翼缝道处近壁流速增加约3 m/s (W1-2位置),缝翼尾迹区受腹撑影响较小;襟翼缝道处近壁流速增加约1.3 m/s (W1-3位置),襟翼后缘呈现非单调增加的效应,近壁处流速增加约1.3 m/s (W1-4位置),远离壁面流速减小约0.8 m/s。腹撑使得各部件流速的增加从而增加了升力,缝翼流速增加的最大,由前述分析缝翼下偏使得法向力分量朝前从而减小了阻力,与前述的分析结果也相吻合。
图 15和图 16为腹撑对平尾近壁处流速的影响,不同于机翼,腹撑使得平尾近壁流速减小,从而使得平尾对升力的贡献减小,相应产生抬头力矩。
通过对近壁面流速分析可知,腹撑使得内翼上翼面流速增加较大,沿展向向外影响逐渐减小;对于增升装置,腹撑对缝翼缝道处影响较大,腹撑使得主翼近壁面及主流区流速增加,缝翼尾迹区受影响较小,襟翼缝道处流速变化相对稍小。
6 结论1) 采用数值模拟方法研究了增压风洞腹撑支架干扰,通过与风洞试验结果对比,验证了数值方法的可靠性。数值模拟结果与试验结果对比结果显示,升力系数支架干扰量相差约0.006,接近试验重复性指标;阻力系数相差最大约0.001 2,俯仰力矩系数结果相差稍大,最大相差约0.01。
2) 研究了腹撑对各部件的影响,揭示了影响气动力的主要部件。对于升力系数,腹撑主要影响的是主翼,其次是缝翼、襟翼及平尾;对于阻力系数,与传统认识有别的是腹撑主要影响的是缝翼,且干扰量值为负;对于俯仰力矩系数,腹撑主要影响的是平尾和机身。
3) 腹撑主要使得缝翼、主翼及襟翼的上翼面吸力增加,从而升力增加;缝翼的腹撑干扰法向分量使得干扰阻力为负,平尾的升力减小使得俯仰力矩系数增加,从而附加抬头力矩;腹撑使得风洞核心区机翼上翼面附近压力减小,马赫数增加;腹撑使得内缝翼附近流速增加约5 m/s,沿展向及弦向其影响量值减小;与对机翼的影响不同,腹撑使得平尾翼面附近流速减小,相应增加了抬头力矩。
通过数值模拟方法研究了低速高雷诺数风洞支架干扰,揭示了支撑对气动力的影响及其主要影响的部件,并分析了支撑对风洞及模型部件附近流场的影响,为风洞到飞行数据修正及支架优化设计提供参考。
| [1] | HAINES A B. Scale effects on aircraft and weapon aerodynamics: AGARD-AG-323[R]. Paris: AGARD, 1994. |
| [2] | TAYLOR G S, GURSUL I. Support interference for a maneuvering delta wing[J]. Journal of Aircraft, 2005, 42(6): 1504-1515. |
| Click to display the text | |
| [3] | MAINA M, CORBY N, CROCKER E L, et al. A feasibility study on designing model support systems for a blended wing body configuration in a transonic wind tunnel[J]. The Aeronautical Journal, 2006, 110(1103): 53-62. |
| Click to display the text | |
| [4] | ZHONG M, ZHENG S, WANG G L, et al. Correlation analysis of combined and separatedeffects of wing deformation and support systemin the CAE-AVM study[J]. Chinese Journal of Aeronautics, 2018, 31(3): 429-438. |
| Click to display the text | |
| [5] | HUA J, ZHENG S, ZHONG M, et al. Recent development of a CFD-wind tunnel correlation study based on CAE-AVM investigation[J]. Chinese Journal of Aeronautics, 2018, 31(3): 419-428. |
| Click to display the text | |
| [6] | GEBBINK R, WANG G L, ZHONG M. High-speed wind tunnel test of the CAE aerodynamic validation model[J]. Chinese Journal of Aeronautics, 2018, 31(3): 439-447. |
| Click to display the text | |
| [7] | ECKERT D, HEGEN G H, KVHN W. DNW's method to correct for support and wall interference effects on low speed measurements with a large propeller powered transport aircraft model[C]//25th Congress of the International Council of the Aeronautical Sciences, 2006: 994-1003. |
| [8] | KOHZAI M, UENO M, KOGA S, et al. Wall and support interference corrections of NASA common research model wind tunnel tests in JAXA: AIAA-2013-0963[R]. Reston, VA: AIAA, 2013. |
| [9] | KOHZAI M, SUDANI N, YAMAMOTO K, et al. Experimental and numerical studies of support interference in the JAXA 2 m×2 m transonic wind tunnel: AIAA-2010-4200[R]. Reston, VA: AIAA, 2010. |
| [10] | UENO M, KOHZAI T, KOGA S, et al. 80% scaled NASA common research model wind tunnel test of JAXA at relatively low Reynolds number: AIAA-2013-0493[R]. Reston, VA: AIAA, 2013. |
| [11] | RIVERS M B, HUNTER C A. Support system effects on the NASA common research model: AIAA-2012-0707[R]. Reston, VA: AIAA, 2012. |
| [12] | RIVERS M B, DITTBERNER A. Experimental investigations of the NASA common research model in the NASA langley national transonic facility and NASA AMES 11-Ft transonic wind tunnel: AIAA-2011-1126[R]. Reston, VA: AIAA, 2011. |
| [13] | RIVERS M B, HUNTER C A, CAMPBELL R L. Further investigation of the support system effects and wing twist on the NASA common research model: AIAA-2012-3209[R]. Reston, VA: AIAA, 2012. |
| [14] | KOGA S, KOHZAI M, UENO M, et al. Analysis of NASA common research model dynamic data in JAXA wind tunnel tests: AIAA-2013-0495[R]. Reston, VA: AIAA, 2013. |
| [15] | VASSBERG J C, DEHAAN M A, RIVERS S M, et al. Development of a common research model for development of a common research model for applied CFD validation studies: AIAA-2008-6919[R]. Reston, VA: AIAA, 2008. |
| [16] | EBERHARDT S, BENEDICT K, HEDGES L, et al. Inclusion of aeroelastic twist into the CFD analysis of the twin-engine NASA common research model, AIAA-2014-0251[R]. Reston, VA: AIAA, 2014. |
| [17] | KEYE S, BRODERSEN O, RIVERS M B. Investigation of aeroelastic effects on the NASA common research model[J]. Journal of Aircraft, 2014, 51(4): 1323-30. |
| Click to display the text | |
| [18] | GREGORY M G, MELISSA B R, GOODLIFF S L, et al. Experimental investigation of the DLR-F6 transport configuration in the National transonic facility: AIAA-2008-6917[R]. Reston, VA: AIAA, 2008. |
| [19] | CARTIERI A, MOUTON S. Using CFD to calculate support interference effects: AIAA-2012-2864[R]. Reston, VA: AIAA, 2012. |
| [20] |
郑新军, 焦仁山, 苏文华, 等. 低速高雷诺数风洞腹撑支架干扰研究[J]. 空气动力学学报, 2017, 35(6): 870-874. ZHENG X J, JIAO R S, SU W H, et al. Ventral support interference in low-speed and high Reynolds number wind tunnel[J]. Acta Aerodynamica Sinica, 2017, 35(6): 870-874. (in Chinese) |
| Cited By in Cnki | Click to display the text |



